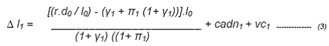
Press Release RBI Working Paper Series No. 16 Sustainable Level of India’s Current Account Deficit @Rajan Goyal * The paper estimates sustainable level of current account deficit (CAD) for India by applying a model akin to `Domar’s Model of Debt Sustainability’ to the threshold level of net external liabilities that economy should not breach to ensure stability of the external sector. Probit analysis based on a select panel of market economies was used to arrive at the threshold level. Study concludes that CAD between 2.4 to 2.8 per cent of GDP is sustainable over the medium term under the assumptions that GDP growth ranges between 6.0 and 8.0 per cent, inflation hovering around 5.0 per cent level and interest rate and size of capital flows broadly following their trends in the recent past. JEL Classification: F32, F34 Key Words: Current Account, Sustainability, Capital Flows, Debt Service Ratio, Reserves Section 1: Introduction Diverse experience across the globe shows that excessive current account deficit (CAD) tends to make economy vulnerable to external debt or currency crisis which brings in its wake financial instability and substantial output and welfare losses. In India, unrelenting expansion of fiscal deficit in the late 1980s spilled over to CAD that culminated in Balance of Payments (BoP) crisis of 1991, a situation perilously close to debt default. Following the crisis, a range of external sector policies that emphasized market based exchange rate regime, preference for non-debt creating capital flows and improvement in competitiveness of exports of goods and services, improved India’s BoP situation. At this stage, it was perceived that a CAD level of around 1.6 per cent of GDP was sustainable1. CAD in the following decade in fact remained around one per cent of GDP and could be comfortably financed from normal capital flows. While the beginning of the decade of 2000s witnessed marginal surpluses, CAD began rising in the second half of the decade and almost hit the level of 3 per cent of GDP in aftermath of global financial crisis. During 2008-09 to 2010-11, CAD averaging at 2.7 per cent of GDP, however, didn’t cause any stress as capital inflows have been more than adequate. Subsequently, during 2011-12, CAD exceeded the level of 4.0 per cent of GDP and there has been net drawdown of reserves to the extent of about USD 13 billion. Thus the question arises, whether the sustainable level of CAD that was historically believed to be below 2 per cent of GDP has moved up and if so what is the sustainable level of CAD in the current scenario. The economy has moved a long way from the situation that prevailed in the early 1990s in terms of variety of macroeconomic aggregates. For example, economy is far more open, Rupee is convertible on the current account, financial markets are far more deep and vibrant, investment flows are freely permitted, country is one of the top recipients of capital flows among the emerging economies and the nation has accumulated large forex reserves which are 9th highest in the world (2012). These developments seem to have led to thinking in some quarters that the ability of the nation to finance higher CAD in the medium term is significantly enhanced. Against this background, the present paper undertakes an estimation of sustainable level of CAD in India. It studies the external sustainability by examining long-run condition for inter-temporal budget constraint, i.e., the path of CAD consistent with the threshold level of India’s net external liabilities to GDP ratio (NELY), by applying a model akin to Domar’s Model of debt sustainability. The threshold level of NELY was arrived through Probit analysis. The remainder of the paper has been organised as follows: Section 2 presents stylized facts about some key indicators of India’s external sector. Section 3 briefly reviews the alternative methodologies to assess sustainability of external current account and describes certain conceptual issues related to sustainable level of CAD. Section 4 estimates threshold level of external liabilities through a probit analysis and provides an assessment of the level of current account which is sustainable and last Section sums up the results and concludes. Section 2: Trends in some Key External Sector Parameters Till the early 1990s, India was virtually a closed economy with external sector subjected to plethora of controls and regulatory mechanism. With export pessimism underlying the policy approach, India largely directed its policies toward import substitution, quantitative controls and administrative exchange rate right from the beginning of planning era. With these restrictions in place, both trade volumes and resultant CAD remained in a modest range during first 4 decades of post independent India. Exports and imports of goods and services as proportion to GDP averaged around 5.4 per cent and 7.1 per cent respectively and CAD averaged about 1.0 per cent of GDP during this period (Chart 1). Portraying India’s conservative approach towards external sector, though CAD has generally been modest, country couldn’t evade the intermittent surge witnessed during the late 1950s, mid 1960s and the early 1990s. These intermittent spikes in CAD essentially manifested the inability to generate adequate export earnings to meet any sudden surge in imports.  | While each spike in CAD brought about some stress on the system, the rise in the CAD in the early 1990s led to serious BoP difficulties dangerously close to the situation of a debt default. Following this crisis, a range of external sector policies that emphasized market based exchange rate regime, preference for non-debt creating capital flows and competitiveness of exports of goods and services ensured that CAD in the following decade remained around one per cent of GDP and could be comfortably financed from capital flows. Though beginning of the decade of 2000s witnessed marginal surpluses, CAD began rising in the second half of the decade and almost hit the level of 3 per cent of GDP in the aftermath of global financial crisis. During 2009-10 to 2010-11, CAD has averaged to 2.7 per cent of GDP which is only a shade lower than 3.1 per cent of GDP that caused BoP crisis in the year 1991. However, CAD of this magnitude did not cause any stress and could be financed quite comfortably from capital flows and there had been net accretion to the reserves. As rise in CAD could generally be contained, the size of NELY and key economic (sustainability) indicators viz., debt-servicing ratio, import cover and debt to GDP ratio remained bounded except during the early 1990s. During 1970 to 2011, NELY ranged between 5.7 to 34.8 per cent with lowest level being in 2004-05 and peak level in the year 1991-92 when serious BoP difficulties arose. Reflective of the overall approach to external sector policy stance as alluded to above, till the early 1990s, deficit on the current account was largely met through official concessional flows and private investment flows both in terms of equity as well as debt were not encouraged. Drawing lessons from the BoP crisis, the process of the liberalising capital flows across the borders began in the early part of the 1990s with unveiling of policy stance which showed preference for the non-debt flows over the debt flows and long term flows over short-term flows. Accordingly, there is virtually complete liberty for portfolio investment to flow in and also to be repatriated back. Similarly, Foreign Direct Investment (FDI) flows have also been relaxed with gradual increase of the sector-wise ceilings for foreign equity holdings, barring those in the sensitive sectors. On the other hand, debt flows viz., External Commercial Borrowings (ECB), short term trade credit and banking capital are closely monitored and are regulated both in terms of quantum as well as price. With liberalization of the policy, total net capital flows rose steadily from US$ 8.6 billion in the year 2001-02 to US $ 28.0 billion in the year 2004-05 and peaked to US$ 107 billion in the year 2007-08. This was followed by a sharp dip with net flows aggregating only around US$ 7 billion in 2008-09 reflecting drying up of the liquidity in the wake of global financial crisis. Reflecting recovery of Indian economy ahead of growth in the developed world and the positive interest rate differential capital flows rebounded quickly and rose to about US$ 54 billion during 2009-10. During the last 5 year period, net capital flows as proportion to GDP averaged 4.2 per cent. Table 1 below sets out the trends in various types of flows over the last 10 year period. | Table 1: Composition of Capital Flows | | USD Million | | | 2001-02 | 2002-03 | 2003-04 | 2004-05 | 2005-06 | 2006-07 | 2007-08 | 2008-09 | 2009-10 | 2010-11 | | Net Capital Flows | 8,551 | 10,840 | 16,736 | 28,022 | 25,470 | 45,203 | 106585 | 6,768 | 53,397 | 59,747 | | 1. FDI (Net) | 4,734 | 3,217 | 2,388 | 3,713 | 3,034 | 7,693 | 15,893 | 19,816 | 18,771 | 7,142 | | (a) FDI to India, net | 6,125 | 5,036 | 4,322 | 5,987 | 8,901 | 22,739 | 34,728 | 37,672 | 33,124 | 23,364 | | (b) FDI by India, net | -1,391 | -1,819 | -1,934 | -2,274 | -5,867 | -15,046 | -18,835 | -17,855 | -14,353 | -16,222 | | 2. Portfolio Flows | 1,952 | 944 | 11,356 | 9,287 | 12,494 | 7,060 | 27,433 | -14,030 | 32396 | 30292 | | (a) FIIs | 1,505 | 377 | 10,918 | 8,686 | 9,926 | 3,226 | 20,327 | -15,017 | 29,048 | 28,422 | | (b) ADR/GDR | 477 | 600 | 459 | 613 | 2,552 | 3,776 | 6,645 | 1,162 | 3,328 | 2,059 | | 3. ECB (net) | -1,585 | -1,692 | -2,925 | 5,194 | 2,508 | 16,103 | 22,609 | 7,862 | 2,808 | 11,927 | | 4. Short-term credit | -793 | 970 | 1,419 | 3,792 | 3,699 | 6,612 | 15,930 | -1,985 | 7,558 | 10,991 | | 5. Ext Assist (net) | 1,117 | -3,128 | -2,858 | 1,923 | 1,702 | 1,775 | 2,114 | 2,441 | 2,893 | 4,941 | | 6. Banking Capital, net | 2,864 | 10,425 | 6,033 | 3,874 | 1,373 | 1,913 | 11,759 | -3,246 | 2,084 | 4,963 | | (a) NRI Deposits | 2,754 | 2,978 | 3,642 | -964 | 2,789 | 4,321 | 179 | 4,290 | 2,924 | 3,239 | | memo (as a percentage to total) | | Debt Flows | 19.3 | 61.2 | 10.8 | 53.2 | 37.4 | 64.2 | 54.7 | 46.7 | 23.1 | 46.7 | | Non-Debt Flows | 80.7 | 38.8 | 89.2 | 46.8 | 62.6 | 35.8 | 45.3 | 53.3 | 76.9 | 53.3 | | Note: components may not add to net capital flows which also include other capital and rupee debt service. | Both debt and non-debt flows grew significantly in size though they remained volatile largely reflecting the global economic developments. While, trends in certain components such as portfolio investment, ECBs and NRI deposits have been relatively more erratic, FDI flows remained relatively stable and have grown steadily over the period. Since the liberalization of capital flows, there has been predominance of non-debt flows reflective of conscious policy stance with explicit preference for such flows. Significantly, during the last 10 year period, nearly 3/5th of the net flows were on account of FDI and portfolio investment alone. Section 3: Concept and Alternative modes of Measurement Theoretically, sustainability of CAD refers to the ability of a nation to finance its current account gap on an ongoing basis by normal capital flows. Thus, the level of CAD that could be financed on a continuous basis without resulting in any pressure on the economy is termed as the sustainable level. While, there are various measures of sustainability of CAD, most commonly, it is assessed in terms of net external liabilities relative to the size of the economy. The level of CAD that stabilizes the net external assets/ liabilities relative to the size of the economy could be termed as sustainable. Sustainability of the CAD could also be seen in terms of ‘Solvency’. A nation is considered solvent if its future cash flows or the current account surpluses are enough to enable it to repay its outstanding current net external liabilities. In more formal sense, a nation is stated to be solvent if sum of its discounted current account surpluses in future are more than the current level of net external liabilities. Apparently, solvency and sustainability are closely related measures, in that a continued unsustainable path would ultimately threaten the solvency of the nation. If a country remains solvent in terms of its capacity to repay its external liabilities, it also generally implies that CAD deficit being run by the nation is sustainable however the converse may not necessarily hold. That is, while solvency also generally means sustainability but sustainable level do not necessarily implies solvency. It is possible that a nation enjoys credibility among the investors and may be able to finance its deficit through a ‘ponzi game’ without proving its ability to repay its liabilities2. Measurement There are alternative procedures to assess the sustainable level of CAD. One of the ways of testing for sustainability, borrowed from the public finance, is to check if the current account follows a stationary process. This would mean that in the long run the inter-temporal budget constraint linking savings and investment is respected (Coakley et al., 1996). Another way closely related to above procedure, again adapted from public finance, is to test whether external current receipts and current payments are co-integrated or not. In case there is evidence of co-integration, it is inferred that current account is sustainable. While these procedures do give indication whether CAD in the long run is sustainable or not, they do not reveal the level or range of CAD that is expected to be sustainable in the future. Further, the International Monetary Fund has developed over the years a methodology to arrive at a quantitative measure of sustainability, based on several macroeconomic indicators. It essentially computes underlying level of CAD that reflects the fundamentals of the economy and is likely to occur if current macro policies continue unaltered (Isard, 2008). But the use of this methodology to arrive at the sustainable level could be questioned as the computed ‘underlying CAD level’ need not necessarily be the sustainable level if the country is unable to finance this level of CAD on an ongoing basis. In addition to the above procedures, sustainability could also be assessed in terms of the level of NELY. Using a model akin to Domar’s model of debt sustainability, level of CAD could be worked out which is consistent with the observed peak level of NELY that has been sustainable in the past. This methodology or similar procedure has been used extensively in the literature {Milesi-Ferretti and Razin (1996), Callen and Cashin, 1999} as also by IMF missions for country assessment. As regards work specific to India, work by IMF staff economists, viz., Callen P. and Cashin T. (1999) that used NELY as the key parameter suggested that CAD between 1.5 and 2.5 per cent of GDP is the sustainable range. Apart from this, High Level Committee on Balance of Payments (Ranagarajan Committee, 1993) which used various indicators such as import cover, short term debt growth of exports and imports and capital flows had suggested that CAD up to 1.6 per cent of GDP could be sustained. The present paper seeks to determine the sustainable level of CAD for India using procedure adopted by Callen and Cashin. However, for arriving at the benchmark value for NELY, exercise has been augmented with a probit analysis drawing from the work by Glick and Hutchison (1999) and Milesi-Ferretti et al (2011). Following the inter-temporal budget constraint, sustainable level of CAD could be seen in terms of net external liabilities to GDP ratio. The level of CAD that ensures that net external assets or liabilities do not grow without bound, could be termed as sustainable. It could be estimated by using the following accumulation equation: where, L is net external liabilities, CAD is current account deficit and VC is valuation changes. By normalizing both sides with GDP and by rearranging (1) could be written as: where, γ is the real growth rate of the economy and π is inflation rate. Variables in lower case are proportion to GDP. Apart from real growth rate and inflation, to bring in the impact of interest rate explicitly, the equation could be further customized and written as: where, d0 is external debt, cadn is current account deficit net of interest payment, r is nominal rate of interest. Equation 3 is akin to the Domar’s model of debt sustainability. From this equation, following relationships between net external liability vis-à-vis rate of interest and growth rate could be observed: -
Larger the growth rate, keeping everything else same, larger would be the size of CAD that is sustainable. -
Similarly, lower the interest rate, keeping everything else same, larger would be the size of CAD that is sustainable. -
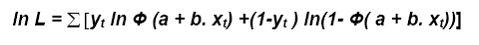
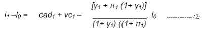
Above two statements also meant that larger the absolute size of the differential between the interest rate and growth rate, higher could be the size of CAD that is consistent with stable Net External Liabilities to GDP ratio (NELY). As an alternative to net external liabilities to GDP ratio, sustainability could also be assessed in terms of a range of economic indicators, viz., debt-GDP ratio, import cover, debt-servicing ratio, etc. Use of these ratios for evaluating sustainability is quite intuitive. Higher debt-GDP ratio would imply larger service obligations and economic vulnerability. Similarly, higher the debt-servicing ratio which is measured as debt service payment as a proportion of current receipts, lower would be the sustainability level. On the other hand, higher the ‘import cover’ which is measured in terms of number of months for which import could be supported by the available reserves, greater would be the level of CAD that could be sustained by the economy. Section 4: Assessment of Sustainability Sustainable level of CAD has been assessed in terms of both the NELY as well as Economic Indicators. A. Net External Liabilities to GDP Ratio Assessing the sustainable path of CAD, as per equation 3 above, assumes continuation of the current stance of macroeconomic policy into the future and sustainability is ensured if the resulting path of CAD does not breach country’s inter-temporal budget constraint. Thus, the choice of the threshold level of NELY that is to be targeted would be very crucial for this analysis. Higher the threshold level, higher would be the CAD level that could be sustained and vice versa. Intuitively, as size of NELY grows in size investors would increasingly be unwilling to support economy’s efforts to meet its external deficit by way of borrowing. It could be observed from the international experience as economy’s NELY grows beyond a point it fails to procure external financing and becomes vulnerable to debt or currency crisis. The chart 2 for nine select economies above brings out the point that currency crises in economies were generally associated with peak levels of NELY in those economies. Chart 2: Net External Liabilities and Crisis – Select Economies Threshold Level of Net External Liabilities to GDP Ratio It may be observed the precise level of NELY which must not breached to ward off external crisis is country specific depending upon the credibility and ability of the nation to sustain interest of the investors. The latter in turn inter alia depends upon the depth and size of financial markets, composition and cost of capital flows and returns on investment. How do we arrive at such threshold level to proceed further? As a practical solution to this, peak level among those that existed in the past and had been sustainable could be assumed to stay sustainable, in future as well (IMF, 1999). Alternatively, following the literature, we may compute crisis probabilities corresponding to various levels of NELY to arrive at a threshold level (IMF, 2011). Probability of Crisis Crisis probabilities could be estimated by using a probit model where dependent variable is binary in nature. Accordingly, it observed that a country at time t is either experiencing onset of a crisis (variable, yt, takes on a value of unity), or it is not (yt=0). The probability that a crisis will occur, Pr (yt=1), is hypothesized to be a function of a vector of characteristics associated with observation t, xt, and the parameter vector ß. The likelihood function of the probit model is constructed across n observations (the number of countries times the number of observations for each country) and (the log of the function) is then maximized with respect to the unknown parameters using nonlinear maximum likelihood function as follows: The function Ф is the standardized normal distribution. Positive sign of the coefficients imply that increase in Xi in period t is associated with rise in probability that economy is likely to face currency or debt crisis. To measure the goodness of fit of the equation, the pseudo R2, as suggested by Judge and others (1982) have been computed. It is defined as 1-log L (unrestricted)/ log L (restricted), where log L is the log-likelihood of the estimated equation. Like R2 in OLS, pseudo R2 corresponds to the hypothesis that all the coefficients except constant term are zero. Data on indicator of external sector crises in this study have been adopted from Glick and Hutchison, 1999. The sample used in this study contains 25 crisis years in a panel of 9 select economies over the period 1970-2010. Economies picked up for the study are: Brazil, Chile, India, Korea, Malaysia, Mexico, Russia, South Africa and Turkey. Key reasons for selecting these economies have been- first, 5 out of 9 are current account deficit countries, secondly, these are large emerging market economies and all BRICS except China have been included. The theoretical and empirical literature suggests that apart from size of external liabilities, there are various other macroeconomic parameters that may influence level of external sector vulnerability (Kaminsky, Lizondo, and Reinhart, 1998; Demirgüç-Kunt and Detragiache, 1998a; and Hutchison and McDill, 1999, Glick and Huchison, 1999, M. Ferretti, 2011). Accordingly, apart from external liabilities certain other macroeconomic or control variables, viz., composition of liabilities in terms of equity and debt, proportion of short term debt, size of foreign exchange reserves and per capita income have been added to the set of explanatory variables. Apart from these, one qualitative variable representing policy environment captured through Index of Government Effectiveness (Kaufmann Index)3 has also been included. Some models of debt and external crises cited above emphasize that debt liabilities—as opposed to equity liabilities—tend to be particularly more burdensome in times of economic difficulties. Thus, debt-equity composition of total liabilities is expected to be positively related to probability of crisis. Further, under the stressed market conditions, it becomes difficult to rollover the existing short-term liabilities, therefore, higher the proportion of short-term debt to total external debt, more vulnerable is the economy. It has also been indicated that higher magnitude of reserves reduces the probability of a crisis as they are under the direct control of regulators and can provide a more effective offset to external liabilities. Thus, higher the import cover - foreign exchange reserves normalized in terms of import of goods and services - lower is the crisis probability or risks. Moreover, better economic prospects tend to attract more capital in the economy and therefore, an increase in per capita income level is likely to be associated with larger capital flows thus reducing the vulnerability levels. Apart from economic prospects, capital inflows may also vary with the policy environment faced by the prospective investor. It has been observed that deterioration in policy environment, in particular, the policy uncertainty may hamper FDI (RBI, 2012). Apart from these variables, impact of exchange rate misalignment measured through deviation in real effective exchange rate from the base level, global liquidity conditions represented by US bonds spread (between AAA and BAA bonds) and government deficit to GDP ratio were also assessed but were found to be statistically insignificant and signs were also not always consistent with the theoretical understanding, hence not reported here. To assess impact of external liabilities and other macroeconomic or control variables on the probability of crisis, 3 variants of probit model have been estimated and results are summarized in Table 2 below. | Table 2: Probit Estimates of Crisis Probability | | Explanatory Variable | Equation 1 | Equation 2 | Equation 3 | | (1) | (2) | (3) | (4) | | NELY | 0.01* | 0.05** | 0.05** | | | (2.1) | (3.3) | (3.5) | | Equity – Debt ratio | | -0.001 | | | | | (1.4) | | | Import Cover (reserves) | | -0.007* | | | | | (2.0) | | | Index | | | -0.01** | | | | | (2.7) | | Short term to total debt | | 0.05** | 0.05** | | | | (2.8) | (2.7) | | Per Capita Income | | -0.03* | -0.03* | | | | (2.2) | (2.3) | | Government Effectiveness | | -2.0** | -2.0** | | | | (3.0) | (3.1) | | Pseudo R2 | 0.02 | 0.28 | 0.28 | | z- statistics are given in the brackets. * and ** denote significance at the 5 per cent and 1 per cent level, respectively. | In alternative specifications, the effects of all the variables are consistent with our a priori expectations and relationships have been statistically significant. Estimate of the bivariate specification reported in column 2 shows that as external liabilities as a proportion to GDP rises, there is a statistically significant increase in crisis probability. Next specification in column 3 that presents impact of external liabilities on crisis probability in the presence of other macroeconomic or control variables shows that apart from the size of external liabilities, higher proportion of debt relative to equity in total liabilities and larger proportion of short-term debt in total debt also make statistically significant addition to crisis probability and rise in the size of foreign exchange reserves diminishes the crisis risk. Similarly, increase in per capita income and improvement in governance also cause moderation in crisis risk. Notably, though the sign of equity to debt ratio is correct, relationships is statistically insignificant. Our exercise (not reported here) shows that in case this variable is included with omission of import cover variable, it turns out to be statistically significant. It may be observed that these two variables have close co-movement and hold a linear relationship4. Thus, in the alternative specification shown in column 4, these two variables have been replaced with a weighted composite index constructed with weight to each variable assigned in proportion to their respective impact on crisis probability. Index shows statistically significant impact of these variables on crisis probability. The impact of governance and policy environment captured through Government Effectiveness Index (Kaufmann) is in line with our a priori expectation and makes statistically significant impact on external sector vulnerability. Overall, results seem to suggest that India’s conscious policy preference for non-debt capital flows and sharp improvement in the size of foreign exchange reserves in the post reform period have helped in moderating the probability of crisis. The Table 3 presents the values of key macroeconomic or control variables at two time points, viz., i) in 1991 when India faced balance of payment difficulties and ii) nearly 20 years later in 2011 after the reforms. It could be observed that apart from short-term debt, economy now is far better placed in terms of all other variables. Thus, given the sensitivity of crisis risk to each of these variables observed in probit estimates, probability of crisis in 2011 must be lower than that existed 20 years back. | Table 3: Movement in Key Determinants of Crisis Risk | | Year | 1991 | 2011 | | Equity-Debt Ratio | 0.25 | 4.69 | | Import Cover (months) | 1.8 | 5.5 | | Short-term Debt to Total Debt (per cent) | 8.1 | 21.2 | | Real Per capita Income (US$) | 307 | 787 | | Government Effectiveness Index (Kaufmann) | -0.098 | -0.020 | Using probit results, continuum of crisis probability estimates associated with different level of external liabilities at two points in time viz., on the eve of economic reforms i.e. 1991 and at present, i.e. 2010-11, have been prepared for India. As is expected under the probit models, the crisis probability varies nonlinearly with rise in NELY (Chart 3).  | From the above estimates of crisis probabilities associated with each level of external liabilities, the threshold size of external liabilities that must not be breached to ensure stability of the external sector could be worked out. Technically, the level of external liabilities that corresponds to the unconditional sample crisis probability of about 10 per cent (25 crises years, 260 observations)5 represents the threshold level. It could be seen that level of external liabilities that corresponds to unconditional crisis probability (10 per cent) was at about 6 per cent of GDP on the eve of economic reform process (1991) and the same rose to about 24 per cent in the year 2010-11. Simulations of Sustainable Current Account Deficit - India Having arrived at the threshold level of NELY, now sustainable level of CAD could be simulated using the customized Domar’s sustainability equation 3 above. Accordingly, while allowing NELY to stay around 24 per cent, alternative scenarios for sustainable level of CAD for a medium term, say up to 2020 could be simulated. The alternative scenarios have been generated under following assumptions: Assumptions: | 1. Real GDP growth rate: | 6 per cent/ 7 per cent/ 8 per cent | | 2. Inflation: | 5 per cent | | 3. Valuation changes: | assumed to be zero 6 | | 4. Nominal Interest Rate/ Returns: | | | a. Interest rate on external liabilities | rising from 3.2 to 5 per cent | | b. Returns on external assets | rising from 2.0 to 3.5 per cent | | 5. Equity to Debt ratio of liabilities | at least 100 per cent | 6. Short term debt to total debt (Original Maturity) | 22 per cent | 7. Policy Environment (Kaufmann Index) | No deterioration | If market valuation of existing liabilities is taken into account the NELY at end March 2011 stood at 23.4 per cent of GDP7. Given our threshold level at 24 per cent of GDP, only that level of CAD would be sustainable that stabilizes the NELY around the current level. Simulation results show that if economy is growing at 8 per cent per annum, CAD at around 2.7 per cent of GDP would retain NELY within 24 per cent of GDP. However, if growth rate falls to 6 per cent, CAD may need to be kept at about 2.4 per cent of GDP to keep the NELY at the current level (Table 4). | Table 4: NELY stabilizes at the current level | | | As at end | GDP growth at 8 per cent | GDP growth at 7 per cent | GDP growth at 6 per cent | | CAD | NELY | CAD | NELY | CAD | NELY | | 1 | March 2012 | 4.2 | 23.4 | 4.2 | 23.4 | 4.2 | 23.4 | | 2 | March 2020 | 2.8 | 23.5 | 2.6 | 23.5 | 2.4 | 23.5 | Thus, sustainable level of CAD ranges between 2.4 to 2.8 if income growth remains between 6 to 8 per cent and interest rate on debt liabilities gradually moves from current level of 3.2 to 5.0 per cent over the medium term. B. Economic Indicators The analysis has been extended further to arrive at trends in economic indicators related to sustainability indicators if CAD is kept within the sustainable level as estimated above and net capital flows range around 4 per cent of GDP - an average level during the last 5 year period8. Trends have been computed for the following sustainability indicators: - Debt-GDP ratio
- Debt servicing ratio
- Import cover
Estimated trends in these ratios provided NELY remains within 24 per cent level till the end of current decade are presented in Table 5 below: | Table 5: Economic Indicators - NELY stabilises at threshold level | | (in per cent) | | | As at end | CAD | Debt-GDP | Debt Servicing | Import Cover1 (months) | Import Cover2 (months) | | 1 | March 2012 | 4.2 | 20.0 | 5.6 | 7.1 | 6.7 | | 2 | March 2020 With 8% growth | 2.8 | 16.3 | 4.2 | 4.6 | 4.4 | | 3 | March 2020 With 7% growth | 2.6 | 17.1 | 4.7 | 5.4 | 5.2 | | 4 | March 2020 With 6% growth | 2.4 | 17.9 | 5.3 | 6.3 | 6.0 | | Import cover1 = Imports to Reserves, Import cover2 = Imports plus debt-servicing to Reserves | Trends in sustainability indicators further corroborate the results drawn through Domar framework of sustainability. All the 4 indicators are within the comfort zone9 over a span of next eight years even if CAD ranges between 2.4 to 2.8 per cent of GDP during the period. Import cover gets reduced but remains around 4 to 6 months which should be adequate. Section 5: Summing up and Conclusion It is argued that excessive CAD tends to make an economy vulnerable to external debt or currency crisis which brings in its wake financial instability and substantial output and welfare losses. In the Indian context, it was observed that CAD averaging around 2.7 per cent of GDP during 2008-09 to 2010-11did not cause any stress on the economy. However, CAD exceeding 4.0 per cent of GDP caused net drawdown of reserves to the tune of US$ 12.8 billion in the year 2011-12. This posed the question whether the sustainable level of CAD in India which was historically believed to be below 2 per cent of GDP has moved up and if so what is the sustainable level of CAD in the current scenario. Against this backdrop, the paper estimates sustainable level of current account deficit (CAD) for India by applying a model akin to `Domar’s Model of Debt Sustainability’ to the threshold level of net external liabilities that economy should not breach to ensure stability of the external sector. Probit analysis was used to arrive at the threshold level. Probit analysis based on a panel of 9 market economies shows that the conscious policy stance with preference for long term and non-debt capital flows along with improvement in size of foreign exchange reserves, growth prospects and investment climate made statistically significant moderation in external sector vulnerability over the reform period. Accordingly, the threshold level of NELY that economy must not breach to ensure stability of the external sector, in case of India has risen from 6 per cent in 1991 to 24 per cent in 2011. Simulation results based on equation akin to Domar’s Model of Debt Sustainability reveal that: -
If NELY is targeted to be at the current level (23.4 per cent), sustainable level CAD would be about 2.8 per cent of GDP, provided GDP grows at 8 per cent per annum. With lower GDP growth, sustainable level of CAD would be further down. -
With GDP growing in the range of 6 to 8 per cent, sustainable level of CAD would be varying between 2.4 to 2.8 per cent. -
These results are under assumptions that inflation hovers around 5.0 per cent level, interest rate and size of capital flows broadly following their trends in the recent past. These results were further corroborated by examining impact of CAD of this order on other sustainability parameters, viz., debt-GDP ratio, debt-service ratio, import cover for merchandise imports and import cover for merchandise imports and debt-service payments. Simulation results drawn through financial programming framework corroborates that CAD of the order of 2.4 to 2.8 per cent of GDP is consistent with these other sustainability parameters as well. References: Callen, T. and Cashin, P. (1999), “Assessing External Sustainability in India”, IMF Working Paper, WP/99/181. December. Calvo, Guillermo and Enrique Mendoza (1996). “Mexico’s Balance of Payments Crises. A Chronicle of a Death Foretold,” Journal of International Economics, 41, 235-264. Coakley, J. F. Kulasi and R. Smith (1996), ‘Inter-temporal budget constraint and the Feldstein-Horioka Puzzle’ The Economic Journal. Demirgüç-Kunt, Asli and Enrica Detragiache. (1998) “Financial Liberalization and Financial Fragility” IMF Working Paper WP/98/83 (June). Glick R. and M. Huchison (1999) “Banking and Currency Crises: How Common Are Twins?” Federal Reserve Bank of San Francisco. Hutchison, Michael M. and Kathleen McDill (1999). “Are All Banking Crises Alike? The Japanese Experience in International Comparison,” Federal Reserve Bank of San Francisco, Center for Pacific Basin Studies Working Paper PB99-02. IMF (1995). World Economic Outlook, May. Chapter 4: “Financial Crises: Characteristics and Indicators of Vulnerability.” IMF (2011), World Economic Outlook, September Chapter 1: “External Liabilities and Crisis Tipping Points” Isard, Peter, and Hamid Faruqee, (1998), “Exchange Rate Assessment: Extension of the Macroeconomic Balance Approach”, IMF Occasional Paper No. 167 (Washington: International Monetary Fund). Isard, Peter, Russell Kincaid, and Martin Fetherston, (2001), “Methodology for Current Account and Exchange Rate Assessment”, IMF Occasional Paper No. 209 (Washington: International Monetary Fund). Kaminsky, Graciela, Saul Lizondo, and Carmen Reinhart (1998). “Leading Indicators of Currency Crises,” International Monetary Fund Staff Papers, 45, March, 1-48. Krugman, Paul (1979). “A Model of Balance of Payments Crises.” Journal of Money, Credit and Banking, 11, 311-25. Lane, Philip R. and Gian Maria Milesi-Ferretti(2007), ';The External Wealth of Nations Mark II';, Journal of International Economics 73, November, 223-250 Lee, et al (2008), ‘Exchange Rate Assessment: CGER Methodologies’, IMF Occasional Paper No. 261, (Washington: International Monetary Fund). Maddala, G.S. (1983). Limited-Dependent and Qualitative Variables in Econometrics. Cambridge, United Kingdom: Cambridge University Press. McKinnon, Ronald and Huw Pill (1996). “Credible Liberalizations and International Capital Flows. The Overborrowing Syndrome,” in Takatoshi Ito and Anne Krueger (eds.), Financial Regulation and Integration in East Asia, Chicago: University of Chicago Press. McKinnon, Ronald and Huw Pill (1998). “The Overborrowing Syndrome: Are East Asian Economies Different?” in Reuven Glick (ed.), Managing Capital Flows and Exchange Rates Perspectives from the Pacific Basin, Cambridge, United Kingdom: Cambridge University Press. Milesi-Ferretti, G. (1996), ‘Current Account Sustainability’, Princeton Studies in International Finance, No. 81, October. Reserve Bank of India (1993), Report of the High Level Committee on Balance of Payments. Reserve Bank of India, RBI Bulletin, Various Issues. Reserve Bank of India (2012), “RBI Study on Foreign Direct Investment”, April, www.rbi.org.in. Rossi, Marco (1999). “Financial Fragility and Economic Performance in Developing Countries.” IMF Working Paper WP/99/66 (May). Sachs, Jeffrey, Aaron Tornell, and Andres Velasco (1996). “Financial Crises in Emerging Markets. The Lessons from 1995,” Brookings Papers on Economic Activity, No. 1, 147-215. W.E. Griffiths, et al (1993), ‘Learning and Practicing Econometrics’, John Wiley and Sons, New York. Rojas-Suarez, Liliana and Steven Weisbrod (1995). “Financial Fragilities in Latin America: The 1980s and 1990s.” International Monetary Fund Occasional Paper 132. |