ACKNOWLEDGEMENTS
We thank the Reserve Bank of India for sponsoring this Study on
“GDP - Indexed Bonds” through the Development Research Group (DRG).
We are also thankful to Prof. Vikas Chitre who provided many
valuable insights and pushed us towards looking at some of the subtle
nuances associated with the indexation of financial instruments in
emerging markets.
We are grateful to Director and other Officials of DRG who
supported us and provided the interface between us and the Reserve
Bank of India in a manner that made us very much at ease. We also are
grateful to Mr. Neeraj Gambhir of Nomura India for his comments on the
Study.
We are thankful to a number of academicians, practitioners and
policy makers who attended our work-in-progress seminar on the results
of the Study and provided us with feedback that helped us to revise the
Study and enhance its relevance. We thank a number of Reserve Bank
Officials for sharing their insights on the topic with us in the seminar
organised by DRG. We would like to state that any errors are entirely ours.
Errol D’Souza
EXECUTIVE SUMMARY
The proposal to index government debt to GDP has been receiving
interest since the financial and debt crises that engulfed emerging markets
in the 1990s. Such an instrument promises to pay an interest / coupon
based on the issuing country’s rate of growth. For instance, consider a
country with a trend growth rate of 5 per cent a year and an ability to
borrow on plain vanilla terms at 9 per cent a year. This country could issue
bonds that pay 1 per cent above or below 9 per cent for every one per cent
that its growth exceeds or falls short of 5 per cent, ignoring insurance
premiums. The coupon yield then varies systematically with the gap between
the actual and trend growth. In periods of low growth, the debt payments
of a country will reduce with indexation whereas in periods of high growth
the debt payments will correspondingly increase with indexation. The ratio
of debt to GDP accordingly varies within a narrower range than in the case
of standard financing of the debt.
There are gains to both borrowing countries and to investors from
the issue of GDP indexed bonds:
For borrowing countries they help in the stabilisation of government
spending as they require smaller interest payments in times when growth
has slowed down and this frees up resources for government spending at a
time when the economy needs these resources.
As the debt service declines when growth slows down, debt that is
indexed to GDP also reduces the likelihood of defaults by the government
and the possibility of crises. The reduction in defaults due to this instrument
also benefits investors who would like to avoid the disruptions in returns
arising from default.
Given the advantages of GDP indexed bonds, it is surprising as to
why they have not been issued extensively. Some of the issues that have
hindered the development of a market for such bonds include the following:
• Accuracy of GDP data
• Market illiquidity
• Pricing difficulties
Of these, the most important issue has been the difficulty in the
pricing of GDP indexed bonds as it is an instrument with a more complicated
structure than plain bonds and this paper explores this issue. With regard
to the accuracy of GDP data the major concern is about the quality of GDP
data and that governments may deliberately misreport growth so as to
affect the interest payments on growth indexed bonds. In this context it
has been argued that to improve the transparency of the statistics the data
should be verified or even provided by an external agency such as an
international financial institution. Sufficient liquidity in such instruments
is also required to ensure that they are traded frequently. Both issuer and
investor appetite for these bonds could also be affected if there is a large
premium required for them to be issued and picked up in the market in
the first place. This may require active coordination by governments, may
be with the encouragement of international organizations to support
several countries to issue such bonds at the same time so as to kick start
a larger market for such instruments. These two issues of data and
illiquidity are practical potential obstacles that require an institutional
response whereas the issue of pricing is a more substantive issue that we
address in this paper.
We analyze how GDP indexed bonds address the issue of repudiation
risk and moral hazard in financial markets, and their stabilization
properties. We follow the methodology of Chamon and Mauro (2006) who
advocate a Monte Carlo approach to pricing growth indexed bonds.
Assuming risk neutral investors, they take advantage of the no arbitrage
condition that the expected return on a bond issued by an emerging market
borrower should equal the return on a bond issued by a developed country
borrower (taken to be the US). The implementation of Monte Carlo using
Indian data is done by first specifying the stochastic process governing the
evolution of the debt-GDP ratio over time. We then sample the joint
distribution of the growth rate, the real effective exchange rate, and the
primary budget balance of the government and based on the historical
statistical properties of these variables, 1000 paths are jointly simulated
for a ten year horizon using Cholseky decomposition in MATLAB. This
allows us to generate paths for the debt-GDP ratio on which the no-arbitrage
condition is applied to extract a default trigger rate which matches the expected discounted payoff for an emerging market plain vanilla bond at
par. Default is assumed to take place as soon as the debt-GDP ratio increases
beyond the specified trigger level along the simulated paths. The calibration
gives us the frequency distribution of defaults over 10 years along the 1000
paths given the default trigger level and the recovery rate on the face value
of the bond in case default occurs. This allows us to price the GDP indexed
bond by setting the coupon payments on the total debt as a weighted average
of the coupon on indexed debt and the plain vanilla debt.
We find first and foremost that as indexation increases, payoff from
the bond takes the shape of bell shape curve, indicating higher payments
in case of higher growth and vice versa, although the exact nature depends
on the value of other inputs, especially the target value for the real growth
rate for the medium term.
Second, as the target value for the medium term growth rate goes
up, although the payout in terms of interest payments by the issuer (in this
case the government) goes down, it also implies a slower growth in the
debt-GDP ratio. This implies a lower total probability of default and thus,
higher total payoff. Although the effects of increasing the target growth rate
are conflicting for the lender, it turns out that the effect of decrease in
probability of default (and thus higher total payoff) outweighs the effect of
likely higher coupon.
We also find that the higher the value of the inflation target, the
slower is the growth rate of the debt-GDP ratio. This lowers the probability
of default which in turn raises the expected price of the instrument. We
then conduct various sensitivity tests to check what happens when we change
some of the free parameters of the model such as the coupon on plain
vanilla debt, and the share of foreign debt in total debt.
We also discuss some perceived limitations of the study such as
the number of simulations carried out, the applicability of the results
without considering a risk premium in the discounting, and the
specification of the trigger value as well as the role of such bonds in a
purely domestic context.
There are practical issues involved in the issuance of such
instruments which reduce their desirability in the Indian context. The main
concern in the Indian context is that the introduction of such a financial
instrument requires offering a premium as investors are uncertain about a
new instrument. As GDP indexed bonds make a substantial difference only
when they have a long term maturity of five years or more it is not easy for
an incumbent government to issue such bonds that make life easier for
their successors. Moreover when an economy is going through a buoyant
growth phase it makes it difficult for a Finance Minister to justify payment
of an insurance premium and higher coupons. Such bonds have so far
been introduced in the world economy in Costa Rica, Bulgaria, Bosnia and
Herzegovina, and Argentina, as part of a debt restructuring programme.
Issuance of such an instrument cannot be made in small tranches
as sufficient liquidity is important for them to be actively traded and held.
Thus, it seems such bonds will be more successful if they are issued by
different markets, instead of one country, as it world make it easier for
investors to make comparisons and to make price discovery possible. This
requires coordination at an international level that is, a public good which
no one country will find profitable to undertake.
Substantially also these bonds are a response to the presence of
moral hazard due to the existence of repudiation risk. In that case there
may be a tradeoff between attempting to complete the financial markets
with such instruments and promoting institutions that deepen the market
and make them more liquid. GDP indexed bonds eliminate the inefficiencies
arising from formal default and maximize the incentive to invest. Sound
institutions and policies may be as effective in reducing risk and make
debt sustainable.
A GDP indexed bond would be valuable when an economy is unable
to credibly commit to sound fiscal policies which then leaves investors less
willing to supply capital to an economy. However, arguably instituting
credible fiscal policy may be more beneficial to handling the risk that is
being sought to be addressed. One such institution is the legislation of
fiscal rules that have teeth in the form of penalties in case the government
does not meet the targets set by such rules. These rules could be in the form of expenditure limiting rules, overall balance rules prescribing limits
to fiscal deficits, and public debt rules. In some cases it may even be
advisable to institute an independent fiscal authority that has the power to
set the permissible change in the public debt which it sets by taking into
consideration that budget deficits now would be offset by surpluses in the
future. This gives a long term perspective to fiscal policy. In emerging
markets it may be more sensible to deepen institutions and make policies
that are sustainable rather than attempt to address financial market
inefficiencies through the use of financial engineering.
GDP – INDEXED BONDS
Errol D’Souza1 , Sanjay Kumar2 , Kumarjit Mandal3, Vineet Virmani4
The proposal to index government debt to GDP has been receiving
interest since the financial and debt crises that engulfed emerging markets
in the 1990s (Borenzstein and Mauro, 2004). Such an instrument promises
to pay coupon based on the issuing country’s rate of growth. For instance,
consider a country with a trend growth rate of 5 per cent a year and an
ability to borrow on plain vanilla terms at 9 per cent a year. This country
could issue bonds that pay 1 per cent above or below 9 per cent for every
one per cent that its growth exceeds or falls short of 5 per cent, ignoring
insurance premiums. The coupon yield then varies systematically with the
gap between the actual and trend growth. In periods of low growth the debt
payments of a country will reduce with indexation whereas in periods of
high growth the debt payments will correspondingly increase with
indexation. The ratio of debt to GDP then varies within a narrower range
than in the case of standard financing of the debt.
There are gains both to borrowing countries and investors from the
issue of GDP indexed bonds.
For borrowing countries they help in the stabilization of government
spending as they require smaller interest payments at times when growth
has slowed down and thus frees up resources for government spending at
a time when the economy needs these resources. Borenzstein and Mauro
(2004) argue that if half of Mexico’s government debt had been in the form
of GDP indexed bonds it would have saved about 1.6 per cent of GDP in
interest payments during the Tequila crisis of 1995. This could have been
deployed towards spending that helped to mitigate the adverse effects of
the crisis.
As the debt service declines when growth slows down debt that is
indexed to GDP also reduces the likelihood of defaults by the government
and the possibility of crises.
For investors GDP indexed bonds are an opportunity to take a position
on a country’s future growth prospects which is not possible through stock
markets that are not representative of the economy as a whole.
The reduction in defaults due to this instrument also benefits investors
who would like to avoid the disruptions in returns arising from default.
In this paper we analyse how GDP indexed bonds address the issue of
repudiation risk and moral hazard in financial markets, their stabilisation
properties, and the obstacles to the introduction of such bonds especially
in terms of pricing of such bonds, in Section I. Section II addresses a
major difficulty identified in the literature as how to price such bonds.
This section follows Chamon and Mauro (2006) who develop a Monte Carlo
approach to pricing growth indexed bonds. Assuming risk neutral investors,
they take advantage of the no arbitrage condition that the expected return
on a bond issued by an emerging market borrower should equal the return
on a bond issued by a developed country borrower. We implement the
approach advanced by them using Indian data to illustrate the pricing of
such bonds. Finally we conclude with some remarks about the practical
implications of the introduction of such an instrument in the Indian context.
_______________
1 Professor, Economics Area, Indian Institute of Management, Ahmedabad.
2 Assistant Adviser, Internal Debt Management Department, Reserve Bank of India, Mumbai.
3 Earlier Research Officer, with Department of Economic Analysis and Policy, Reserve Bank of India, Mumbai
and currectly Reader Department of Economics, University of Calcutta.
4 Assistant Vice President, Quantitative Risk Team, Nomura Services India Ltd., Powai, Mumbai.
Section I: Repudiation Risk Moral Hazard and GDP Indexed Bonds
GDP indexed bonds are a way of containing repudiation risk - the risk
that a country will renege on the repayment of its debt when the costs of
repayment are too high. Lenders recognising this possibility will restrict
the supply of credit so as to avoid the occurrence of such an outcome
(Lane, 1999). In addition any transfer of capital between borrowers and
lenders is subject to an information asymmetry in that the lender has no
way of knowing what the borrower does with the funds. The borrower has
an outside option - funds are fungible - and this is not observable. This
moral hazard creates an incentive problem between borrowers and lenders.
The presence of moral hazard and repudiation risk affects investment
decisions and the flow of capital. In this analysis the borrower is a sovereign borrower who is considered to be a singly unified entity and no distinction
is made between government and government guaranteed debt.
1.1:The Analytical Framework
(1) There are two types of risk neutral agents - borrowers and lenders.
There is a risky investment project that requires investment at date t
with payoffs realised in period t + 1. Lenders are interested in maximising
the expected rate of repayment on the project whilst borrowers maximise
their expected utility over a choice of second period consumption1 . Thus,
(2) Income available to borrowers is from two sources. They have access
to a period t endowment of wealth, w that can be invested in a risky
project (the details of which we describe below) and a risk free asset
yielding the certain rate of return, r. For the investment project described
by I > w the borrower raises funds b from the capital market. The two
sources of funds together results in the constraint w + b ≥ I. The
internal finance available is an important determinant of the quantity
of credit supplied as we describe below.
(3) There is asymmetric information. The lender can observe the amount
borrowed, b. What the borrower does with the funds borrowed, however,
is private knowledge and since he can invest it elsewhere at a riskless
rate of return, r, the amount of investment undertaken I is unobservable.
(4) The investment technology has two possible realisations of output. At
date t + 1 either a good state of nature is realised with the project
yielding a return θG or a bad state of nature is realised with a return θB.
Assume that 0≤θB≤ θG. The probability of a good realisation for the
project is increasing in the amount invested -
that is, investment raises the probability that the project will yield a high level of output. Expected output (Ey) is then increasing in the level of
investment where,
An increase in investment raises the probability of a good outcome θG but
bad luck can still cause the project to generate only a low return θB. The
moral hazard prevalent in this set up is that as the extent of investment,
I, is non-verifiable, the outcome from the point of view of the lender could
be due to the level of investment or good luck. Since output is verifiable,
however, the repayment schedule can be conditioned on the realisation of
output. At date t upon borrowing funds for investment the borrower commits
to repay contingent rates of return given by ZG ≥ ZB. The structure of the
problem is depicted in Table I below -
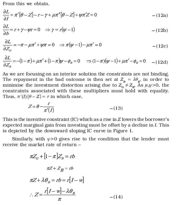
1.2: Non Verifiability and Financial Contracts
Scenario I: If the level of investment were verifiable we would have a
situation where the borrower would have access to funds to ensure an
efficient level of investment. The borrower would invest up to the point
where the expected marginal return on the project equals the return on the
outside option. Then,
Scenario II: As repayments can be made contingent only on output realisation as I is non-verifiable, incentive compatibility requires that the
risky project must yield at least the same rate of return as the risk free
outside option. This means that the expected marginal gain from investing
net of payments to lender must be at least as great as the opportunity cost
in terms of the cost of the outside option. We may write,
The first best efficient investment is generated only if fixed repayment canbe made regardless of the output realization, i.e., ZG = ZB, in which case, Z = 0. This is not feasible, however, as for a fixed repayment it may wellturn out that θB < Z is a possibility. As the efficient level of investment isinfeasible the borrower will offer a contract to the lender which will specify–
(1) the amount of borrowing, b
(2) the level of investment, I
(3) the contingent repayments, ZG,ZB.
The investor can choose to accept or reject the contract offer. The borrowermaximises expected utility in period t + 1 given by
Where the first two terms on the right hand side are the expected net returns
from investment and the third term is the payoff to residual resources.
The constraints include the following –
(1) In order to induce investors to accept the contract the expected repayment
must be at least equal in value to the cost of the outside option–
(2) The level of investment cannot exceed the endowment and the debt
incurred,. This feasibility condition may be written as
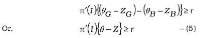
(3) the level of investment should be incentive compatible –
(4) Repudiation or default risk is present. Creditors in that case can secure
only a fraction λ of the borrower’s resources. This is attributed to the
high collection and enforcement costs that characterize emerging
markets as the institutions of investment and enforcement are weak.
In the vast majority of cases sovereign default has been partial rather
than complete and generally creditors can impose sanctions with a
current cost proportional to the output. As a result, the proportion of
output that can be devoted to debt repayments cannot exceed a fraction λ of the output in the bad state –
When I rises borrowing increases and this requires Z to increase as well.
As ZB = λθB
cannot adjust this means that ZG must rise. This requires Z = ZG– ZB to rise as well resulting in the upward sloping market return
(MR) curve in Figure 1.
 |
An increase in debt is akin to a decline in the endowment of the borrower
and shifts the MR curve to the left. The borrower relies more on external
funds in this case which raises state contingent repayments given by ZG .The inability of the borrower to guarantee a larger repayment in the bad
state raises Z. Investment declines. Similarly, a rise in repudiation risk as
given by a lower value of λ increases the inefficiency associated with formal
default in the bad state and the higher default increases the expected interest
repayment to the lender whilst still meeting their zero expected profit
condition. The intuition is that given the presence of moral hazard the
optimal financial contract calls for all available resources going to lenders
in the situation where there is a low realisation of the output. A decrease in
the repayment to lenders – a rise in λ - in the event of a low output realisation, increases the investment distortion due to moral hazard and reduces I.
A GDP indexed bond avoids this inefficiency associated with formal default
as lower debt repayments are agreed to in the event of lower realisations of
output. This enables the borrower to undertake higher investment that
still meets the zero expected profit condition of the lender.
1.3 : Stabilisation Properties
The effect of GDP indexed bonds is that they stabilise the path of the
debt. Consider a floating rate bond with a coupon that varies with the
performance of the economy. Then,
where, gt = actual growth rate of the economy
g¯ = baseline growth rate of GDP, say the average of GDP growth
rate over the
previous 20 years
r¯ = coupon acceptable to investors when the country grows at the
baseline rate
When the economy grows above the baseline rate the coupon rate will
be higher than r% and will increase one for one with the growth rate of
GDP. In the years when the economy grows below its baseline rate the coupon
rate will be lower than r% but with a minimum of zero. We may write the
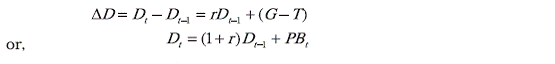
budget constraint of the government as
The left-hand side of the above equation is the increase in the stock of
debt which bears an interest rate of r or the fiscal deficit. The primary
balance is the non-interest component of the fiscal deficit:
Another way of expressing the government-budget constraint is to write
the budget constraint of the government in the following way:
 |
 |
Comparing (16) with (17) we see that the decline in the debt/GDP ratio is
smaller with a GDP indexed bond when the growth rate increases and vice
versa. This effect of GDP indexed bonds is illustrated in Figure 2. Panel A
of this figure depicts what happens to the debt to GDP ratio if there is a
permanent decrease in the growth rate of GDP at time t1. Then, if the debt
were in the form of plain vanilla bonds, the debt/GDP ratio would grow
faster than if the debt were in the form of GDP indexed bonds. Panel B
depicts that if there were a permanent increase in the growth rate of GDP
at time t1, then, the debt/GDP ratio would grow slower if the debt were in
the form of plain vanilla bonds than if the debt was in GDP indexed bonds.
Finally Panel C shows the cross hatched area as the variation in the debt to
GDP ratio when debt is in GDP indexed bonds which is lower than the
variation as depicted by the outer cone when debt is in the form of plain
vanilla bonds. The potential benefit of indexation can then be large if the
primary deficit is taken to be constant.
 |
1.4: Obstacles to Introducing GDP Indexed Bonds
Given the advantages of GDP indexed bonds many people consider it
surprising as to why they have not been issued extensively. Some of the
issues that have hindered the development of a market for such bonds
include the following –
1. Accuracy of GDP data
2. Market illiquidity
3. Pricing difficulties
Of these the most important issue has been the difficulty in the pricing
of GDP indexed bonds as it is an instrument with a more complicated
structure than plain bonds. With regard to the accuracy of GDP data the
major concern is about the quality of GDP data and that governments may
deliberately misreport growth so as to affect the interest payments on growth
indexed bonds. In this context it has been argued that to improve the
transparency of the statistics the data should be verified or even provided by
an external agency such as an international financial institution (Council of
Economic Advisors, 2004). Sufficient liquidity in such instruments is also
required to ensure they are traded frequently. Both issuer and investor
appetite for these bonds could also be affected if there is a large premium
required for them to be issued and picked up in the market in the first
place. This may require active coordination by governments may be with the
encouragement of international organisations to support several countries
to issue such bonds at the same time so as to kick start a larger market for
such instruments. These two issues of data and illiquidity are practical
potential obstacles that require an institutional response whereas the issue
of pricing is more a theoretical issue. We address this issue in the next section.
_______________
1 The assumption that only period t + 1 consumption matters is a simplification which does not alter the results. Alternatively the borrower can be deemed to maximise representative lifetime utility.
Section II: Pricing Growth Indexed Bonds
Chamon and Mauro (2006; henceforth CM) advocate a Monte Carlo
approach to pricing growth indexed bonds. Assuming risk neutral investors,
they take advantage of the no arbitrage condition that the expected return on a
bond issued by an emerging market borrower should equal the return on a
bond issued by a developed country borrower (taken to be the US in CM). What
follows is a description of the implementation of Monte Carlo using Indian data.
The first stage is calibration. This entails using the no arbitrage
argument to extract the default trigger rate (the debt-GDP ratio, Dt / Yt at
which the default occurs) given the assumed recovery of principal (in the
event of default) and the difference in observed yields in India and the US.
Given the trigger rate, the next stage is pricing given the share of plain
vanilla and growth-indexed portion in total debt.
II.1: Calibration
We directly list the steps below.
1. Debt Dynamics: The first step is specifying the stochastic process
governing the evolution of debt-GDP ratio over time.
The following difference equation for dynamics results from the
accounting relationship that debt at time t (Dt) is a sum of debt2
at timet – 1, (D
t-1 ) the interest due and the primary deficit in the ensuing period:
Table 1a: Input Values at Calibration Stage |
Fr |
p* |
α |
rf |
io |
{25,50,75} |
{0.02, 0.04} |
0.103 |
0.04 |
0.0675 |
4. Having specified the inputs and generated the sample paths, step four
entails extracting the default trigger rate. This is done by exploiting the noarbitrage
condition that expected return on an emerging market bond equals
return on a bond with similar duration issued in the US.
Now there are multiple pairs of the default probability and recovery rate
that can satisfy the no arbitrage constraint. For extracting the trigger rate
implied by data, one of the two has to be assumed. Needless to say, assuming
the baseline default probability defies the purpose.
We proceed as follows:
where the pre-specified θ now gives the level of indexation in the total debt
issued. The coupon for the indexed portion is:
II.3: Inputs / Results
Input Values used at the Pricing Stage
At the pricing stage, we experiment with varying input values to see how sensitive results (total probability of default and the default trigger value)
are to them. Table 1b lists the input values used at the pricing stage:
Table 1b: Input Values at Pricing Stage |
Fr |
p* |
α |
rf |
25 |
0.0001 |
2 (pi_1) |
3 (g_1) |
50 |
0.25 |
4 (pi_2) |
5 (g_2) |
75 |
0.5 |
|
7 (g_3) |
- |
0.75 |
- |
- |
|
0.9999 |
|
|
Other inputs like the risk free rate etc. are fixed at their values at the
calibration stage (as in Table 1a above)
Results
II.4: Discussion of Results
First and foremost one observes in all the graphs that as indexation
increases, payoff from the bond takes the shape of bell shape curve,
indicating higher payments in case of higher growth and vice versa, although
the exact nature depends on the value of other inputs, especially g*. Also,
given other inputs, i.e. Fr, θ and p*, as g* goes up, one sees a ‘scale’ shift in
the distribution to the right. For a stark affect compare the payoffs in the
last panel (almost full indexation) of Figures 1a (or 2a or 3a) and Figure
1c (or 2c, or 3c).
As g* goes up, although the payout in terms of interest payments by
the issuer (in this case the government) goes down, it also implies a slower
growth in Dt / Yt (one can think of g* as the strike price in a simple call/put
option and government the writer of the option). This implies a lower total
probability of default and thus, higher total payoff.
Table 2: Default Trigger |
Fr=25 |
Fr= 50 |
Fr= 75 |
p* = 2% |
p* = 4% |
p* = 2% |
p* = 4% |
p* = 2% |
p* = 4% |
75.9% |
65.7% |
73.9% |
64.4% |
69.1% |
61.7% |
Although the effects of increasing g* are conflicting for the lender, it
turns out that the effect of decrease in probability of default (and thus
higher total payoff) outweighs the effect of likely higher coupon because of
a lower ‘strike’. Needless to say, the larger the recovery rate, the lesser
would be the impact (as in Figures 3a and 3c). As, while in the case of
default, the total payoff is lower, a higher recovery rate implies that one
gets a substantial part of the face value earlier in time (the present value
effect).
The impact of changing p* is a little more straight-forward. As can be
seen in equation [18], the higher the value of p*, the slower the growth rate
Dt / Yt , given the value of other inputs. Lower levels of Dt / Yt implies a lower
probability of default which in turn implies higher P(Trig*, Fr). Please see
Tables 4a – 4c.
Also, as p* increases, the level of Dt / Yt across all years goes down, and
so must the default trigger level for the total expected discounted value to
match par (100).
Although the baseline total probability of default f(Trig*, Fr) doesn’t
depend g* on (no indexation at the calibration stage), the effect of increasing p* can be seen in Table 3 below.
Table 3: Baseline Probability of Default |
Fr =25 |
Fr= 50 |
Fr= 75 |
p* = 2% |
p* = 4% |
p* = 2% |
p* = 4% |
p* = 2% |
p* = 4% |
40.6% |
37.3% |
57.2% |
50.4% |
88.6% |
76.9% |
Table 4a: Expected Price (Fr = 50) |
Expected Price |
Fr= 50 |
pi_1|g_1 |
pi_1|g_2 |
pi_1|g_3 |
pi_2|g_2 |
pi_2|g_3 |
θ = 0.0001 |
99.7992 |
99.7977 |
99.7961 |
99.6828 |
99.6813 |
θ = 0.25 |
84.8445 |
97.4716 |
107.0936 |
97.4132 |
107.7983 |
θ = 0.50 |
73.4128 |
91.5295 |
112.6400 |
93.8587 |
113.0962 |
θ = 0.75 |
70.5405 |
85.5184 |
114.435 |
88.1177 |
114.4707 |
θ = 0.9999 |
69.4491 |
79.8293 |
113.0798 |
80.8639 |
113.0539 |
Table 4b: Expected Price (Fr = 50) |
Expected Price |
Fr= 50 |
pi_1|g_1 |
pi_1|g_2 |
pi_1|g_3 |
pi_2|g_2 |
pi_2|g_3 |
θ = 0.0001 |
100.0228 |
100.0213 |
100.0198 |
100.1452 |
100.1437 |
θ = 0.25 |
91.2093 |
97.1634 |
104.4153 |
97.6734 |
106.0708 |
θ = 0.50 |
87.1843 |
93.8648 |
109.9010 |
95.2064 |
111.0791 |
θ = 0.75 |
86.2751 |
90.7245 |
112.5360 |
91.0822 |
113.2034 |
θ = 0.9999 |
85.8754 |
88.8615 |
112.6331 |
86.8637 |
112.8145 |
Table 4c: Expected Price (Fr = 75) |
Expected Price |
Fr= 75 |
pi_1|g_1 |
pi_1|g_2 |
pi_1|g_3 |
pi_2|g_2 |
pi_2|g_3 |
θ = 0.0001 |
100.0081 |
100.0068 |
100.0225 |
99.7979 |
99.7968 |
θ = 0.25 |
98.6303 |
99.1833 |
100.4125 |
98.4468 |
101.7211 |
θ = 0.50 |
98.6485 |
98.6544 |
101.9213 |
96.2871 |
104.7330 |
θ = 0.75 |
98.7426 |
98.5664 |
104.1058 |
94.5748 |
108.1494 |
θ = 0.9999 |
98.7817 |
98.5635 |
106.7889 |
93.0616 |
109.3791 |
Finally, in the spirit of CM we look at the result of changing p* and g*
on the total probability of default with different levels of indexation, i.e. φ (Trig*, Fr, θ). CM in their study report these results only for ‘a’ given level
of p* and g*.
For a given level of p*, for lower levels of g*, φ (Trig*, Fr, θ) increases
with increasing indexation, θ. Only for higher levels of g*, does the impact
go the other way round. It is only for higher g* (‘strike price’) that φ (Trig*,
Fr, θ) decreases with increasing indexation. See Tables 5a – 5c.
What is happening on our understanding is that a higher g* implies a
lower payout for the writer of the option, hence a lower probability of default
with indexation.
Table 5a: Probability of Default with Indexation (Fr = 25) |
Probability of Default
with Indexation |
Fr= 25 |
pi_1|g_1 |
pi_1|g_2 |
pi_1|g_3 |
pi_2|g_2 |
pi_2|g_3 |
θ = 0.0001 |
40.6% |
40.6% |
40.6% |
37.3% |
37.3% |
θ = 0.25 |
75.0% |
48.0% |
24.0% |
44.1% |
20.9% |
θ = 0.50 |
97.0% |
61.8% |
9.7% |
52.7% |
8.2% |
θ = 0.75 |
100.0% |
75.2% |
2.0% |
64.1% |
1.8% |
θ = 0.9999 |
100.0% |
86.8% |
0.2% |
76.7% |
0.2% |
Table 5b: Probability of Default with Indexation (Fr = 50) |
Probability of Default
with Indexation |
Fr= 50 |
pi_1|g_1 |
pi_1|g_2 |
pi_1|g_3 |
pi_2|g_2 |
pi_2|g_3 |
θ = 0.0001 |
57.2% |
57.2% |
57.2% |
50.4% |
50.4% |
θ = 0.25 |
87.9% |
68.6% |
41.8% |
59.8% |
33.3% |
θ = 0.50 |
99.3% |
80.6% |
21.6% |
67.9% |
16.7% |
θ = 0.75 |
100.0% |
91.0% |
8.4% |
78.8% |
5.8% |
θ = 0.9999 |
100.0% |
96.5% |
1.6% |
88.8% |
0.9% |
Table 5c: Probability of Default with Indexation (Fr = 75) |
Probability of Default with Indexation |
Fr= 75 |
pi_1|g_1 |
pi_1|g_2 |
pi_1|g_3 |
pi_2|g_2 |
pi_2|g_3 |
θ = 0.0001 |
88.7% |
88.7% |
88.6% |
76.9% |
76.9% |
θ = 0.25 |
99.4% |
95.3% |
84.5% |
84.2% |
67.5% |
θ = 0.50 |
100.0% |
98.8% |
73.6% |
92.6% |
51.5% |
θ = 0.75 |
100.0% |
99.8% |
57.0% |
96.5% |
30.0% |
θ = 0.9999 |
100.0% |
100.0% |
33.6% |
99.1% |
16.6% |
Of course, results are (also) conditional on the given joint distribution
of the random variables, gt , εt
and pbt for a different country / dataset, results
could be otherwise. The point to be noted is that, unless tested for, by
looking at the joint distribution of the correlated random variables and
values of other parameters, the impact is not obvious in one direction or
the other. The only recourse is simulation. In the presence of randomness
(esp. when one has to worry about how multiple random variable evolve
jointly), a purely analytical framework can only take us as far.
II.5: Sensitivity Analysis
To validate the exercise, let’s see what happens when we change some
of the free parameters (rf , c0 and α) in the model.
As a first consistency check, total expected payoff in the case of virtually
no indexation (θ = 0.0001) should be very close to 100 (as during calibration).
This is indeed the case, as seen in the 1st row of Tables 4a – 4c.
Sensitivity to changes in the value of free parameters can be assessed
only in a ‘conditional’ sense, i.e. other inputs Fr , θ, p*, and g* will have to be
fixed. This is done for the following case (close to currently observed values
for p* and g* for India):
p* = 4%
g* = 7%
θ = 0.25
Fr = 25
Results are presented in Tables 6 – 8 and Figures 4 – 6, respectively for
rf , c0 and α.
Table 6: Sensitivity to rƒ |
rƒ |
P(Trig*, Fr) |
Trig* |
Total Probability of Default |
0.02 |
110.6639 |
0.639 |
0.545 |
0.03 |
110.8058 |
0.648 |
0.463 |
0.04 |
107.7983 |
0.657 |
0.373 |
0.05 |
105.2921 |
0.670 |
0.252 |
0.06 |
101.6649 |
0.692 |
0.119 |
As rƒ increases, the discount rate to be applied for the payoff increases,
implying a lower total expected payoff. So a higher default trigger value is
needed (and correspondingly a lower total probability of default) to ensure
that total payoff equals par.
Effect of increase in c0 implies a higher payout in terms of interest
payments which in turn implies a higher level of Dt / Yt. This has two conflicting
Table 7: Sensitivity to co |
co |
P(Trig*, Fr) |
Trig* |
Total Probability of Default |
0.05 |
97.8586 |
0.649 |
0 |
0.06 |
103.246 |
0.616 |
0.133 |
0.0675 |
107.798 |
0.657 |
0.373 |
0.07 |
108.427 |
0.665 |
0.392 |
0.08 |
108.132 |
0.698 |
0.528 |
Table 8 : Sensitivity to α |
α |
P(Trig*, Fr) |
Trig* |
Total Probability of Default |
0.05 |
107.4645 |
0.660 |
0.365 |
sample mean (~0.11) |
107.7983 |
0.657 |
0.373 |
0.25 |
106.6612 |
0.652 |
0.362 |
0.5 |
102.8518 |
0.655 |
0.344 |
0.75 |
101.4787 |
0.666 |
0.325 |
effects, a higher payoff because of higher coupon payments but also a higher
probability of default. The exact response would depend on the values of
other inputs. Notice that till co = 7%, total expected payoff increases, and
then decreases, indicating that higher probability of default dominates at
very high co
.
The effect of increasing share of foreign debt has a much lesser impact on the probability of default, and is relatively hard to explain unless one
takes into account the distribution of change in real exchange rates in a
particular scenario.
II.6: Some Observations on the Methodology and the Monte Carlo Exercise
All the qualitative results observed by CM are also observed in this
study. However, this study goes further and provides in-depth results on
various scenarios and sensitivity analysis to variation in free parameters.
The main observation is that in the case of indexation, not only that
price of the indexed bond could be below par, but also the probability of
default in case of indexation, φ (Trig*, Fr, θ) can increase, depending on the
joint distribution of random variables gt , εt
and pbt and value of other inputs
to the model. Further, although qualitatively results are not very dissimilar
to the ones provided by CM, exact distribution of payoff could be quantitatively
substantially different depending on the value of the other inputs.
A limitation of this study is that the number of simulations considered
for getting the distribution of payoffs and expected discounted value is on
the lower side (1000). It is thus by no means prohibitive in getting a flavor
of the issues in pricing growth indexed bonds.
Another relevant concern is that because of the strict restrictions on external (and so dollar denominated) borrowing, and investment by Indian
residents abroad, the basic arbitrage condition used in the above approach
is likely to have limited applicability in the present Indian context. Therefore,
specifying the risk free interest rate equal to 4 per cent in the baseline
computations, as in the CM approach, may be inappropriate.
While relevant, an “appropriate” risk number premium could be added
to the risk free rate used for discounting, and this in spirit doesn’t change
the ‘methodology’ of pricing GDP-indexed bonds.
In a similar vein, one could also argue against setting the coupon rate
on plain vanilla bonds in the baseline computations equal to the average
EMBI spread. However, the study does provide sensitivity results for varying
coupon rates. In any case, choice of coupon rate on plain vanilla bonds
would depend crucially on the interest rate environment, when and if, a
central bank decides to issue growth-indexed bonds.
Another concern is that India has never so far defaulted on its external
debt, with a currently very low ratio to GDP of the dollar denominated
debt and of the short term external debt. In such a scenario an approach
starting from the notion of a trigger value of debt GDP ratio may appear
unconvincing if such a trigger value is not specified as dependent on the
ratio of short term external debt to the stock of foreign exchange reserves.
In our view, however, even setting a trigger value to be dependent on the
external debt/foreign exchange reserves ratio is meaningless in a world of
capital flows.
Many would also like to understand the role of GDP indexed bonds in
the context of a bond market such as India’s, which is largely dominated at
present by domestic investors, in terms of stabilising government finances
and debt and possibly lowering the cost of government borrowing. The
issuing of such bonds in a domestic context would require us to address larger issues such as the role of sovereign default in a purely domestic
context. The ex post possibility of default may be ex ante efficient in
encouraging sovereigns to repay their obligations and indeed make it
possible for sovereign debt markets to exist in the first place. There are
also institutional factors one would have to consider such as the absence
of legal recourse available to creditors to enforce payments when sovereign
obligations are not honoured and the implications for such instruments
when the market for government securities is propped by mandated
investment requirements on bank and other financial institution portfolios.
More importantly market liquidity in the government securities market is
fairly limited, with most government bonds held to maturity. These issues
are outside the scope of the study.
_______________
2 Debt here refers to the total government debt
3 Inflation “target” here refers to the US target for the medium term – in line with CM’s usage.
4 Selection of the “target” growth rate is taken to be something exogenous to the study. We think
that when, and if a central bank such as the RBI decides to go through with such an initiative,
appropriate inflation, coupon, growth targets will have to be decided upon – something which
we believe RBI as a central bank is much better placed than the authors of the study. This
study is predominantly illustrative of what such choices entail for such instruments.
5 One could argue that strategy of using the small sample to generate the correlated random
variables is ‘flawed’. However, ‘desired’/’actual’ properties of the random variables can be
simulated. From a practical point of view, it’s an easy enough task, and not central to the
study. As it is, in principle, it doesn’t cause any change in the methodology.
6 Finer step-sizes can be selected too. But, for illustrative purposes, 1/10th of a percent is
good enough.
7 In particular, we found that no-default became a certainty on all sample paths. What we think
could be happening is that, a higher implies a lower Dt / Yt , and consequently a less likely
default. From a more practical point of view, most developed country central banks do have ‘medium level inflation targets’ that hover around 2%, including the US.
8 Recall that the trigger level (Trig*) is an output from the calibration exercise
Section III: Concluding Remarks
This paper has analysed what GDP indexed bonds achieve, their
stabilisation properties, and the obstacles to the introduction of such bonds
especially in terms of pricing of such bonds. We do not see the commonly
stated obstacles as insurmountable. We, however, believe there are practical
issues involved in the issue of such instruments which reduce their
desirability in the Indian context. The main one in the Indian context is
that the introduction of such a financial instrument requires offering a
premium to hold it as investors are uncertain about a new instrument. As
GDP indexed bonds make a substantial difference only when they have a
long term maturity of five years or more it is not easy for an incumbent
government to issue such bonds that make life easier for their successors.
Moreover when an economy is going through a buoyant growth phase it
makes it difficult for a Finance Minister to justify payment of an insurance
premium and higher coupons. Such bonds have so far been introduced in
the world economy in Costa Rica, Bulgaria, Bosnia and Herzegovina, and
Argentina, as part of a debt restructuring programme. Their attractiveness
when an economy’s productivity growth rate increases as currently is the
case in India is in doubt as investors may read an ambiguous signal with
the introduction of such an instrument in the current buoyant phase. Issues
of such an instrument cannot be made in small tranches as sufficient
liquidity is important for them to be actively traded and held. The estimates of savings for the economy that Borensztein and Mauro (2004) give for
Mexico for instance require that half of the debt should have been in the
form of GDP indexed bonds for the country to have saved a little over 1 per
cent of GDP in interest payments during the 1995 crisis. Thus it seems
such bonds will be more successful if they are issued by different emerging
markets, instead of one coming as it would make it easier for investors to
make comparisons and to make price discovery possible. This requires
coordination at an international level, that is a public good which no one
country will find profitable to undertake.
Substantially also these bonds are a response to the presence of moral
hazard due to the existence of repudiation risk. In that case there may be a
tradeoff between attempting to complete the financial markets with such
instruments and promoting institutions that deepen the market and make
them more liquid. Countries that promote political stability, trade openness,
the rule of law, etc. reduce repudiation risk and at the same time ameliorate
the adverse incentive effects of moral hazard and improve access to capital
markets. GDP indexed bonds play a similar role – they eliminate the
inefficiencies arising from formal default and maximize the incentive to
invest. Sound institutions and policies may be as effective in reducing risk
and make debt sustainable.
A GDP indexed bond would be valuable when an economy is unable
to credibly commit to sound fiscal policies which then leaves investors
less willing to supply capital to an economy. By reducing the risk of
repayment such a financial instrument attempts to keep investors
confident and keep capital flows to the economy sustainable. However,
arguably instituting credible fiscal policy may be more beneficial to
handling the risk that is being sought to be addressed. One such institution
is the legislation of fiscal rules that have teeth in the form of penalties in
case the government does not meet the targets set by such rules. These
rules could be in the form of expenditure limiting rules, overall balance
rules prescribing limits to fiscal deficits, and public debt rules. In some
cases it may even be advisable to institute an independent fiscal authority
that has the power to set the permissible change in the public debt which
it sets by taking into consideration that budget deficits now would be offset by surpluses in the future. This gives a long term perspective to
fiscal policy than that offered by a government which may be out of office
tomorrow and is tempted to manipulate the deficit so as to increase its
chances of re-election. The members of such an autonomous authority
which is established by law would have to be appointed for long and
staggered terms in office with a mandate to insure the stability of public
finance. They would set limits to public debt not on the basis of rules but
on the basis of sustainability of the debt. The decision about the size of
government and about taxation would however still be with the executive
and legislative branches of government. Such institutions address
problems of commitment and play the role of monitoring and signaling
government performance on the fiscal front. In emerging markets it may
be more sensible to deepen institutions and make policies that are
sustainable rather than attempt to address financial market inefficiencies
through the use of financial engineering.
References
Atkeson, Andrew (1991) – “International Lending with Moral Hazard and
Risk of Repudiation”, Econometrica, 59, 1069 – 89.
Bernanke, B. and M. Gertler (1989) – “Agency Costs, Net Worth and Business
Fluctuations”, American Economic Review, 79, 14 – 31.
Borensztein, E. and P. Mauro (2004) – “The Case for GDP – Indexed Bonds”,
Economic Policy, April, 165 – 216.
Campbell, J.Y. and R.J. Shiller (1996) – “A Scorecard for Indexed
Government Debt”, NBER Macroeconomics Annual, 155 – 97.
Chamon, M. and P. Mauro (2006) – “Pricing Growth-Indexed Bonds”, Journal
of Banking & Finance, XXX, 1 – 18.
Council of Economic Advisers (2004) – “Growth – Indexed Bonds: A primer”,
July 8, Washington DC. [http://www.whitehouse.gov /cea/growth-indexedbonds-white-paper.pdf]
Eaton, J. and M. Gersowitz (1981) – “Debt with Potential Repudiation:
Theory and Estimation”, Review of Economic Studies, 48, 289 – 309.
Froot, K.A., D.S. Scharsfstein, and J. Stein (1989) – “LDC Debt: Forgiveness,
Indexation, and Investment Incentives”, Journal of Finance, 44(5), 1335 –
50.
Gertler, M. and K. Rogoff (1990) – “North-South Lending and Endogenous
Capital Market Inefficiencies”, Journal of Monetary Economics, 26, 245 –
66.
Griffith-Jones, S. and K. Sharma (2006) – “GDP – Indexed Bonds: Making
it Happen”, UN Department of Economic and Social Affairs Working Paper
No. 21, ST/ESA/2006/DWP/21.
Krugman, P. (1988) – “Financing vs. Forgiving a Debt Overhang”, Journal
of Development Economics, 29, 253 – 68.
Lane, Philip R. (1999) – “North – South Lending with Moral Hazard and
Repudiation Risk”, Review of International Economics, 7(1), 50 – 58.
Appendix
|