DRAFT FOR COMMENTS RBI/2025-26/ DoR.FIN.REC.No./ 00-00-000/2025-26 XX, 2025 Reserve Bank of India (Commercial Banks – Forthcoming Instructions) Directions, 2025 In exercise of the powers conferred by Section 35A the Banking Regulation Act, 1949 (hereinafter called the ‘BR Act’), and all other provisions / laws enabling Reserve Bank of India (‘RBI’) in this regard, RBI being satisfied that it is necessary and expedient in the public interest to do so, hereby issues the Directions hereinafter specified. Chapter I - Preliminary A. Short title and commencement 1. These Directions shall be called the Reserve Bank of India (Commercial Banks – Forthcoming Instructions) Directions, 2025. 2. The effective date of implementation of these Directions shall be communicated separately. B. Applicability 3. These Directions shall be applicable to commercial banks (hereinafter collectively referred to as 'banks' and individually as a 'bank') excluding Small Finance Banks (SFBs), Local Area Banks (LABs), Payments Banks (PBs), and Regional Rural Banks (RRBs). In this context, the commercial bank shall mean all banking companies, corresponding new banks and State Bank of India as defined under subsections (c), (da) and (nc) of section 5 of the Banking Regulation Act,1949. C. Definitions 4. Some definitions have been provided in the respective chapters as per the applicability. 5. All other expressions, unless defined in the corresponding chapter, shall have the same meaning as have been assigned to them under the Reserve Bank of India Act, 1934, or the Banking Regulation Act, 1949, or any statutory modification or re-enactment thereto, or Glossary of Terms published by the RBI, or as used in commercial parlance, as the case may be. D. Scope 6. To align Basel III prudential norms applicable to scheduled commercial banks with the latest standards issued by Basel Committee on Banking Supervision (BCBS), RBI from time to time has issued guidelines / instructions / directives on different aspects of the Basel III standards such as the standardised approach for measuring counterparty credit risk exposures, exposures to Central Counterparties, minimum capital requirements for operational risk, and Interest Rate Risk in Banking Book. The implementation dates for these guidelines, however, have not yet been notified by RBI. Accordingly, these Directions consolidate the guidelines / instructions / directives issued earlier on the aforementioned subjects. Chapter II - Computing Exposure for Counterparty Credit Risk arising from Derivative Transactions A. Standardised Approach for Counterparty Credit Risk (SA-CCR) for computing default risk capital charge 7. The SA-CCR shall be used for computing exposure for default risk capital charge for OTC derivatives (whether centrally cleared or not), exchange-traded derivatives and long settlement transactions. SA-CCR shall not be used for Securities Financing Transactions (SFTs) which are covered under Reserve Bank of India (Commercial Banks – Prudential Norms on Capital Adequacy) Directions, 2025. Explanation: Long settlement transactions are transactions where a counterparty undertakes to deliver a security, or a foreign exchange amount against cash, other financial instruments, or vice versa, at a settlement or delivery date that is contractually specified as more than the lower of the market standard for this particular instrument and five business days after the date on which the bank enters into the transaction. 8. When a bank purchases credit derivative protection against a banking book exposure, or against a counterparty credit risk exposure, it shall determine its capital requirement for the hedged exposure subject to the criteria and general rules for the recognition of credit derivatives, i.e., substitution or double default rules as appropriate. Where these rules apply, the exposure amount for counterparty credit risk from such instruments is zero. The exposure amount for counterparty credit risk is zero for sold credit default swaps in the banking book where they are treated as a guarantee provided by the bank in the framework and subject to a credit risk charge for the full notional amount. 9. Computation of exposure The SA-CCR shall be used for computing Exposure at Default (EAD) for OTC derivatives, exchange-traded derivatives, and long settlement transactions. Exposure shall be calculated separately for each netting set. However, in cases where bilateral netting is not permitted, each and every trade shall be its own netting set. The exposure shall be determined as follows: EAD = 1.4 * (RC + PFE) where: RC = the replacement cost calculated according to methodology given in paragraph 11, and FE = the amount for potential future exposure calculated according to the methodology given in paragraph 12. 10. Determination of netting set (1) Under SA-CCR, determination of netting set is critical in computing EAD as replacement cost shall be calculated at the netting set level, whereas PFE add-ons shall be calculated for each hedging set of an asset class within a given netting set and then aggregated. Explanations: -
A netting set is a group of transactions with a single counterparty that are subject to a legally enforceable bilateral netting arrangement and for which netting is recognised for regulatory capital purposes under the provisions of the requirements under paragraph 21(2). These requirements have to be satisfied on an on-going basis. -
A hedging set is a set of transactions within a single netting set within which partial or full offsetting is recognised for the purpose of computing PFE add-on under these guidelines. (2) A bank may net transactions for the purpose of these Directions (e.g., when determining the RC component of a netting set) subject to novation under which any obligation between a bank and its counterparty to deliver a given currency on a given value date is automatically amalgamated with all other obligations for the same currency and value date, legally substituting one single amount for the previous gross obligations. A bank may also net transactions subject to any legally valid form of bilateral netting not covered in the preceding sentence, including other forms of novation. Wherever netting is applied, a bank shall satisfy that the requirements laid down under paragraph 21(2) are met. (3) Different set of computations for margined and unmargined netting sets: The computation of RC is dependent on whether the trades with a counterparty are subject to a margin agreement or not, i.e., whether the netting set is margined or unmargined. Where a margin agreement exists, the formulation could apply both to bilateral transactions and central clearing relationships. Where collateral other than variation margin (e.g., initial margin) is taken, it is treated as unmargined netting set. Bilateral transactions with a one-way margining agreement in favour of the bank’s counterparty (i.e., where a bank posts, but does not collect collateral) shall be treated as unmargined transactions. The RC and PFE components shall be calculated differently for margined and unmargined netting sets. The EAD for a margined netting set is capped at the EAD of the same netting set calculated on an unmargined basis. Explanation: By margining agreement it is meant that both the counterparties have agreed to exchange periodic variation margins. 11. Computation of Replacement Cost (RC) Computation of RC for unmargined netting sets: (1) For unmargined transactions, RC is defined as the greater of: (a) the current market value of the derivative contracts less net haircut collateral held by the bank (if any), and (b) zero. Mathematically: RC = max {V - C; 0} where: V = the market value of the derivative transactions in the netting set, and C = the haircut value of net collateral held, which is calculated in accordance with the Net Independent Collateral Amount (NICA) methodology defined in paragraph 11(5) below. For this purpose, the value of non-cash collateral posted by the bank to its counterparty is increased and the value of the non-cash collateral received by the bank from its counterparty is decreased using haircuts (which are the same as those that apply to repo-style transactions). (2) Impact of excess collateral held In the above formulation, it is assumed that the RC representing today’s exposure to the counterparty cannot go less than zero. However, a bank sometimes holds excess collateral (even in the absence of a margin agreement) or have out-of-the-money trades which can further protect the bank from the increase of the exposure. Such over-collateralisation and negative mark-to market value shall be allowed to reduce PFE but shall not affect RC. Computation of RC for margined netting sets: (3) The RC for margined transactions in the SA-CCR is defined as the greatest exposure that would not trigger a call for Variation Margin (VM), taking into account the mechanics of collateral exchanges in margining agreements. Such mechanics include, for example, ‘Threshold’, ‘Minimum Transfer Amount’ and ‘Independent Amount’ in the standard industry documentation, which are factored into a call for VM. A defined, generic formulation has been created to reflect the variety of margining approaches used and those being considered by supervisors internationally. Explanation: For example, in the ISDA Master Agreement, the term ‘Credit Support Amount’, or the overall amount of collateral that must be delivered between the parties, is defined as the greater of (a) the Secured Party’s Exposure plus the aggregate of all Independent Amounts applicable to the Pledger minus all Independent Amounts applicable to the Secured Party, minus the Pledger’s Threshold and (b) zero. (4) Independent Collateral Amount (ICA) represents (a) collateral (other than VM) posted by the counterparty that the bank may seize upon default of the counterparty, the amount of which does not change in response to the value of the transactions it secures and / or (b) the Independent Amount (IA) parameter as defined in standard industry documentation. ICA can change in response to factors such as the value of the collateral or a change in the number of transactions in the netting set. (5) Because both a bank and its counterparty may be required to post ICA, NICA describes the amount of collateral that a bank may use to offset its exposure on the default of the counterparty. NICA does not include collateral that a bank has posted to a segregated, bankruptcy remote account, which presumably would be returned upon the bankruptcy of the counterparty. That is, NICA represents any collateral (segregated or unsegregated) posted by the counterparty less the unsegregated collateral posted by the bank. With respect to IA, NICA takes into account the differential of IA required for the bank minus IA required for the counterparty. (6) For margined trades, the replacement cost is: RC=max {V - C; TH+ MTA-NICA; 0} where, V and C are as defined in the unmargined formulation, TH = positive threshold before the counterparty must send the bank collateral, and MTA = minimum transfer amount applicable to the counterparty. (7) TH + MTA – NICA represents the largest exposure that would not trigger a VM call, and it contains levels of collateral that need always to be maintained. For example, without initial margin or IA, the greatest exposure that would not trigger a variation margin call is the threshold plus any minimum transfer amount. In the adapted formulation, NICA is subtracted from TH + MTA. This makes the calculation more accurate by fully reflecting both the actual level of exposure that would not trigger a margin call and the effect of collateral held and / or posted by a bank. The calculation is floored at zero, recognising that the bank may hold NICA in excess of TH + MTA, which could otherwise result in a negative replacement cost. 12. Computation of PFE add-ons (1) The following steps shall be followed for calculation of PFE of a netting set: -
Allocate derivative trades to asset classes -
Within each asset class, the trades to hedging sets -
For every derivative trade, calculate the effective notional based on parameters of that trade -
Calculate hedging set level PFE add-ons using effective notionals and supervisory factors -
Aggregate add-ons across all hedging sets and asset classes within the netting set (2) The PFE add-on shall therefore be multiplication of an aggregate add-on component, which consists of add-ons calculated for each asset class, and a multiplier that allows for the recognition of excess collateral or negative mark-to market value for the transactions. Mathematically: PFE= multiplier * AddOnaggregate where: AddOnaggregate = the aggregate add-on component, and multiplier = function of three inputs: V, C and AddOnaggregate Computation of multiplier (3) In cases where a bank holds collateral greater than the net market value of the derivatives contracts, this shall be allowed to reduce PFE add-on. Excess collateral may reduce the RC component of the exposure under the SA-CCR for both margined as well as unmargined trades / netting sets. The PFE component also reflects the risk-reducing property of excess collateral. (4) A multiplier to the PFE component shall be applied that decreases as excess collateral increases, without reaching zero (the multiplier is floored at 5% of the PFE add-on). When the collateral held is less than the net market value of the derivative contracts (‘under-collateralisation’), the current RC is positive and the multiplier is equal to one (i.e., the PFE component is equal to the full value of the aggregate add-on). Where the collateral held is greater than the net market value of the derivative contracts (‘over-collateralisation’), the current RC is zero and the multiplier is less than one (i.e., the PFE component is less than the full value of the aggregate add-on). (5) This multiplier shall also be activated when the current value of the derivative transactions is negative. This is because out-of-the-money transactions do not currently represent an exposure and have less chance to go in-the-money. Mathematically: where: exp (…) = exponential function, floor = 5%, V = value of the derivative transactions in the netting set, and C = the haircut value of net collateral held. Aggregation across asset classes (6) Diversification benefits across asset classes are not recognised. Instead, the respective add-ons for each asset class are simply aggregated. Mathematically: where the sum of each asset class add-on is taken. Allocation of derivative transactions to one or more asset classes (7) The designation of a derivative transaction to an asset class is to be made on the basis of its primary risk driver, that is, the market risk factor that most significantly affects its mark to market value. Most derivative transactions have one primary risk driver, defined by its reference underlying instrument (e.g., an interest rate curve for an interest rate swap, a reference entity for a credit default swap, a foreign exchange rate for a FX call option, etc.). When this primary risk driver is clearly identifiable, the transaction will fall into one of the asset classes described above. (8) Following table provides examples of the asset class allocation for a selection of derivative trades: | Table 1 | | Derivative Transaction | Primary Risk Driver | Asset Class | | Interest Rate Swap | Interest rate curve | Interest rate | | FX call option | FX rate | FX | | Credit Default Swap | Credit of reference entity | Credit | (9) For more complex trades that may have more than one risk driver (e.g. multi-asset or hybrid derivatives), a bank shall take sensitivities and volatility of the underlying into account for determining the primary risk driver. (10) In most cases, transactions will be assigned to only one asset class. However, RBI may also require more complex trades to be allocated to more than one asset class, resulting in the same position being included in multiple classes. In this case, for each asset class to which the position is allocated, a bank shall determine appropriately the sign and delta adjustment of the relevant risk driver. Allocation of derivative trades within asset class to hedging sets (11) Once derivative trades are assigned to asset classes, the next step is to allocate them to hedging sets. Offsetting across different hedging sets is not permitted under the SA-CCR. Offsetting is also not permitted in those cases where transactions are not covered under legally enforceable bilateral netting agreements. In such cases, each non-centrally cleared OTC derivative transaction shall be a netting set of its own. (12) The number of hedging sets available within an asset class, and the degree to which offsetting is allowed, varies across the different asset classes. This is required to account for differences in correlations between transactions within an asset class and basis risk. The table below details the hedging sets for each of the three asset classes: | Table 2 | | Asset Class | Number and Definition of Hedging Sets | | Interest Rate | A separate hedging set for transactions referencing the same currency | | FX | A separate hedging set for transactions referencing the same currency pair | | Credit | A single hedging set for all transactions in a netting set | General steps for calculating the add-on (13) For each transaction, the primary risk factor or factors shall be determined and attributed to one or more of the five asset classes: interest rate, foreign exchange, and credit. The add-on for each asset class shall be calculated using asset-class specific formulas. Although the add-on formulas are asset class-specific, they have a number of features in common. To determine the add-on, transactions in each asset class are subject to adjustment in the following general steps: -
an adjusted notional amount based on actual notional, or price shall be calculated at the trade level. For interest rate and credit derivatives, this adjusted notional amount also incorporates a supervisory measure of duration; -
a maturity factor MFi(type) reflecting the time horizon appropriate for the type of transaction is calculated at the trade level [refer paragraph below for details] and shall be applied to the adjusted notional. Two types of maturity factor are defined, one for margined transactions (MFi(margined)) and one for unmargined transactions (MFi(unmargined)); -
a supervisory delta adjustment shall be made to this trade-level adjusted notional amount based on the position (long or short) and whether the trade is an option, CDO tranche or neither, resulting in an effective notional amount; -
a supervisory factor shall be applied to each effective notional amount to reflect volatility; and -
the trades within each asset class shall be separated into hedging sets and an aggregation method shall be applied to aggregate all the trade-level inputs at the hedging set level and finally at the asset-class level. For credit derivatives, this shall involve the application of a supervisory correlation parameter to capture important basis risks and diversification. Each of the above steps is described, generally and by asset class, in more detail in below paragraphs. Period or date parameters: Mi, Ei, Si and Ti There are four dates that appear in the computation of PFE: (14) For all asset classes, the maturity Mi of a contract is the latest date when the contract may still be active. This date appears in the maturity factor defined in paragraph 12(14) to paragraph 12(18), that scales down adjusted notional for unmargined trades for all asset classes. If a derivative contract has another derivative contract as its underlying (e.g., a swaption) and may be physically exercised into the underlying contract (i.e., a bank would assume a position in the underlying contract in the event of exercise), then maturity of the contract is the final settlement date of the underlying derivative contract. (15) For interest rate and credit derivatives, the start date Si of the time period referenced by an interest rate or credit contract. If the derivative references the value of another interest rate or credit instrument (e.g., swaption or bond option), the time period must be determined on the basis of the underlying instrument. This date appears in the definition of supervisory duration in paragraph 12(19). (16) For interest rate and credit derivatives, the end date Ei of the time period referenced by an interest rate or credit contract. If the derivative references the value of another interest rate or credit instrument (e.g., swaption or bond option), the time period shall be determined on the basis of the underlying instrument. This date appears in the definition of supervisory duration in paragraph 12(19) and also specifies the maturity category for an interest rate contract in paragraph 12(32)12(33). (17) For options in all asset classes, the latest contractual exercise date Ti as referenced by the contract. This period shall be used for the determination of the option delta in paragraph 12(21). (18) Table 3 includes example transactions and provides each transaction’s related maturity Mi, start date Si and end date Ei. In addition, the option delta in paragraph 12(21) depends on the latest contractual exercise date Ti (not separately shown in the table). | Table 3 | | Instrument | Mi | Si | Ei | | Interest rate or credit default swap maturing in 10 years | 10 years | 0 | 10 years | | 10-year interest rate swap, forward starting in 5 years | 15 years | 5 years | 15 years | | Forward rate agreement for time period starting in 6 months and ending in 12 months | 1 year | 0.5 year | 1 year | | Cash-settled European swaption referencing 5-year interest rate swap with exercise date in 6 months | 0.5 year | 0.5 year | 5.5 years | | Physically settled European swaption referencing 5year interest rate swap with exercise date in 6 months | 5.5 years | 0.5 year | 5.5 years | | 10-year Bermudan swaption with annual exercise dates | 10 years | 1 year | 10 years | | Interest rate cap or floor specified for semi-annual interest rate with maturity 5 years | 5 years | 0 | 5 years | | Option on a bond maturing in 5 years with the latest exercise date in 1 year | 1 year | 1 year | 5 years | | 3-month Eurodollar futures that matures in 1 year | 1 year | 1 year | 1.25 years | | Futures on 20-year treasury bond that matures in 2 years | 2 years | 2 years | 22 years | | 6-month option on 2-year futures on 20-year treasury bond | 2 years | 2 years | 22 years | Trade-level adjusted notional (for trade i of asset class a): di (a) (19) These parameters are defined at the trade level and take into account both the size of a position and its maturity dependency, if any. Specifically, the adjusted notional amounts shall be calculated as follows: (i) For interest rate and credit derivatives, the trade-level adjusted notional is the product of the trade notional amount, converted to the domestic currency, and the supervisory duration SDi which is given by the following formula: where: Si and Ei = the start and end dates, respectively, of the time period referenced by the interest rate or credit derivative (or, where such a derivative reference the value of another interest rate or credit instrument, the time period determined on the basis of the underlying instrument), floored by ten business days. If the start date has occurred (e.g., an on-going interest rate swap), Si shall be set to zero. Explanation: There is a distinction between the time period of the underlying transaction and the remaining maturity of the derivative contract. For example, a European interest rate swaption with expiry of 1 year and the term of the underlying swap of 5 years has Si = 1 year and Ei = 6 years. (ii) For foreign exchange derivatives, the adjusted notional is defined as the notional of the foreign currency leg of the contract, converted to the domestic currency. If both legs of a foreign exchange derivative are denominated in currencies other than the domestic currency, the notional amount of each leg is converted to the domestic currency and the leg with the larger domestic currency value is the adjusted notional amount. (20) In many cases the trade notional amount is stated clearly and fixed until maturity. When this is not the case, a bank shall use the following rules to determine the trade notional amount. -
For transactions with multiple payoffs that are state contingent such as digital options or target redemption forwards, a bank shall calculate the trade notional amount for each state and use the largest resulting calculation. -
Where the notional is a formula of market values, the bank shall enter the current market values to determine the trade notional amount. -
For variable notional swaps such as amortising and accreting swaps, a bank shall use the average notional over the remaining life of the swap as the trade notional amount. -
Leveraged swaps shall be converted to the notional of the equivalent unleveraged swap, that is, where all rates in a swap are multiplied by a factor, the stated notional shall be multiplied by the factor on the interest rates to determine the trade notional amount. -
For a derivative contract with multiple exchanges of principal, the notional is multiplied by the number of exchanges of principal in the derivative contract to determine the trade notional amount. -
For a derivative contract that is structured such that on specified dates any outstanding exposure is settled and the terms are reset so that the fair value of the contract is zero, the remaining maturity equals the time until the next reset date. Supervisory delta adjustments: δi (21) These parameters are also defined at the trade level and are applied to the adjusted notional amounts to reflect the direction of the transaction and its nonlinearity. More specifically, the delta adjustments for all derivatives are defined as follows: Explanations: (i) ‘Long in the primary risk factor’ means that the market value of the instrument increases when the value of the primary risk factor increases. (ii) ‘Short in the primary risk factor’ means that the market value of instrument decreases when the value of the primary risk factor increases. (iii) The symbol Φ in these equations represents the standard normal cumulative distribution function. (22) A bank shall ensure that delta adjustment under negative sign for short positions are relevant only for those transactions which are within the legally enforceable netting agreements. For those transactions which are not covered under such a netting agreement, the delta adjustment will be positive in all cases, i.e., for both long and short positions. Supervisory factors: SFi(a) (23) A factor or factors specific to each asset class is used to convert the effective notional amount into Effective Expected Positive Exposure (EPE) based on the measured volatility of the asset class. Each factor has been calibrated to reflect the Effective EPE of a single at-the-money linear trade of unit notional and one-year maturity. This includes the estimate of realised volatilities assumed by RBI for each underlying asset class. The Supervisory Factors have been provided in paragraph 12(44). Hedging sets (24) The hedging sets in the different asset classes are defined as follows, except for those described in paragraph 12(25) and paragraph 12(26) below. -
Interest rate derivatives consist of a separate hedging set for each currency; -
FX derivatives consist of a separate hedging set for each currency pair; -
Credit derivatives consist of a single hedging set; 25. Derivatives that reference the basis between two risk factors and are denominated in a single currency (basis transactions) shall be treated within separate hedging sets within the corresponding asset class. There is a separate hedging set for each pair of risk factors (i.e., for each specific basis). Examples of specific bases include three-month SOFR versus six-month SOFR, three-month SOFR versus three-month T-Bill, one-month SOFR versus OIS rate, Brent Crude oil versus Henry Hub gas. For hedging sets consisting of basis transactions, the supervisory factor applicable to a given asset class shall be multiplied by one-half. Explanation: Derivatives with two floating legs that are denominated in different currencies (such as cross-currency swaps) are not subject to this treatment; rather, they should be treated as non-basis foreign exchange contracts (26) Derivatives that reference the volatility of a risk factor (volatility transactions) shall be treated within separate hedging sets within the corresponding asset class. Volatility hedging sets shall follow the same hedging set construction outlined in paragraph 12(24). Examples of volatility transactions include variance and volatility swaps, options on realised or implied volatility. For hedging sets consisting of volatility transactions, the supervisory factor applicable to a given asset class shall be multiplied by a factor of five. Time Risk Horizons (27) The minimum time risk horizons for the SA-CCR include: The lesser of one year and remaining maturity of the derivative contract for unmargined transactions, floored at ten business days. Therefore, the adjusted notional at the trade level of an unmargined transaction shall be multiplied by a Maturity Factor (MF): where Mi = the transaction i remaining maturity floored by 10 business days. Explanation: Within a hedging set, long and short positions are determined with respect to the basis (28) For margined transactions, the minimum margin period of risk is determined as follows: -
At least ten business days for non-centrally cleared derivative transactions subject to daily margin agreements. For transactions having re-margining agreements of N days, margin period of risk shall be 10+N-1. -
Five business days for centrally cleared derivative transactions subject to daily margin agreements that clearing members have with their clients. -
20 business days for netting sets consisting of 5,000 transactions that are not with a central counterparty. -
Margin period of risk (MPOR) shall be doubled for netting sets with outstanding disputes. If a bank has experienced more than two margin call disputes on a particular netting set over the previous two quarters and these disputes have lasted longer than the applicable MPOR, the MPOR to be used is double the applicable minimum MPOR. (29) Therefore, the adjusted notional for margined netting sets at the trade level of a margined transaction shall be multiplied by: where MPORi is the margin period of risk appropriate for the margin agreement containing the transaction i. Supervisory correlation parameters: ρi(a) 30) These parameters only apply to the PFE add-on calculation for credit derivatives. For credit derivatives, the supervisory correlation parameters are derived from a single-factor model and specify the weight between systematic and idiosyncratic components. This weight determines the degree of offset between individual trades, recognising that imperfect hedges provide some, but not perfect, offset. Supervisory correlation parameters do not apply to interest rate and foreign exchange derivatives. Add-on for interest rate derivatives (31) Hedging sets within the interest rate asset class are formed by grouping all trades referencing interest rates of the same currency. For example, all trades referencing INR will form a single hedging set. The supervisory factor as given in table 6 is 0.5% for entire interest rate asset class. (32) The PFE for each hedging set shall be equal to multiplication of SF and effective notional. The computation of effective notional captures the risk of interest rate derivatives of different maturities being imperfectly correlated. To address this risk, interest rate derivatives shall be divided into maturity categories (also referred to as ‘buckets’) based on the end date [as described in paragraph 12(16) to paragraph 12(18)] of the transactions. The three relevant maturity categories are: less than one year, between one and five years and more than five years. The SA-CCR allows full recognition of offsetting positions within a maturity category. Across maturity categories, the SA-CCR recognises partial offset. 33) The add-on for interest rate derivatives is the sum of the add-ons for each hedging set of interest rates derivatives transacted with a counterparty in a netting set. The add-on for a hedging set of interest rate derivatives shall be calculated in two steps. The effective notional Djk(IR) shall be calculated for time bucket k of hedging set (i.e., currency) j according to: Where notation iϵ{Ccyj, MBk} refers to trades of currency j that belong to maturity bucket k. That is, the effective notional for each time bucket and currency is the sum of the trade-level adjusted notional amounts [cf. paragraph 12(19)] multiplied by the supervisory delta adjustments [cf. paragraph 12(21) to paragraph 12(22)] and the maturity factor [cf. paragraph 12(27)12(28) to 12(29)]. (ii) Aggregation across maturity buckets for each hedging set shall be calculated according to the following formula: (34) However, for transactions which are not covered under bilateral netting agreements, there would be no recognition of offset across maturity buckets. In this case or in cases where a bank does not choose to recognise offset across maturity buckets, the relevant formula shall be: (35) The hedging set level add-on is calculated as the product of the effective notional and the interest rate supervisory factor: Aggregation across hedging sets is performed via simple summation: Add-on for foreign exchange derivatives (36) Hedging sets within the foreign currency asset class are formed by grouping all trades referencing the same FX currency pair. For instance, INR/USD, INR/EUR or INR/GBP trades will each form their own hedging set. The ordering of the currency pair is not relevant and so INR/USD and USD/INR transactions fall within the same hedging set. The add-on formula for foreign exchange derivatives shares many similarities with the add-on formula for interest rates. Similar to interest rate derivatives, the effective notional of a hedging set is defined as the sum of all the trade-level adjusted notional amounts multiplied by their supervisory delta. The addon for a hedging set is the product of the absolute value of its effective notional amount and the supervisory factor (same for all FX hedging sets). (37) In the case of foreign exchange derivatives, the adjusted notional amount is maturity-independent and given by the notional of the foreign currency leg of the contract, converted to the domestic currency. Mathematically: where the sum is taken over all the hedging sets HSj included in the netting set. (38) The add-on and the effective notional of the hedging set HSj are respectively given by: where i ∈HS j refers to trades of hedging set HSj. That is, the effective notional for each currency pair is the sum of the trade-level adjusted notional amounts [cf. paragraph 12(19)] multiplied by the supervisory delta adjustments [cf. paragraph 12(21) to paragraph 12(22)] and the maturity factor [cf. paragraph 12(27)12(28) to 12(29)]. In cases where transactions are not covered under legally enforceable bilateral netting agreements, the supervisory delta adjustment for linear transactions shall be positive 1 and shall invariably be positive for all non-linear transactions. Add-on for credit derivatives (39) There are two levels of offsetting benefits for credit derivatives. First, all credit derivatives referencing the same entity (either a single entity or an index) are allowed to offset each other fully to form an entity-level effective notional amount: where i ∈ Entityk refers to trades of entity k. That is, the effective notional for each entity is the sum of the trade-level adjusted notional amounts multiplied by the supervisory delta adjustments and the maturity factor. However, whenever these credit derivatives are not covered under legally enforceable Bilateral netting agreement, the supervisory delta adjustment shall be positive 1 for all transactions. (40) The add-on for all the positions referencing this entity is defined as the product of its effective notional amount and the supervisory factor SFk(Credit), ie:  For single name entities, SFk(Credit) is determined by the reference name’s credit rating. For index entities, SFk(Credit) is determined by whether the index is investment grade or speculative grade. Second, all the entity-level add-ons are simply added to compute the total add-on for the credit derivatives. However, in cases where these credit derivatives are covered by a legally enforceable bilateral netting agreement, they shall be grouped within a single hedging set (except for basis and volatility transactions) in which partial offsetting between two different entity-level add-ons is permitted. For this purpose, a single-factor model has been used to allow partial offsetting between the entity-level add-ons by dividing the risk of the credit derivatives asset class into a systematic component and an idiosyncratic component. (41) The entity-level add-ons are allowed to offset each other fully in the systematic component; whereas, there is no offsetting benefit in the idiosyncratic component. These two components are weighted by a correlation factor which determines the degree of offsetting / hedging benefit within the credit derivatives asset class. The higher the correlation factor, the higher the importance of the systemic component, hence the higher the degree of offsetting benefits. Derivatives referencing credit indices are treated as though they were referencing single names, but with a higher correlation factor applied. Mathematically: where ρk (Credit) represents appropriate correlation factor corresponding to the entity k. (42) A higher or lower correlation does not necessarily mean a higher or lower capital charge. For portfolios consisting of long and short credit positions, a high correlation factor would reduce the charge. For portfolios consisting exclusively of long positions (or short positions), a higher correlation factor would increase the charge. If most of the risk consists of systematic risk, then individual reference entities would be highly correlated and long and short positions should offset each other. If, however, most of the risk is idiosyncratic to a reference entity, then individual long and short positions would not be effective hedges for each other. (43) The use of a single hedging set for credit derivatives implies that credit derivatives from different industries and regions are equally able to offset the systematic component of an exposure, although they would not be able to offset the idiosyncratic portion. This approach recognises that meaningful distinctions between industries and / or regions are complex and difficult to analyse for global conglomerates. Specification of supervisory parameters Supervisory Factors (SF) and Option Volatility Factors: (44) Supervisory Factors (SFs) are an additional set of trade-level parameters used in the calculation of the PFE add-ons. These factors are intended to capture the potential fluctuations in the exposure value of a derivative trade stemming from the volatility of the primary risk factor. SFs are applied to the effective notional of individual transactions. SFs prescribed are as follows: | Table 6 | | Asset Class | Sub-Class | SF | Correlation parameter | Option Volatility Factor | | Interest Rate | | 0.50% | - | 50% | | Foreign Exchange | | 4.00% | - | 15% | | Credit, Single Name | AAA | 0.38% | 50% | - | | AA | 0.38% | 50% | - | | A | 0.42% | 50% | - | | BBB | 0.54% | 50% | - | | BB | 1.06% | 50% | - | | B | 1.60% | 50% | - | | CCC | 6.00% | 50% | - | | Credit, Index | Investment Grade | 0.38% | 80% | - | | Speculative | 1.06% | 80% | - | (45) For a basis transaction hedging set, the supervisory factor applicable to its relevant asset class shall be multiplied by one-half. For a volatility transaction hedging set, the supervisory factor applicable to its relevant asset class shall be multiplied by a factor of five. (46) For sold options, which are outside netting and margin agreements, the exposure amount can be taken as zero. 13. Treatment of multiple margin agreements and multiple netting sets (1) The netting set shall be divided into sub-netting sets that align with their respective margin agreement. This treatment applies to both RC and PFE components. (2) If a single margin agreement applies to several netting sets, replacement cost at any time shall be determined by the sum of two terms. The first term shall be equal to the unmargined current exposure of the bank to the counterparty aggregated across all netting sets within the margin agreement reduced by positive current net collateral (i.e. collateral is subtracted only when bank is a net holder of collateral). The second term shall be non-zero only when the bank is net poster of collateral: it shall be equal to the current net posted collateral (if there is any) reduced by the unmargined current exposure of the counterparty to the bank aggregated across all netting sets within the margin agreement. Net collateral available to the bank shall include both VM and NICA. RC for the entire margin agreement shall be: where: summation NS ∈ MA is across the netting sets covered by the margin agreement (hence the notation), VNS = the current mark to market value of the netting set NS, and CMA = the cash equivalent of all currently available collateral under the margin agreement. Chapter III – Capital Requirement for Exposures to Central Counterparties (CCPs) A. Scope of Application 14. Exposures to Central Counterparties (CCPs) arising from OTC derivatives transactions, exchange traded derivatives transactions, SFTs and long settlement transactions shall be subject to the counterparty credit risk treatment as indicated in the paragraphs below. 15. Exposures arising from the settlement of cash transactions (equities, fixed income, spot FX, commodity, etc.) are not subject to this treatment. The settlement of cash transactions remains subject to the treatment described in Reserve Bank of India (Commercial Banks - Prudential Norms on Capital Adequacy) Directions, 2025. 16. When the clearing member bank-to-client bank leg of an exchange traded derivatives transaction is conducted under a bilateral agreement, both the client bank and the clearing member bank shall capitalise that transaction as an OTC derivative. 17. For the purpose of capital adequacy framework, a CCP shall be considered as a financial institution. Accordingly, a bank’s investments in the capital of CCPs shall be guided in terms of Reserve Bank of India (Commercial Banks - Prudential Norms on Capital Adequacy) Directions, 2025. 18. Capital requirements shall be dependent on the nature of CCPs, viz., Qualifying CCPs (QCCPs) and non-Qualifying CCPs. A Qualifying CCP has been defined in Reserve Bank of India (Commercial Banks - Prudential Norms on Capital Adequacy) Directions, 2025. -
Regardless of whether a CCP is classified as a QCCP or not, a bank retains the responsibility to ensure that it maintains adequate capital for its exposures. -
Under Pillar 2, a bank should consider whether it might need to hold capital in excess of the minimum capital requirements if, for example, (i) its dealings with a CCP give rise to more risky exposures or (ii) where, given the context of that bank’s dealings, it is unclear that the CCP meets the definition of a QCCP. -
A bank may be required to hold additional capital against its exposures to QCCPs via Pillar 2, if in the opinion of RBI, it is necessary to do so. -
Where a bank is acting as a clearing member, the bank shall assess through appropriate scenario analysis and stress testing whether the level of capital held against exposures to a CCP adequately addresses the inherent risks of those transactions. This assessment shall include potential future or contingent exposures resulting from future drawings on default fund commitments, and / or from secondary commitments to take over or replace offsetting transactions from clients of another clearing member in case of this clearing member defaulting or becoming insolvent. -
A bank shall monitor and report to senior management and the appropriate committee of the Board (e.g., Risk Management Committee) on a regular basis (quarterly or at more frequent intervals) all of its exposures to CCPs, including exposures arising from trading through a CCP and exposures arising from CCP membership obligations such as default fund contributions. -
Unless Reserve Bank (DoR) requires otherwise, the trades with a former QCCP shall continue to be capitalised as though they are with a QCCP for a period not exceeding three months from the date it ceases to qualify as a QCCP. After that time, the bank’s exposures with such a central counterparty shall be capitalised according to rules applicable for non-QCCP. B. Exposures to QCCPs 19. Trade exposures Clearing member exposures to QCCPs (1) Where a bank acts as a clearing member of a QCCP for its own purposes, a risk weight of two percent shall be applied to the bank’s trade exposure to the QCCP in respect of OTC derivatives transactions, exchange traded derivatives transactions, SFTs and long settlement transactions. Where the clearing member offers clearing services to clients, the two percent risk weight also applies to clearing members’ trade exposure to the CCP that arises when the clearing member is obligated to reimburse the client for any losses suffered due to changes in the value of its transactions in the event that CCP defaults. The risk weight applied to collateral posted to the CCP by the bank shall be determined in accordance with paragraphs under treatment of collateral posted. (2) The exposure amount for such trade exposure shall be calculated in accordance with the Standardised Approach for Counterparty Credit Risk (SA-CCR) for derivatives and rules as applicable for capital adequacy for Repo / Reverse Repo-style transactions. For this purpose, a minimum margin period of risk of 10 days has to be used for computation of trade exposures to CCPs for OTC derivatives. Where CCPs retain variation margin against certain trades and the collateral given is not protected against the insolvency of the CCP, the minimum time risk horizon applied to banks’ trade exposures on this trade shall be the lesser of one year and the remaining maturity of the transactions, with a floor of 10 business days. (3) Where settlement is legally enforceable on a net basis in an event of default and regardless of whether the counterparty is insolvent or bankrupt, the total replacement cost of all contracts relevant to the trade exposure determination can be calculated as a net replacement cost if the applicable close-out netting sets meet the requirements set out in paragraph 21. (4) A bank shall demonstrate that the conditions mentioned in paragraph 21 are fulfilled on an ongoing basis by obtaining independent and reasoned legal opinion as regards legal certainty of netting of exposures to QCCPs. A bank shall also obtain from the QCCPs, the legal opinion taken by the respective QCCPs on the legal certainty of their major activities such as settlement finality, netting, collateral arrangements (including margin arrangements); default procedures etc. If a bank cannot demonstrate that netting agreements meet these requirements, each single transaction shall be regarded as a netting set of its own for the calculation of trade exposure. Clearing member bank exposures to clients (5) The clearing member shall always capitalise its exposure (including potential CVA risk exposure) to clients as bilateral trades, irrespective of whether the clearing member guarantees the trade or acts as an intermediary between the client and the QCCP. However, to recognize the shorter close-out period for cleared transactions, clearing members can capitalize the exposure to their clients by applying a margin period of risk of at least five days while computing the trade exposure using the SA-CCR. (6) If a clearing member collects collateral from a client for client cleared trades and this collateral is passed on to the CCP, the clearing member shall recognise this collateral for both the CCP-clearing member leg and the clearing member-client leg of the client cleared trade. Therefore, initial margin posted by clients to their clearing member mitigates the exposure the clearing member has against these clients. The same treatment applies, in an analogous fashion, to multi-level client structures (between a higher level client and a lower level client). (7) For this purpose, a multi-level client structure is one in which a bank can centrally clear as indirect clients; that is, when clearing services are provided to the bank by an institution which is not a direct clearing member but is itself a client of a clearing member or another clearing client. For exposures between clients and clients of clients, these guidelines use the term ‘higher level client’ for the institution providing clearing services; and the term ‘lower level client’ for the institution clearing through that client. Client bank exposures to clearing member (8) Where a bank is a client of the clearing member, and enters into a transaction with the clearing member acting as a financial intermediary (i.e. the clearing member completes an offsetting transaction with a QCCP), the client’s exposures to the clearing member shall receive the treatment applicable to the paragraph 19(1) to 19(4) on ‘clearing member exposure to QCCPs’, if following conditions are met. Likewise, where a client enters into a transaction with the CCP, with a clearing member guaranteeing its performance, the client’s exposures to the CCP may receive the treatment mentioned in the paragraph 19(1) to 19(4) on ‘clearing member exposure to QCCPs’, if conditions below are met. This treatment shall also be applicable to exposures of lower level clients to higher level clients, provided that for client levels in between the conditions below are met. (i) The offsetting transactions are identified by the QCCP as client transactions and collateral to support them is held by the QCCP and / or the clearing member, as applicable, under arrangements that prevent any losses to the client due to: -
the default or insolvency of the clearing member; -
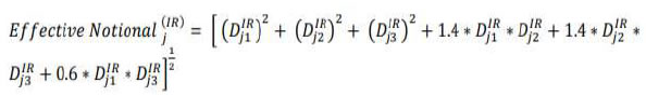
the default or insolvency of the clearing member’s other clients; and -
the joint default or insolvency of the clearing member and any of its other clients. That is, upon the insolvency of the clearing member, there is no legal impediment (other than the need to obtain a court order to which the client is entitled) to the transfer of the collateral belonging to clients of a defaulting clearing member to the CCP, to one or more other surviving clearing members or to the client or the client’s nominee. (ii) The client shall have conducted a sufficient legal review (and undertake such further review as necessary to ensure continuing enforceability) and have a well-founded basis to conclude that, in the event of legal challenge, the relevant courts and administrative authorities would find that such arrangements mentioned above would be legal, valid, binding and enforceable under the relevant laws of the relevant jurisdiction(s). (iii) Relevant laws, regulations, rules, contractual, or administrative arrangements provide that the offsetting transactions with the defaulted or insolvent clearing member are highly likely to continue to be indirectly transacted through the QCCP, or by the QCCP, should the clearing member default or become insolvent. In such circumstances, the client positions and collateral with the QCCP shall be transferred at the market value unless the client requests to close out the position at the market value. (iv) Where a client is not protected from losses in the case that the clearing member and another client of the clearing member jointly default or become jointly insolvent, but all other conditions mentioned above are met and the concerned CCP is a QCCP, a risk weight of four percent shall apply to the client’s exposure to the clearing member. (v) Where the client bank does not meet the requirements in the above paragraphs, the bank shall be required to capitalize its exposure (including potential CVA risk exposure) to the clearing member as a bilateral trade. Treatment of posted collateral (9) In all cases, any assets or collateral posted shall, from the perspective of the bank posting such collateral, receive the risk weights that otherwise applies to such assets or collateral under the capital adequacy framework, regardless of the fact that such assets have been posted as collateral. Thus, collateral posted from banking book shall receive Banking book treatment and collateral posted from Trading book shall receive trading book treatment. In addition, this collateral is subject to the counterparty credit risk framework of the Basel rules, regardless of whether it is in the Banking Book or Trading Book. This includes the increase due to haircuts under either the standardised supervisory haircuts or own estimates. Where assets or collateral of a clearing member or client are posted with a QCCP or a clearing member and are not held in a bankruptcy remote manner, the bank posting such assets or collateral shall also recognise credit risk based upon the assets or collateral being exposed to risk of loss based on the creditworthiness of the entity holding such assets or collateral. Where the entity holding such assets or collateral is the QCCP, a risk-weight of two percent applies to collateral included in the definition of trade exposures. The relevant risk-weight of the QCCP shall apply to assets or collateral posted for other purposes. Collateral posted which is not held in the bankruptcy remote manner shall be accounted for in NICA while computing exposure using SA-CCR. (10) Collateral posted by the clearing member (including cash, securities, other pledged assets, and excess initial or variation margin, also called over-collateralisation), that is held by a custodian, and is bankruptcy remote from the QCCP, shall not be subject to a capital requirement for counterparty credit risk exposure to such bankruptcy remote custodian. Explanation: The word ‘custodian’ may include a trustee, agent, pledgee, secured creditor or any other person that holds property in a way that does not give such person a beneficial interest in such property and will not result in such property being subject to legally-enforceable claims by such persons, creditors, or to a court-ordered stay of the return of such property, should such person become insolvent or bankrupt. (11) Collateral posted by a client bank, that is held by a custodian, and is bankruptcy remote from the QCCP, the clearing member bank and other client banks, is not subject to a capital requirement for counterparty credit risk. If the collateral is held at the QCCP on a client’s behalf and is not held on a bankruptcy remote basis, a two percent risk weight shall be applied to the collateral if the conditions established in paragraph 19 (8) on ‘client bank exposures to clearing members’ are met. A risk weight of four percent shall be made applicable if a client is not protected from losses in the case that the clearing member and another client of the clearing member jointly default or become jointly insolvent, but all other conditions mentioned in paragraph 19 (8) on ‘client bank exposures to clearing members’ are met. If none of these requirements are fulfilled, capital requirements for the collateral posted shall be as applicable to an exposure to CCPs not covered under clearing exposure. Default Fund Exposures to QCCPs (12) Where a default fund is shared between products or types of business with only settlement risk (e.g., equities and bonds) and products or types of business which give rise to counterparty credit risk i.e., OTC derivatives, exchange-traded derivatives, SFTs or long settlement transactions, all of the default fund contributions shall receive the risk weight determined according to the formulae and methodology set forth below, without apportioning to different classes or types of business or products. However, where the default fund contributions from clearing members are segregated by product types and only accessible for specific product types, the capital requirements for those default fund exposures determined according to the formulae and methodology set forth below shall be calculated for each specific product giving rise to counterparty credit risk. In case the CCP’s prefunded own resources are shared among product types, the CCP shall have to allocate those funds to each of the calculations, in proportion to the respective product specific exposure. (13) Clearing member bank shall apply a risk weight to its default fund contributions to a QCCP determined according to a risk sensitive formula that considers (1) the size and quality of a qualifying CCP’s financial resources, (2) the counterparty credit risk exposures of such CCP, and (3) the application of such financial resources via the CCP’s loss bearing waterfall, in the case of one or more clearing member defaults. The clearing member bank’s risk sensitive capital requirement for its default fund contribution (KCMi) shall be calculated using the formulae and methodology set forth below. This calculation shall be performed by the QCCP by following the relevant provisions of this section, and the accuracy and integrity of the computation shall be reviewed by the concerned CCP’s supervisor at least on a quarterly basis. Failure to perform the required computation which is in accordance with this section and its review by the CCP’s supervisor shall make the CCP as non-QCCP. The required capital shall be calculated as follows: (i) The hypothetical capital requirement of the CCP due to its counterparty credit risk exposures to all of its clearing members and its clients shall be calculated. KCCP is a hypothetical capital requirement for a CCP, calculated on a consistent basis for the sole purpose of determining the capitalisation of clearing member default fund contributions; it does not represent the actual capital requirements for a CCP which may be determined by a CCP and its supervisor. KCCP shall be calculated using the formula: where, RW = risk weight of 20 percent. This risk weight may be increased if RBI considers it necessary to do so. EADi = the exposure amount of the CCP to Clearing Member (CM) ‘i’, including both the CM’s own transactions and client transactions guaranteed by the CM, and all values of the collateral held by the CCP (including the CM’s prefunded default fund contribution) against these transactions, relating to the valuation at the end of the regulatory reporting date before the margin called on the final margin call of that day exchanged. The sum is over all clearing member accounts. (ii) Where clearing members provide client clearing services, and client transactions and collateral are held in separate (individual or omnibus) sub-accounts to the clearing member’s proprietary business, each such client sub-account should enter the sum separately, i.e., the member EAD in the formula above is then the sum of the client subaccount EADs and any house sub-account EAD. This will ensure that client collateral cannot be used to offset the CCP’s exposures to clearing members’ proprietary activity in the calculation of KCCP. If any of these sub-accounts contains both derivatives and SFTs, the EAD of that sub-account is the sum of the derivative EAD and the SFT EAD. (iii) In the case that collateral is held against an account containing both SFTs and derivatives, the prefunded initial margin provided by the member or client shall be allocated to the SFT and derivatives exposures in proportion to the respective product specific exposures, calculated according to relevant provisions applicable for SFTs and other transactions. (iv) If the default fund contributions of the member (DFi) are not split with regard to client and house sub-accounts, they shall be allocated per sub-account according to the respective fraction the initial margin of that sub-account has in relation to the total initial margin posted by or for the account of the clearing member. (v) For derivatives, EADi shall be calculated as the bilateral trade exposure the CCP has against the clearing member using the SA-CCR. A margin period of risk of 10 days shall be used to calculate the CCP’s potential future exposure to its clearing members on derivative transactions. All collateral held by a CCP to which that CCP has a legal claim in the event of the default of the member or client, including default fund contributions of that member (DFi), shall be used to offset the CCP’s exposure to that member or client, through inclusion in the PFE multiplier in accordance with the provisions for computing multiplier under SA-CCR for computing aggregate PFE. (vi) For SFTs, EAD shall be equal to max (EBRMi – IMi – DFi; 0), where EBRMi = the exposure value to clearing member ‘i’ before risk mitigation; where, for the purposes of this calculation, variation margin that has been exchanged (before the margin called on the final margin call of that day) enters into the mark-to-market value of the transactions; IMi = the initial margin collateral posted by the clearing member with the CCP; and DFi = the prefunded default fund contribution by the clearing member that shall be applied upon such clearing member’s default, either along with or immediately following such member’s initial margin, to reduce the CCP loss. (vii) Any haircuts to be applied for SFTs shall be the standard supervisory haircuts prescribed under the credit risk mitigation provisions of this Master Direction. (viii) The netting sets that are applicable to regulated clearing members shall be the same as those referred to in the paragraph 19 (1) to 19 (4) on ‘clearing member exposure to QCCPs’. For all other clearing members, they need to follow the netting rules as laid out by the CCP based upon notification of each of its clearing members. The capital requirement for each clearing member shall be calculated (x) KCCP shall be calculated on a quarterly basis at a minimum. However, in cases where there are material changes like CCP, starting clearing of a new products, etc. the computation shall be done more frequently. (xi) The CCP shall make available to the supervisor of any bank clearing member sufficient aggregate information about the composition of the CCP’s exposures to clearing members and information provided to the clearing member for the purposes of the calculation. (xii) Such information shall be provided no less frequently than the bank supervisor would require for monitoring the risk of the clearing member that it supervises. KCCP and KCMi shall be recalculated at least quarterly and should also be recalculated when there are material changes to the number or exposure of cleared transactions or material changes to the financial resources of the CCP. (xiii) This approach directly computes capital requirements for default fund exposures to QCCPs. The capital requirement thus computed shall be converted into risk weighted assets by multiplying with a factor of 12.5. (xiv) Where the sum of a bank’s capital charges for exposures to a qualifying CCP due to its trade exposure and default fund contribution is higher than the total capital charge that would be applied to those same exposures if the CCP were for a non-qualifying CCP, the latter total capital charge shall be applied. C. Exposures to non-qualifying CCPs 20. A bank shall apply the Standardised Approach for credit risk in the main framework, according to the category of the counterparty, to its trade exposure to a nonqualifying CCP. Further, a risk weight of 1250 percent shall apply to its default fund contributions to a non-qualifying CCP. For the purposes of this paragraph, the default fund contributions of such a bank shall include both the funded and the unfunded contributions which are liable to be paid if the CCP so requires. Where there is a liability for unfunded contributions (i.e., unlimited binding commitments), RBI will review in its Pillar 2 assessments the amount of unfunded commitments to which a 1250 percent risk weight applies. D. Requirements for Recognition of Net Replacement Cost in Close-out Netting Sets 21. Requirements for recognition of net replacement cost in close-out netting sets are as under. (1) For repo-style transactions The effects of bilateral netting agreements covering repo-style transactions shall be recognised on a counterparty-by-counterparty basis if the agreements are legally enforceable in each relevant jurisdiction upon the occurrence of an event of default and regardless of whether the counterparty is insolvent or bankrupt. In addition, netting agreements shall: -
provide the non-defaulting party the right to terminate and close-out in a timely manner all transactions under the agreement upon an event of default, including in the event of insolvency or bankruptcy of the counterparty; -
provide for the netting of gains and losses on transactions (including the value of any collateral) terminated and closed out under it so that a single net amount is owed by one party to the other; -
allow for the prompt liquidation or setoff of collateral upon the event of default; and -
be, together with the rights arising from the provisions required in (a) to (c) above, legally enforceable in each relevant jurisdiction upon the occurrence of an event of default and regardless of the counterparty's insolvency or bankruptcy. (2) For Derivatives transactions A bank shall net transactions for the purpose of these guidelines (e.g., when determining the RC component of a netting set) subject to novation under which any obligation between a bank and its counterparty to deliver a given currency on a given value date is automatically amalgamated with all other obligations for the same currency and value date, legally substituting one single amount for the previous gross obligations. A bank shall also net transactions subject to any legally valid form of bilateral netting not covered in the preceding sentence, including other forms of novation. In every such case where netting is applied, a bank shall satisfy that it has: (i) A netting contract with the counterparty or other agreement which creates a single legal obligation, covering all included transactions, such that the bank would have either a claim to receive or obligation to pay only the net sum of the positive and negative mark-to-market values of included individual transactions in the event a counterparty fails to perform due to any of the following: default, bankruptcy, liquidation or similar circumstances; (the netting contract must not contain any clause which, in the event of default of a counterparty, permits a non-defaulting counterparty to make limited payments only, or no payments at all, to the estate of the defaulting party, even if defaulting party is a net creditor). (ii) Written and reasoned legal reviews that, in the event of a legal challenge, the relevant courts and administrative authorities would find the bank’s exposure to be such a net amount under: -
The law of the jurisdiction in which the counterparty is incorporated and, if the foreign branch of a counterparty is involved, then also under the law of the jurisdiction in which the branch is located; -
The law that governs the individual transactions; and -
The law that governs any contract or agreement necessary to effect the netting. Explanation: If RBI is not satisfied about enforceability under relevant laws, the benefit of netting while computing exposure amount cannot be obtained. It is clarified that the membership agreement together with relevant netting provisions contained in QCCP’s bye laws, rules and regulations are a type of netting agreement. (iii) Procedures in place to ensure that the legal characteristics of netting arrangements are kept under review in light of the possible changes in relevant law. (iv) Contracts containing walkaway clauses shall not be eligible for netting for the purpose of calculating capital requirements under these directions. A walkaway clause is a provision which permits a non-defaulting counterparty to make only limited payments or no payment at all, to the estate of a defaulter, even if the defaulter is a net creditor. Chapter IV – Minimum Capital Requirements for Operational Risk A. Interim arrangement 22. The existing Basic Indicator Approach (BIA) for measuring minimum operational risk capital (ORC) requirements shall be replaced by the new Standardised Approach (hereafter referred to as the ‘Basel III Standardised Approach’ or ‘Basel III SA’) with coming into effect of these Directions. 23. Until then, the minimum operational risk regulatory capital requirements shall be computed in accordance with the instructions contained Reserve Bank of India (Commercial Banks - Prudential Norms on Capital Adequacy) Directions, 2025. Explanation: A bank is not required to undertake a parallel run with respect to Basel III SA. Accordingly, a comparison of ORC requirements calculated using Basel III SA and the discontinued approaches including BIA shall not be required. B. Scope 24. The scope of application shall be in accordance with the Reserve Bank of India (Commercial Banks - Prudential Norms on Capital Adequacy) Directions, 2025. C. Definitions 25. In this chapter, unless the context otherwise requires, the terms herein shall bear the meanings assigned to them below: (1) ‘Gross loss’ means a loss before recoveries of any type. (2) ‘Net loss’ means the loss after taking into account the impact of recoveries. (3) ‘Operational risk’ means the risk of loss resulting from inadequate or failed internal processes, people and systems or from external events. This includes legal risk, but excludes strategic and reputational risk. Explanation: Legal risk shall include, but not limited to, exposure to fines, penalties, or punitive damages resulting from supervisory actions, as well as private settlements. (4) ‘Recovery’ is an in dependent occurrence, related to the original loss event, separate in time, in which funds or inflows of economic benefits are received from a third party. Examples of recoveries include payments received from insurers, repayments received from perpetrators of fraud, and recoveries of misdirected transfers. D. Components of Basel III Standardised Approach (Basel III SA) 26. Basel III SA calculation methodology is based on the following components: (1) the Business Indicator (BI), which is a financial-statement-based proxy for operational risk; (2) the Business Indicator Component (BIC), which is calculated by multiplying the BI by a set of marginal coefficients (αi); and (3) the Internal Loss Multiplier (ILM), which is a scaling factor that is based on a bank’s average historical losses and the BIC. D.1 Business Indicator (BI) 27. The BI shall be the summation of the following three constituents, BI = ILDC+SC+FC where, ILDC = the Interest, Lease and Dividend Component; SC = the Services Component; and FC = the Financial Component. D.1.1 Computation of ILDC, SC and FC 28. The ILDC, SC and FC shall be computed as per the formula below, where a bar above a term indicates that it is calculated as the average over three years: t, t-1 and t-2, and: where, Max = Maximum, Min = Minimum, and Abs = Absolute value of sub-components irrespective of their signs (+ or -) Explanations: (i) The absolute value of net items (e.g., interest income – interest expense) shall be calculated first year-by-year. Only after this year-by-year calculation should the average of the three years be calculated. Illustration: The values of items of BI sub-components for three years period for a particular bank are given below: | Table 7 | | (Amount in ₹ crore) | | Year | Interest Income | Interest Expense | Abs (Interest Income-Interest Expense) | | Jan 2018- Dec 2018 | 3,000 | 3,500 | 500 | | Jan 2019- Dec 2019 | 3,500 | 3,200 | 300 | | Jan 2020- Dec 2020 | 4,000 | 3,600 | 400 | In this illustration, the average of absolute value of the above item of BI sub-component shall be ₹400 crore ((500+300+400)/3) (ii) BI components considered in the ORC calculations should be higher of those calculated on a (i) rolling quarter basis, and (ii) financial year (FY) basis. Illustration: Suppose a bank is calculating the ORC requirements for November 2022. It has higher BI on an FY basis considering financials of FY 2021-22, FY 2020-21, and FY 2019-20 than on a rolling quarter basis considering financials for the 12 months period each ending September 22, September 21, and September 20. The bank should hold ORC requirements considering the financials of FY 2021-22, FY 2020-21, and FY 2019-20 for BI computation. 29. The description for each of these constituents of the BI (i.e. ILDC, SC and FC) is provided in Table 8. An indicative mapping of BI items with schedules and line items of the prescribed financial statements format shall be given in due course. | Table 8 | | BI constituents | P&L or balance sheet items | Description | Typical sub-items | | Interest, lease and dividend Component (ILDC) | Interest income | Interest income from all financial assets and other interest income (includes interest income from financial and operating leases and profits from leased assets) | • Interest income from loans and advances, assets available for sale, assets held to maturity, trading assets, financial leases and operating leases • Interest income from hedge accounting derivatives • Other interest income • Profits from leased assets | | Interest expenses | Interest expenses from all financial liabilities and other interest expenses (includes interest expense from financial and operating leases, losses, depreciation and impairment of, and losses from, operating leased assets) | • Interest expenses from deposits, debt securities issued, financial leases, and operating leases • Interest expenses from hedge accounting derivatives • Other interest expenses • Losses from leased assets • Depreciation and impairment of operating leased assets | | Interest earning assets (balance sheet item) | Total gross outstanding loans and advances, interest bearing securities including government securities, and leased assets (i.e. all outstanding credit obligations in the balance sheet, including credit obligations on non-accrued status e.g. non-performing assets shall be included in interest earning assets) measured at the end of each financial year. | | Dividend income | Dividend income from investments in stocks and funds not consolidated in the bank’s financial statements, including dividend income from non-consolidated subsidiaries, associates and joint ventures. | | Services Component (SC) | Fee and commission income | Income received from providing advice and services. Includes income received by the bank as an outsourcer of financial services. | Fee and commission income from: • Securities (issuance, origination, reception, transmission, execution of orders on behalf of customers) • Clearing and settlement; Asset management; Custody; Fiduciary transactions; Payment services; Structured finance; Servicing of securitisations; Loan commitments and guarantees given; and foreign transactions | | Fee and commission expenses | Expenses paid for receiving advice and services. Includes outsourcing fees paid by the bank for the supply of financial services, but not outsourcing fees paid for the supply of non-financial services (e.g. logistical, IT, human resources) | Fee and commission expenses from: • Clearing and settlement; Custody; Servicing of securitisations; Loan commitments and guarantees received; and Foreign transactions | | Other operating income | Income from ordinary banking operations not included in other BI items but of similar nature (income from operating leases shall be excluded) | • Rental income from investment properties • Gains from non-current assets and disposal groups classified as held for sale not qualifying as discontinued operations | | Other operating expenses | Expenses and losses from ordinary banking operations not included in other BI items but of similar nature and from operational loss events (expenses from operating leases shall be excluded) | • Losses from non-current assets and disposal groups classified as held for sale not qualifying as discontinued operations • Losses incurred as a consequence of operational loss events (e.g. fines, penalties, settlements, replacement cost of damaged assets), which have not been provisioned / reserved for in previous years • Expenses related to establishing provisions / reserves for operational loss events | | Financial Component (FC) | Net profit (loss) on the trading book | • Net profit / loss on trading assets and trading liabilities (derivatives, debt securities, equity securities, loans and advances, short positions, other assets and liabilities) • Net profit / loss from hedge accounting • Net profit / loss from exchange differences. | | Net profit (loss) on the banking book | • Net profit / loss on financial assets and liabilities measured at fair value through profit and loss • Realised gains / losses on financial assets and liabilities not measured at fair value through profit and loss (loans and advances, assets available for sale, assets held to maturity, financial liabilities measured at amortised cost) • Net profit / loss from hedge accounting • Net profit / loss from exchange differences | Explanation: The following P&L items do not contribute to any of the items of the BI: (i) Income and expenses from insurance or reinsurance businesses (ii) Premiums paid and reimbursements / payments received from insurance or reinsurance policies purchased (iii) Administrative expenses, including staff expenses, outsourcing fees paid for the supply of non-financial services (e.g., logistical, IT, human resources), and other administrative expenses (e.g., IT, utilities, telephone, travel, office supplies, postage) (iv) Recovery of administrative expenses including recovery of payments on behalf of customers (e.g., taxes debited to customers) (v) Expenses of premises and fixed assets (except when these expenses result from operational loss events) (vi) Depreciation / amortisation of tangible and intangible assets (except depreciation related to operating lease assets, which shall be included in financial and operating lease expenses) (vii) Provisions / reversal of provisions (e.g. on pensions, commitments and guarantees given) except for provisions related to operational loss events (viii) Expenses due to share capital repayable on demand (ix) Impairment / reversal of impairment (e.g. on financial assets, nonfinancial assets, investments in subsidiaries, joint ventures and associates) (x) Changes in goodwill recognised in profit or loss (xi) Corporate income tax (tax based on profits including current tax and deferred tax). D.2 Business Indicator Component (BIC) 30. The BIC shall be calculated by multiplying the BI with the marginal coefficients (αi), (which increase with the size of the BI) as shown in Table 9 below: | Table 9 | | BI ranges and marginal coefficients | | Bucket | BI Range (in ₹ crore) | BI Marginal Coefficients (αi) | | 1 | ≤8000 | 12% | | 2 | 8000 | 15% | | | 3 | >240000 | 18% | Explanation: For a bank in the first bucket (i.e., with a BI less than or equal to ₹8,000 crore), the BIC shall be equal to BI x 12%. The marginal increase in the BIC resulting from a one-unit increase in the BI is 12% in bucket 1, 15% in bucket 2 and 18% in bucket 3. Illustration: For a particular bank, BI = ₹3,50,000 crore, Hence, BIC= (8,000 x 12%) + (2,40,000-8,000) x 15% + (3,50,000-2,40,000) x 18% = ₹55,560 crore. D.3 Internal Loss Multiplier (ILM) 31. A bank’s internal operational risk loss experience affects the calculation of ORC through the ILM. The ILM shall be calculated as given below, Where the Loss Component (LC) is equal to 15 times average annual operational risk losses as mentioned in paragraph 32. 32. The calculation of average losses in the LC shall be based on 10 years of highquality operational risk annual loss data. However, a bank that does not have 10 years of high-quality loss data but have five years and above of high-quality loss data shall make use of such available high-quality loss data of five years and above to calculate the LC. Explanation: If a bank has six years of high-quality loss data, it shall make use of such six years of data for ILM calculation provided such loss data meets the criteria delineated in paragraph 39. In the following year (7th year), the bank shall make use of seven years of high-quality loss data and would do so for the subsequent three years i.e., up to ten years (subject to meeting the abovementioned criteria) for ILM calculation. Thereafter, it shall use the high-quality loss data for the past ten years. D.4 Operational Risk Capital D.4.1 For a bank in (a) bucket 1, and (b) buckets 2 or 3 that does not have 5 years of high-quality operational risk annual loss data 33. The ORC requirements shall be equal to BIC, as defined in paragraph 30: RBI (Department of Supervision) may however require a bank in buckets 2 or 3 to calculate ORC requirements using fewer than five years of loss data if the ILM is greater than 1 and the supervisor believes that these losses are representative of the bank’s operational risk exposure. In such cases, ORC requirements shall be calculated in accordance with paragraph 34. D.4.2 For a bank in buckets 2 or 3 having 5 years and above of high-quality operational risk annual loss data 34. The ORC requirements shall be calculated by multiplying the BIC (as defined in paragraph 30) by the ILM (as defined in paragraph 31): A bank in bucket 2 or 3 which does not meet the five years of high-quality loss data criteria shall be required to hold ORC at a minimum equal to the BIC (as defined in). RBI (Department of Supervision) may, however, require the bank to apply an ILM which is greater than 1 to calculate ORC requirements. The exclusion of loss data due to non-compliance with the high-quality loss data criteria, and the application of any resulting multipliers, shall be publicly disclosed in accordance with the Pillar 3 requirements. D.5 Risk-Weighted Assets 35. The risk-weighted assets (RWA) for operational risk shall be calculated by multiplying the ORC by 12.5. E. Calculation of ORC within a banking group 36. The calculation of ORC within banking group shall be as under: (1) At the consolidated level, the ORC calculations shall be based on fully consolidated BI figures, which net all the intragroup income and expenses. (2) The ORC calculations at a sub-consolidated level shall be based on BI figures for a bank consolidated at that particular sub-level. (3) The ORC calculations at the subsidiary level shall be based on BI figures from the subsidiary. (4) A sub-consolidated bank or a subsidiary of the bank shall use only the losses it has incurred at that particular sub-consolidated or subsidiary level for the ORC calculations. (5) When BI figures for sub-consolidated or subsidiary level reach bucket 2, a bank shall use loss experience in the ORC calculations as mentioned in paragraph 34. Explanation: If a sub-consolidated bank or subsidiary bank falling in bucket 2 on a standalone basis migrates to bucket 3 on a group basis, it shall use marginal coefficient (αi) as applicable for bucket 2 at that sub-consolidated or subsidiary level, and bucket 3 at the consolidated / group level. (6) In case a subsidiary of a bank belonging to bucket 2 or higher does not meet the high-quality loss data criteria (as given in paragraph 39) or does not have five years and above of high-quality operational risk annual loss data, the subsidiary shall calculate the ORC requirements as mentioned in paragraph 34 or paragraph 33 as the case may be. F. Inclusion of BI items related to acquisitions and mergers 37. BI items from acquired businesses or merged entities over the three years period prior to the date of acquisition / merger shall be included in the calculation of BI component for ORC immediately after the acquisition / merger and shall be publicly disclosed in accordance with the Pillar 3 requirements. Illustration: Suppose bank A is merged with bank B with effect from July 1, 2021, BI for bank B calculated in July 2021 shall also include the financials of bank A (merged entity) for the (i) FY 2020-21, FY 2019-20, and FY2018-19, or (ii) 12 month period each ending June 2021, June 2020, and June 2019, whichever is higher. G. Exclusion of divested activities from the BI 38. Divested activities shall be excluded from the calculation of the BI used for the calculation of ORC only after RBI’s (Department of Supervision) approval. Such exclusions shall be publicly disclosed in accordance with the Pillar 3 requirements. H. High-quality loss data identification, collection, and treatment for a bank in buckets 2 or 3 39. There shall be general criteria and specific criteria for identification and collection of the operational risk loss data as delineated below: (1) General criteria on loss data identification, collection and treatment (i) Internal loss data are most relevant when clearly linked to a bank’s current business activities, risk management procedures, and technological processes. Therefore, a bank shall document procedures and processes for the identification, collection, and treatment of internal loss data. Such procedures and processes shall be subjected to validation before the use of the loss data in the operational risk capital measurement methodology and independent reviews, by internal and / or external auditors (at least annually) as per the board-approved policy of the bank. (ii) For risk management purposes, and to assist in supervisory validation and / or review, RBI (Department of Supervision) may require a bank to map its historical internal loss data into the relevant Level 1 and 2 supervisory categories as defined below in table 10 and to provide this data to RBI (Department of Supervision). The criteria for allocating losses to the specified event types shall be documented. | Table 10 | | Detail loss event type classification | | Event-type category (Level 1) | Definition | Categories (Level 2) | Activity examples (Level 3) | | Internal fraud | Losses due to acts of a type intended to defraud, misappropriate property or circumvent regulations, the law or company policy, excluding diversity / discrimination events, which involves at least one internal party | Unauthorised Activity | • Transactions not reported (intentional) • Transaction type unauthorised (with monetary loss) • Mismarking of position (intentional) | | Theft and fraud | • Fraud / credit fraud / worthless deposits • Theft / extortion / embezzlement / robbery • Misappropriation of assets • Malicious destruction of assets • Forgery • Check kiting • Smuggling • Account takeover / impersonation etc. • Tax non-compliance / evasion (wilful) • Bribes / kickbacks • Insider trading (not on firm’s account) | | External fraud | Losses due to acts of a type intended to defraud, misappropriate property or circumvent the law, by a third party | Theft and fraud | • Theft / robbery • Forgery • Check kiting | | Systems Security | • Hacking damage • Theft of information (with monetary loss) | | Employment practices and workplace safety | Losses arising from acts inconsistent with employment, health or safety laws or agreements, from payment of personal injury claims, or from diversity / discrimination events | Employee Relations | • Compensation, benefit, termination issues • Organised labour activity | | Safe environment | • General liability (slip and fall etc.) • Employee health and safety rules events • Workers compensation | | Diversity and discrimination | • All discrimination types | | Clients, products and business practices | Losses arising from an unintentional or negligent failure to meet a professional obligation to specific clients (including fiduciary and suitability requirements), or from the nature or design of a product. | Suitability, disclosure and fiduciary | • Fiduciary breaches / guideline violations • Suitability / disclosure issues (know your customer, etc.) • Retail customer disclosure violations • Breach of privacy • Aggressive sales • Account churning • Misuse of confidential information • Lender liability | | Improper business or market practices | • Antitrust • Improper trade / market practices • Market manipulation • Insider trading (on firm’s account) • Unlicensed activity • Money laundering | | Product flaws | • Product defects (unauthorised etc.) • Model errors | | Selection, sponsorship and exposure | • Failure to investigate client per guidelines • Exceeding client exposure limits | | Advisory Activities | • Disputes over performance of advisory activities | | Damage to physical assets | Losses arising from loss or damage to physical assets from natural disaster or other events | Disasters and other events | • Natural disaster losses • Human losses from external sources (terrorism, vandalism) | | Business disruption and system failures | Losses arising from disruption of business or system failures | Systems | • Hardware • Software • Telecommunications • Utility outage / disruptions | | Execution, delivery and process management | Losses from failed transaction processing or process management, from relations with trade counterparties and vendors | Transaction capture, execution and maintenance | • Miscommunication • Data entry, maintenance or loading error • Missed deadline or responsibility • Model / system misoperation • Accounting error / entity attribution error • Other task misperformance • Delivery failure • Collateral management failure • Reference data maintenance | | Monitoring and reporting | • Failed mandatory reporting obligation • Inaccurate external report (loss incurred) | | Customer intake and documentation | • Client permissions / disclaimers missing • Legal documents missing / incomplete | | Customer / client account management | • Unapproved access given to accounts • Incorrect client records (loss incurred) • Negligent loss or damage of client assets | | Trade Counterparties | • Non-client counterparty misperformance • Miscellaneous non-client counterparty disputes | | Vendors and Suppliers | • Outsourcing • Vendor disputes | (iii) A bank’s internal loss data shall be comprehensive and capture all activities and exposures from all appropriate subsystems and geographic locations. Such loss data shall also include the operational risk-related losses emanating from outsourced activities (viz., operational risk-related losses emanating from Direct Sales Agents / Direct Marketing Agents, Business Correspondents, etc. appointed by the bank). The minimum threshold for including a loss event in the data set is set at ₹1,00,000. Explanation: Some operational loss events result in multiple accounting impacts, which can be loss impacts or recoveries. To determine whether an operational loss event should be included in the Loss Component calculation dataset, the net loss amount of the event shall be calculated by summing all the loss impacts and subtracting all recoveries pertaining to the event, inside the ten-year calculation window. The accounting date of the impacts is used to determine whether they are inside the ten-year calculation window. If the event’s net total loss amount is equal to or above ₹1,00,000, the loss event shall be included in the calculation dataset. Note that a loss event may not result in a net loss amount above ₹1,00,000 in any individual year and still have to be included in the loss dataset as long as the cumulative impact of the loss event in the ten-year window is equal to or above ₹1,00,000. Illustration: For a ten-year period (2012 to 2021) window, suppose one loss event results in a loss impact of ₹96,000 in 2012 and ₹7,000 in 2013. This loss event shall be included in the calculation dataset because its total impact inside the calculation window is ₹1,03,000. On the other hand, a loss event that resulted in a loss impact of ₹10,00,000 in 2010 (outside of the ten-year window), a loss impact of ₹300,000 in 2013 (inside the calculation window), and a recovery of ₹5,00,000 in 2015 (inside the calculation window) shall not be included in the loss dataset. In addition to the information on gross loss amounts, the bank shall collect information about the reference dates of operational risk events, including the date when the event happened (‘date of occurrence’), where available; the date on which the bank became aware of the event (‘date of discovery’); and the date (or dates) when a loss event results in a loss, reserve or provision against a loss being recognised in the bank’s profit and loss (P&L) accounts (‘date of accounting’). The bank shall also collect information on recoveries of gross loss amounts as well as descriptive information about the drivers or causes of the loss event. The details of any descriptive information shall be commensurate with the size of the gross loss amount. Explanation: Tax effects (e.g., reductions in corporate income tax liability due to operational losses) shall not be treated as recoveries. (iv) While building a loss data set from a foreign subsidiary of a bank, loss impacts denominated in a foreign currency shall be converted using the same exchange rate that is used to convert them in the bank’s financial statements of the period in which the loss impacts are accounted for. (v) Operational loss events related to credit risk and that are accounted for in credit RWA shall not be included in the operational loss data set. Operational loss events that relate to credit risk but are not accounted for in credit RWA shall be included in the operational loss data set. Explanation: Credit-related losses owing to any operational risk event such as fraud in an account should not be included in the operational risk loss data set provided that such losses have been provided for or considered in credit RWA as per extant instructions. However, when a bank securitises its assets i.e., assets that are not on its books, it is still exposed to operational risk due to the presence of clauses such as representations and warranties, clean-up calls in the securitisation agreement, etc. If such losses are crystallised, the bank shall include them in the operational loss data set if they are neither provided for nor considered in credit RWA. (vi) Operational risk losses related to market risk shall be included in the operational loss data set. Examples of such losses are risk posed due to fat- finger error, the crash of algorithm in algorithmic trading, unauthorised trading activities, frequent breaches in trading limit, unauthorised remote access for settling the positions, etc. Explanation: Fat-finger error in this context means an error caused by a human, as opposed to a computer, in which the wrong information is inputted. (vii) A bank shall have processes to independently review the accuracy and comprehensiveness of loss data. (2) Specific criteria on loss data identification, collection and treatment (i) Building loss data set (a) Building an acceptable loss data set from the available internal data requires that the bank develops policies and procedures to address several features, including gross loss definition, reference date and grouped losses. (ii) Gross loss, net loss, and recovery (a) A bank shall identify the gross loss amounts, non-insurance recoveries, and insurance recoveries for all operational loss events. A bank shall use losses net of recoveries (including insurance recoveries) in the loss dataset. However, recoveries can be used to reduce losses only after the bank receives payment. Receivables do not count as recoveries. The data and evidence on recoveries used to net off losses shall be provided to RBI (Department of Supervision) upon request. (b) The following items shall be included in the gross loss computation of the loss data set: -
Direct charges, including impairments and settlements, to the bank’s P&L accounts and write-downs due to the operational risk event; -
Costs incurred as a consequence of the event including external expenses with a direct link to the operational risk event (e.g., legal expenses directly related to the event and fees paid to advisors, attorneys or suppliers) and costs of repair or replacement, incurred to restore the position that was prevailing before the operational risk event (without considering recovery, depreciation, and provision); -
Provisions or reserves accounted for in the P&L against the potential operational loss impact; Explanation: When a bank makes a provision due to an operational loss event, such provision shall be considered as an operational loss immediately. When a charge-off (such as a settlement) eventually takes place later, only the difference between the initial provision and the charge-off (if any) shall be added to the operational loss calculation. Illustrations: • If a bank makes a provision of ₹1 crore for a legal event in FY 2017-18 and then settles the legal event for ₹1.20 crore in FY 2018-19, it shall include the provision of ₹1 crore in the operational loss data of FY 2017-18 and the additional ₹20 lakh in the operational loss data of FY 2018-19 (equal to the ₹1.20 crore settlement in FY 2018-19 minus the ₹1 crore provision in FY 2017-18). There shall be no double counting of the same financial impacts in the calculation of operational losses. • If a bank provided ₹2,00,000 for the operational risk loss in FY 2014-15 and the same is included in the loss data set of the year, Scenario 1: If recovery of ₹50,000 happens in FY 2016-17, a bank shall include ₹50,000 as a recovery in FY 2016-17. Thus, loss data is updated without changing the loss originally reported in FY 2014-15. Scenario 2: Even if recovery of ₹2,50,000 happens in FY 2016-17, a bank shall include ₹2,00,000 only as a recovery in FY 2016-17. Thus, loss data is updated without changing the loss originally reported in FY 2014-15. However, in both scenarios (1) and (2), the bank cannot include recoveries made against the loss that does not feature in 10 years window i.e. the bank cannot use recoveries of ₹50,000 (scenario 1) and ₹250000 (scenario 2) from FY 2025-26 onwards as the originally reported loss of ₹2,00,000 falls out of 10 years window from FY 2025-26 onwards. (iv) Losses stemming from operational risk events with a definitive financial impact, which are temporarily booked in transitory or suspense accounts and are not yet reflected in the P&L (‘Pending losses’). Pending losses of ₹1,00,000 and above shall be included in the loss data set within a time period commensurate with the age of the pending item; and (v) Negative economic impacts booked in a financial accounting period, due to operational risk events impacting the cash flows or financial statements of previous financial accounting periods (‘Timing losses’). Timing losses of ₹1,00,000 and above shall be included in the loss data set when they are due to operational risk events that span more than one financial accounting period. Explanation: Timing impacts typically relate to the occurrence of operational risk events that result in the temporary distortion of an institution’s financial accounts (e.g. revenue overstatement, accounting errors and mark-to-market errors). While these events do not represent a true financial impact on the institution (net impact over time is zero), if the error continues across more than one financial year, it may represent a material misrepresentation of the institution’s financial statements. Illustrations: • When a bank refunds a client that was overbilled due to an operational failure, if the refund is provided in the same financial accounting period as the overbilling took place and thus no misrepresentation of the institution’s financial statements occurs, there is no operational loss. If the refund occurs in a subsequent financial accounting period to the overbilling, it is a timing loss; any operational loss event that exceeds the threshold of ₹1,00,000 shall be included in the loss data set. In this case, the prior overbilling shall not be considered as a recovery. • An excess processing fee of ₹1,20,000 charged to a customer in February 2022 and refunded in April 2022 will result in a material misrepresentation of the bank’s financial statements and should be included in the loss data set of FY 2021-22. (c) The following items shall be excluded from the gross loss computation of the loss data set: -
Costs of general maintenance contracts on property, plant or equipment; -
Internal or external expenditures to enhance the business after the operational risk losses: upgrades, improvements, risk assessment initiatives and enhancements; and -
Insurance premiums. Provided, when a bank acts as an intermediary that brokers insurance products, it shall include the income and expenses attributable to such brokerage into its BI. (d) A bank shall use the date of accounting for building the loss data set including losses related to legal events. For legal loss events, the date of accounting is the date when a legal reserve is established for the probable estimated loss in the P&L. (e) Losses caused by a common operational risk event or by related operational risk events which occur over time, but posted to the accounts over several years, shall be allocated to the corresponding years of the loss database, in line with their accounting treatment. Explanations: i. All operational losses caused by a common underlying trigger or root cause shall be grouped into one operational loss event in a bank’s operational loss event dataset. Illustration: The following two losses, with a common underlying trigger or root cause, will be grouped into a single loss event: -
A natural disaster causes losses in multiple locations or across an extended time period. -
A breach of a bank’s information security results in the disclosure of confidential customer information. As a result, multiple customers incur fraud-related losses that the bank shall reimburse. This is sometimes accompanied by remediation expenses such as credit card re-issue or credit history monitoring services. ii. A bank shall have a clear, well-documented policy for determining the criteria for multiple losses to be grouped into an operational loss event. In addition, processes shall be in place to ensure that there is a firm-wide understanding of the loss event grouping policy, that there is appropriate sharing of loss event data across businesses to implement the policy effectively and that there are adequate controls (including independent review) to assess ongoing compliance with the policy. (f) An eligible loss event that was missed in earlier periods but identified in subsequent years should be included in the loss data set upon its identification. Explanation: It is expected that a bank’s data collection and reporting procedures and processes capture all operational risk losses over the threshold of ₹1,00,000. However, if a bank excludes any eligible loss data event due to commission or omission errors or any other reason, it shall include such missed out data in the loss data set in the subsequent year by making necessary corrections for the relevant year. Such data shall be included in the loss data set from the year to which it pertains till ten years from the year of detection of such missed out event. Illustration: Suppose a bank missed out on an eligible operational risk event of ₹15 lakh that occurred in the financial year (FY) 2014-15 from inclusion in the loss data set of the year. Subsequently, it detected such a loss event in FY 2018-19. The bank, in its loss data for FY 2018-19 (as per the table given below), shall include such a loss event from FY 2014-15 onwards. | Table 11 | | (Amount in ₹ lakh) | | Financial Year | Loss data for FY 2018-19 before missed out event | Missed out event of FY 2014-15 detected in FY 2018-19 | Loss data for FY 2018-19 considering missed out event | | 2009-10 | 50 | - | 50 | | 2010-11 | 70 | - | 70 | | 2011-12 | 80 | - | 80 | | 2012-13 | 60 | - | 60 | | 2013-14 | 120 | - | 120 | | 2014-15 | 130 | 15 | 145 | | 2015-16 | 140 | 15 | 155 | | 2016-17 | 110 | 15 | 125 | | 2017-18 | 150 | 15 | 165 | | 2018-19 | 100 | 15 | 115 | The bank shall include such a loss event of ₹15 lakh in the loss data till FY 2027-28 (i.e., 10 years from the year of detection) even though it falls beyond 10-year window (till FY 2023-24) from the year of the missed-out event (FY 2014-15). 40. Inclusion of losses related to acquisitions and mergers Operational risk losses of acquired businesses or merged entities over the ten years period prior to the acquisition / merger shall be included in the calculation of LC component of ILM for ORC, immediately after the acquisition / merger and shall be publicly disclosed in accordance with the Pillar 3 requirements. 41. Exclusion of losses (1) Losses shall be excluded from the calculation of the ILM used for the calculation of ORC only after RBI’s (Department of Supervision) approval. A bank may request RBI (Department of Supervision) to exclude certain operational loss events that are no longer relevant to its risk profiles. The exclusion of loss events shall be rare and supported by strong justification. In evaluating the relevance of operational loss events to the bank's risk profile, RBI (Department of Supervision) will evaluate whether the cause of the loss event could occur in other areas of the bank’s operations. Taking settled legal exposures and divested businesses as examples, RBI expects the bank’s analysis to demonstrate that there is no similar or residual legal exposure and that the excluded loss experience has no relevance to other continuing activities or products. Illustration: A bank may suffer operational risk losses related to the reform of benchmark reference rates, particularly if it does not adequately prepare for the transition to the new rates. Losses may be incurred over an extended period of time if a bank fails to identify and remediate relevant legacy contracts prior to the discontinuation of a benchmark reference rate. To minimise the risk of operational risk losses, the bank should consider the effects of a benchmark rate reform on its businesses in a timely manner and make necessary preparations for the transition to alternative reference rates. In doing so, the bank should maintain a close dialogue with RBI (Department of Supervision) regarding its plans and transition progress, including any identified impediments. (2) Exclusion of losses shall be subject to a materiality threshold (i.e., the excluded loss event shall be greater than 5% of the bank’s average losses). In addition, losses can only be excluded after being included in the bank’s operational risk loss database for a minimum period (i.e., three years). Losses related to divested activities shall not be subjected to such minimum operational risk loss database retention period. (3) The total loss amount and number of exclusions shall be publicly disclosed in accordance with the Pillar 3 requirements with appropriate narratives, including total loss amount and number of exclusions. I. Disclosure 42. All the BI sub-items for each of the three years of the BI component calculation window shall be disclosed in accordance with the Pillar 3 requirements. 43. For a bank in buckets 2 or 3, annual loss data for each of the last ten years or each of the years for which annual loss data is available, shall be disclosed in accordance with the Pillar 3 requirements. Loss data shall be reported net of recoveries, both before and after loss exclusions. 44. The disclosures on general qualitative information on a bank’s operational risk framework and quantitative information on BI sub-items and its sub-components as also loss data shall be made as prescribed in the Annex. 45. A bank is encouraged to comply with the ‘Guidance Note on Operational Risk Management and Operational Resilience’ issued by the Reserve Bank on April 30, 2024. Chapter V - Governance, Measurement and Management of Interest Rate Risk in Banking Book A. Introduction 46. Interest Rate Risk in Banking Book (IRRBB) refers to the current or prospective risk to bank’s capital and earnings arising from adverse movements in interest rates that affect its banking book positions. When interest rates change, the present value and timing of future cash flows change. These changes in turn affect the underlying value of a bank’s rate sensitive assets, liabilities, and off-balance sheet items and, hence, its economic value (EV). Changes in interest rates also affect a bank’s earnings by altering interest rate-sensitive income and expenses, affecting its net interest income (NII). Excessive IRRBB can pose a significant risk to a bank’s current capital base and / or future earnings if not managed appropriately. These guidelines, accordingly, require a bank to measure, monitor, and disclose its exposure to IRRBB in terms of potential change in Economic Value of Equity (ΔEVE) and Net Interest Income (ΔNII), computed based on a set of prescribed interest rate shock scenarios. 47. IRRBB arises from banking activities and is encountered by all banks. It arises because interest rates can vary significantly over time, while the business of banking typically involves intermediation activity that produces exposures to both maturity mismatch (e.g., long-maturity assets funded by short-maturity liabilities) and rate mismatch (e.g., variable rate loans funded by fixed rate deposits). In addition, there are optionality embedded in many of the common banking products (e.g., non-maturity deposits, term deposits, fixed rate loans) that are triggered in accordance with changes in interest rates. A bank must be familiar with all elements of IRRBB, actively identify its IRRBB exposures and take appropriate steps to identify, measure, monitor and control it. B. Interim Arrangements 48. As stated in paragraph 2, the date for implementation will be communicated in due course. Banks are, however, advised to be in preparedness for measuring, monitoring, and disclosing its exposure to interest rate risk in the banking book in terms of these Directions. 49. Ahead of the implementation, a bank shall submit the quarterly disclosures stipulated in Table 12 below to the Department of Regulation, RBI (by e-mail: mrgdor@rbi.org.in). | Table 12 | | Scope of application: Mandatory for all banks | | Content: Quantitative information. | | Frequency: Annual, as at end-March. | | Format: Fixed. | | Accompanying narrative: Commentary on the significance of the reported values and an explanation of any material changes since the previous reporting period. | | In reporting currency | Δ EVE | Δ NII | | Period | T | T–1 | T | T–1 | | Parallel up | | | | | | Parallel down | | | | | | Steepener | | | | | | Flattener | | | | | | Short rate up | | | | | | Short rate down | | | | | | Maximum | | | | | | Tier 1 capital | | | | | | Maximum as % of Tier 1 Capital | | | | | Explanation: For each of the specified interest rate shock scenarios, a bank must report for the current period (T) and for the previous period (T-1): (a) the change in the economic value of equity based on its internal measurement system, using a run-off balance sheet and an instantaneous shock and (b) the change in projected NII over a forward-looking rolling 12-month period compared with the bank’s own best estimate 12-month projections, using a constant balance sheet assumption and an instantaneous shock. 50. The extant instructions on interest rate risk management, as outlined in Reserve Bank of India (Commercial Banks – Asset Liability Management) Directions, 2025 requiring a bank to undertake Traditional Gap Analysis and Duration Gap Analysis, shall be phased out post implementation of these directions on IRRBB. C. Definitions 51. Unless the context states otherwise, the terms herein shall bear the meanings assigned to them below: (1) ‘Amenable to standardisation’ means the positions with certain cash flow till maturity / repricing date. (2) ‘Banking Book’ means all items which are not included in the banking book as defined in the Reserve Bank of India (Commercial Banks – Prudential Norms on Capital Adequacy) Directions, 2025, as amended from time to time, shall be considered as part of banking book. (3) ‘Basis risk’ means the relative impact of changes in interest rates for financial instruments that have similar tenors but are priced using different interest rate indices. (4) ‘Commercial Margins’ or ‘credit margin’ means a specific add-on to internal benchmark rate. (5) ‘Constant balance sheet’ means total balance sheet size maintained by assuming like-for-like replacement of assets and liabilities as they run off. (6) ‘Embedded loss’ means loss embedded in the instruments that are not marked to market, which may be reflected over time in the bank’s earnings. For example, a long-term fixed rate loan entered into when interest rates were low and refunded more recently with liabilities bearing a higher rate of interest will, over its remaining life, represent a drain on the bank’s resources. (7) ‘Gap risk’ means risk arising from the term structure of instruments in banking book that arises from differences in the timing of their rate changes. The extent of gap risk depends on whether the changes to the term structure of interest rates occur consistently across the yield curve (parallel risk) or differentially by period (non-parallel risk). (8) ‘Less amenable to standardisation’ means positions with optionality that makes the timing of notional repricing of cash flows uncertain by introducing a non-linearity, which suggests that delta-equivalent approximations are imprecise for large interest rate shock scenarios. (9) ‘Non-maturity deposits’ (NMD) means deposits which can be withdrawn, with or without penalty, at the discretion of the depositor. (10) ‘Not amenable to standardisation’ means positions not amenable to standardsation and shall include Non-maturity Deposits (NMDs), fixed rate loans subject to prepayment risk and term deposits subject to early redemption risk. (11) ‘Notional Repricing Cash Flow (CF)’ means -
any repayment of principal (e.g., at contractual maturity); -
any repricing of principal; repricing is said to occur at the earliest date at which either the bank or its counterparty is entitled to unilaterally change the interest rate, or at which the rate on a floating rate instrument changes automatically in response to a change in an external benchmark; or -
any interest payment on a tranche of principal that has not yet been repaid or repriced; spread components of interest payments on a tranche of principal that has not yet been repaid and which do not reprice must be slotted at their contractual maturity irrespective of whether the nonamortised principal has been repriced or not. (12) ‘Option risk’ means risk arising from options (embedded or explicit) in a bank’s assets, liabilities and / or off-balance sheet items where the bank or its customer can alter the level and timing of their cash flows. Option risk can be further characterized into automatic option risk and behavioural option risk. -
‘Embedded or explicit automatic option risk’ means risk arising from standalone instruments, such as exchange-traded and over-the-counter option contracts, or explicitly embedded within the contractual terms of an otherwise standard financial instrument (e.g., floating rate mortgage loan with embedded caps and / or floors) and where the holder will almost certainly exercise the option if it is in their financial interest to do so. -
‘Embedded behavioural option risk’ means risk arising from flexibility embedded implicitly or within the terms of financial contracts, such that changes in interest rates may effect a change in the behaviour of the client (e.g., Rights of a borrower to prepay a loan, with or without penalty, or the right of a depositor to withdraw their balance in search of higher yield). (13) ‘Repricing Date’ means the date of each repayment, repricing or interest payment. (14) ‘Risk- appetite statement’ means written articulation of the aggregated level and types of IRRBB exposures that a bank will accept, or avoid, in order to achieve its business objectives. (15) ‘Risk-free rate’ means the theoretical rate of interest an investor would expect from a risk-free investment for a given maturity. (16) ‘Run-off balance sheet’ means existing assets and liabilities are not replaced as they mature, except to the extent necessary to fund the remaining balance sheet. 52. All other expressions unless defined herein shall have the same meaning as have been assigned to them under the Banking Regulation Act, 1949 or the Reserve Bank of India Act, 1934 and rules / regulations made thereunder, or any statutory modification or re-enactment thereto or as used in commercial parlance, as the case may be. D. Governance and Control 53. The Board of a bank has the responsibility for understanding the nature and the level of the bank’s IRRBB exposure. The Board shall approve broad business strategies as well as overall policies with respect to IRRBB. Accordingly, the Board is responsible for ensuring that steps are taken by the bank to identify, measure, monitor and control IRRBB consistent with the approved strategies and policies. Monitoring and management of IRRBB can be delegated by the Board to ALCO, which shall regularly monitor the nature and the level of the bank’s IRRBB exposure. The management of a bank’s IRRBB shall be integrated within its broader risk management framework and aligned with its business planning and budgeting activities. More specifically, the Board / ALCO is responsible for setting: -
appropriate limits on IRRBB, including the definition of specific procedures and approvals necessary for exceptions, and ensuring compliance with those limits; -
adequate systems and standards for measuring IRRBB; -
valuing positions and assessing performance, including procedures for updating interest rate shock and stress scenarios and key underlying assumptions driving the institution’s IRRBB analysis; -
a comprehensive IRRBB reporting and review process; and -
effective internal controls and management information systems (MIS). 54. A bank shall have a clearly defined Board approved risk appetite statement which lays down policies and procedures for limiting and controlling IRRBB. The risk appetite statement shall be articulated in terms of the risk to both economic value and earnings. It shall lay down Board approved aggregate IRRBB limit given the bank’s business strategies at the consolidated bank level as also at the level of individual entities as appropriate. These limits shall be associated with specific scenarios of changes in interest rates and / or term structures, such as an increase or decrease of a particular size or a change in shape. The interest rate movements used in developing these limits shall represent meaningful shock and stress situations, taking into account historical interest rate volatility and the time required by management to mitigate those risk exposures. Depending on the nature of a bank’s activities and business model, sub-limits may also be identified for individual business units, portfolios, instrument types or specific instruments. The risk appetite framework shall delineate delegated powers, lines of responsibility and accountability over IRRBB management decisions and shall clearly define authorised instruments, hedging strategies and risk-taking opportunities. 55. A bank shall identify the IRRBB inherent in products and activities and ensure that these are subject to adequate procedures and controls. Significant hedging or risk management initiatives shall be approved before being implemented. Products and activities that are new to a bank shall undergo a careful pre-acquisition review to ensure that the IRRBB characteristics are well understood and subject to a predetermined test phase before being fully rolled out. Prior to introducing a new product, hedging or risk-taking strategy, adequate operational procedures and risk control systems shall be in place. Procedures shall be clearly laid out to approve major hedging or risk-taking initiatives prior to implementation. A dedicated set of risk limits shall be developed to monitor the evolution of hedging strategies that rely on instruments such as derivatives, and to control mark-to-market risks in instruments that are accounted for at market value. The proposals to use new instrument types or new strategies (including hedging) shall be assessed to ensure that (a) the resources required to establish sound and effective IRRBB management of the product or activity have been identified, (b) the proposed activities are in line with bank’s overall risk appetite, and (c) the procedures to identify, measure, monitor and control the risks of the proposed product or activity have been established. 56. Systems shall be in place to ensure that positions which exceed or are likely to exceed limits defined by the Board shall receive prompt management attention and be escalated without delay. There shall be a clear policy on who will be informed, how the communication will take place and the actions which will be taken in response to such exceptions. 57. A bank shall have adequate internal controls to ensure the integrity of its IRRBB management process. In addition, a bank shall have in place regular evaluations and reviews of its internal control system and risk management processes. A bank shall have its IRRBB identification, measurement, monitoring and control processes reviewed by an independent auditing function (such as an internal or external auditor) on a regular basis. In such cases, reports written by internal / external auditors or other equivalent external parties shall be made available to the concerned SSM team of RBI. All IRRBB policies shall be reviewed periodically (at least annually) and revised as needed. E. IRRBB Measurement 58. A bank’s systems for IRRBB shall be able to compute the impact on the economic value and earnings in various scenarios, based on: -
internally selected interest rate shock scenarios addressing the bank’s risk profile, according to its Internal Capital Adequacy Assessment Process (ICAAP); -
historical and hypothetical interest rate stress scenarios, which tend to be more severe than shock scenarios; -
the six prescribed interest rate shock scenarios as given in paragraph 88; and -
any additional interest rate shock scenarios required by RBI. 59. An indicative standardised methodology for computing IRRBB from the perspective of change in EVE is given in paragraph 90 to paragraph 97. Assumptions required for computation of IRRBB 60. Both economic value and earnings-based measures of IRRBB are significantly impacted by the assumptions made for the purposes of risk quantification, namely -
expectations for the exercise of interest rate options by both the bank and its customers under specific interest rate shock and stress scenarios; -
treatment of balances and interest flows arising from NMDs; -
treatment of own equity in economic value measures; and -
implication of accounting practices for IRRBB. 61. Hence, when assessing its IRRBB exposures, a bank shall inter-alia make judgments and assumptions about how an instrument’s actual maturity or repricing behaviour may vary from the instrument’s contractual terms because of behavioural optionality. Accordingly, all modelling assumptions shall be conceptually sound and reasonable, and consistent with historical experience. A bank must carefully consider how the exercise of behavioral optionality will vary not only under the interest rate shock and stress scenario but also across other dimensions. For instance, considerations may include: | Table 13 | | Product | Dimensions influencing the exercise of the embedded behavioral options | | Fixed rate loans subject to prepayment risk | Loan size, loan-to-value (LTV) ratio, borrower characteristics, contractual interest rates, seasoning, geographical location, original and remaining maturity, and other historical factors. Other macroeconomic variables, such as stock indices, unemployment rates, GDP, inflation and housing price indices should be considered in modelling prepayment behaviour. | | Fixed rate loan commitments | Borrower characteristics, geographical location (including competitive environment and local premium conventions), customer relationship with bank as evidenced by cross-products, remaining maturity of the commitment, seasoning and remaining term of the mortgage | | Term deposits subject to early redemption risk | Deposit size, depositor characteristics, funding channel (e.g. direct or brokered deposit), contractual interest rates, seasonal factors, geographical location and competitive environment, remaining maturity and other historical factors. Other macroeconomic variables such as stock indices, unemployment rates, GDP, inflation and housing price indices should be considered in modelling deposit redemption behavior. | | NMDs | Responsiveness of product rates to changes in market interest rates, current level of interest rates, spread between a bank’s offer rate and market rate, competition from other firms, the bank’s geographical location and demographic and other relevant characteristics of its customer base. | 62. In addition, a bank with positions denominated in different currencies can expose itself to IRRBB in each of those currencies. Since yield curves vary from currency to currency, the bank shall assess exposures in each currency. Further, the bank shall consider the materiality of the impact of behavioural optionalities within floating rate loans. For instance, the behaviour of prepayments arising from embedded caps and floors could impact the bank’s EVE. 63. A bank shall be able to test the appropriateness of key behavioural assumptions and shall also document all changes to the assumptions of key parameters (e.g. by comparing the EVE measured under its internal systems with the indicative standardised framework given in paragraph 90 to paragraph 97). A bank shall periodically perform sensitivity analyses for key assumptions to monitor their impact on measured IRRBB. Sensitivity analyses shall be performed with reference to both economic value and earnings-based measures. 64. The most significant assumptions underlying the system shall be documented and clearly understood by the Board or its Committee. Documentation shall also include description on how those assumptions could potentially affect bank’s hedging strategies. As market conditions, competitive environments and strategies change over time, a bank shall review significant measurement assumptions at least annually and more frequently during rapidly changing market conditions. For example, if the competitive market has changed such that consumers now have lower transaction costs available to them for refinancing their residential mortgages, prepayments may become more sensitive to smaller reductions in interest rates. F. Stress testing framework 65. A bank shall also develop and implement an effective stress testing framework for IRRBB as part of its broader risk management and governance processes, which shall be commensurate with its nature, size and complexity as well as business activities and overall risk profile. It shall include clearly defined objectives, scenarios tailored to the bank’s businesses and risks, well documented assumptions and sound methodologies. This framework shall be used to assess the potential impact of the scenarios on the bank’s financial condition, enable ongoing and effective review of stress tests and recommend actions based on the stress test results. 66. The stress testing framework shall feed into the decision-making process at the appropriate management level, including strategic decisions (e.g. business and capital planning decisions) of the Board or its Committee. In particular, IRRBB stress testing shall be considered in the ICAAP, requiring a bank to undertake rigorous, forward-looking stress testing that identifies events of severe changes in market conditions which could adversely impact the bank’s capital or earnings, possibly also through changes in the behavior of its customer base. IRRBB stress tests shall play an important role in the communication of risks, both within the bank and externally. 67. The identification of relevant shock and stress scenarios for IRRBB, the application of sound modelling approaches and the appropriate use of the stress testing results require the collaboration of different experts within a bank (e.g., traders, the treasury department, the finance department, the ALCO, the risk management and risk control departments and / or the bank’s economists). A stress-testing programme for IRRBB shall ensure that the opinions of the experts are taken into account. 68. A bank shall determine a range of potential interest rate movement scenarios currency-wise, against which it shall measure its IRRBB exposures. When developing interest rate shock and stress scenarios, bank shall consider the following: -
Scenarios should be sufficiently wide-ranging to identify parallel and nonparallel gap risk, basis risk, and option risk. Scenarios should be both severe and plausible, in light of the existing level of interest rates and the interest rate cycle; -
Special consideration should be given to instruments or markets where concentration exists; -
Possible interaction of IRRBB with related risks as well as other risks (eg. Credit risk, liquidity risk); -
A bank shall assess the effect of adverse changes in the spreads of new assets or liabilities replacing those positions maturing over the horizon of the forecast on its NII; -
A bank with significant option risk shall include scenarios that capture the exercise of such options. For example, a bank that has products with sold caps or floors shall include scenarios that assess how the risk positions would change should those caps or floors move into the money. A Bank shall also develop interest rate assumptions to measure its IRRBB exposures given changes in interest rate volatilities; -
A bank shall specify the term structure of interest rates that will be incorporated (including shape, level), historical and implied volatility of interest rates, and the basis relationship between yield curves when building interest rate shock and stress scenarios; -
A bank shall estimate how interest rates that are administered or managed by the management (e.g. prime rates or retail deposit rates, as opposed to those that are purely market driven) might change; -
A bank shall also measure the time they would need to take action to reduce or unwind unfavorable IRRBB exposures, and its capability / willingness to withstand accounting losses in order to reposition its risk profile; and -
Forward-looking scenarios shall incorporate changes in portfolio composition due to factors under the control of the bank (e.g. the bank’s acquisition and production plans) as well as external factors (e.g. changing competitive, legal or tax environments); new products where only limited historical data is available; new market information and new emerging risks that are not necessarily covered by historical stress episodes. 69. Further, a bank shall perform qualitative and quantitative reverse stress tests in order to identify interest rate scenarios that could severely threaten bank’s capital and earnings; and reveal vulnerabilities arising from its hedging strategies and the potential behavioural reactions of its customers. G. Data integrity and model validation 70. A bank’s risk measurement system shall be able to identify and quantify major sources of IRRBB exposure. The mix of a bank’s business lines and the risk characteristics of its activities shall guide management’s selection of the most appropriate form of measurement system. 71. A bank shall not rely on a single measure of risk. It shall use a variety of methodologies to quantify its IRRBB exposures under both the economic value and earnings-based measures, ranging from simple calculations based on static simulations using current holdings to more sophisticated dynamic modelling techniques that reflect potential future business activities. Explanation: (i) Change in economic value can be measured using a variety of techniques, the most common of which are: (a) PV01: present value of a single basis point change in interest rates based on gap analysis; (b) EVE: economic value of equity; and (c) EvaR: economic value at risk. However, for reporting and disclosure purpose, banks are advised to use EVE as prescribed in paragraph 84 to paragraph 87 of these Directions. (ii) Earnings-based measures look at the expected change in NII over a shorter time horizon (typically one to three years) resulting from interest rate movements. Earnings measures can be differentiated according to the complexity of their forward calculations of income, from simple run-off models which assume that existing assets and liabilities mature without replacement, to constant balance sheet models which assume that assets and liabilities are replaced like for like, to the most complex dynamic models which reflect the changes in the volumes and types of business that will be undertaken in differing interest rate environments. However, for reporting and disclosure purpose, banks are advised to use constant balance sheet models as prescribed in paragraph 84 to paragraph 87 of these Directions. 72. Management Information System (MIS) in a bank should be able to retrieve accurate IRRBB information in a timely manner and should capture interest rate risk data on all of the bank’s material IRRBB exposures. There should be sufficient documentation of the major data sources used in the risk measurement process. Data inputs shall be automated as much as possible to reduce administrative errors. Data mapping shall be reviewed periodically and tested against an approved model. A bank shall monitor the type of data extracts and set appropriate controls. 73. The validation of IRRBB measurement methods and assessment of corresponding model / measurement risk shall be included in a formal policy process and reviewed / approved by the Board or its Committee. The policy shall specify the management roles and designate who is responsible for the development, implementation and use of models. In addition, the model oversight responsibilities as well as policies including the development of initial and ongoing validation procedures, evaluation of results, approval, version control, exception, escalation, modification and decommission processes need to be specified and integrated within the governance processes for model risk management. An effective validation framework shall include three core elements: -
evaluation of conceptual / methodological soundness, including developmental evidence; -
ongoing model monitoring, including process verification and benchmarking; and -
outcomes analysis, including back-testing of key internal parameters (e.g. stability of deposits, prepayments, early redemptions, pricing of instruments). 74. In addressing the expected initial and ongoing validation activities, the policy shall establish a hierarchical process for determining model risk soundness based on both quantitative and qualitative dimensions such as size, impact, past performance and familiarity with the modelling technique employed. The ongoing validation process shall establish a set of exception trigger events that obligate the model reviewers to notify the Board or its Committee in a timely fashion, in order to determine corrective actions and / or restrictions on model usage. Clear version control authorizations shall be designated, where appropriate, to model owners. With the passage of time and due to observations and new information gained over time, an approved model shall be modified or decommissioned. A bank shall articulate policies for model transition, including change and version control authorizations and documentation. 75. Prior to receiving authorization for usage, the process for determining model inputs, assumptions, modelling methodologies and outputs shall be reviewed and validated independently of the development of IRRBB models. The review and validation results and any recommendations on model usage shall be presented to and approved by the Board or its Committee or ALCO. Upon approval, the model shall be subject to ongoing review, process verification and validation at a frequency that is consistent with the level of model risk determined and approved by the Board. 76. A bank relying on third party vendors for IRRBB measurement models, or sourcing model inputs or assumptions from related modelling processes or sub-models (both in-house and vendor sourced), shall include them in the validation process. A bank shall document and explain model specification choices as part of the validation process. A bank that has purchased IRRBB models shall ensure there is adequate documentation of its use of those models, including any specific customization. If vendors provide input for market data, behavioral assumptions or model settings, the bank shall have a process in place to determine if those inputs are reasonable for its business and the risk characteristics of its activities. 77. Internal audit shall review the model risk management process as part of its annual risk assessment and audit plans. The audit activity shall review the integrity and effectiveness of the risk management system and the model risk management process. RBI will look into the systems and procedures of computation of IRRBB of a bank. If persistent deficiencies are observed, RBI shall require a bank to compute IRRBB based on ΔEVE as given in the paragraph 90 to paragraph 97 till such time all deficiencies are removed. H. Capital assessment for IRRBB under Pillar 2 78. A bank is responsible for evaluating the level of capital that it should hold, and for ensuring that it is sufficient to cover IRRBB and its related risks. The contribution of IRRBB to the overall internal capital assessment shall be based on the bank’s MIS outputs, taking account of key assumptions and risk limits. The overall level of capital shall be commensurate with both the bank’s actual measured level of risk (including for IRRBB) and its risk appetite and be duly documented in its ICAAP report under Pillar 2. 79. A bank shall develop its own methodologies for capital allocation, based on its risk appetite. In determining the appropriate level of capital, a bank shall consider both the amount and the quality of capital needed. 80. The capital adequacy for IRRBB shall be considered in relation to the risks to economic value, given that such risks are embedded in banks’ assets, liabilities and off-balance sheet items. For risks to future earnings, given the possibility that future earnings shall be lower than expected, a bank shall consider capital buffers. 81. Capital adequacy assessments for IRRBB shall factor in: -
the size and tenor of internal limits on IRRBB exposures, and whether these limits are reached at the point of capital calculation; -
the effectiveness and expected cost of hedging open positions that are intended to take advantage of internal expectations of the future level of interest rates; -
the sensitivity of the internal measures of IRRBB to key modelling assumptions; -
the impact of shock and stress scenarios on positions priced off different interest rate indices (basis risk); -
the impact on economic value and NII of mismatched positions in different currencies; -
the impact of embedded losses; -
the distribution of capital relative to risks across legal entities that form part of a capital consolidated group, in addition to the adequacy of overall capital on a consolidated basis; -
the drivers of the underlying risk; and -
the circumstances under which the risk might crystallise. 82. The outcomes of the capital adequacy for IRRBB shall be considered in bank’s ICAAP and flow through to assessments of capital associated with business lines.RBI shall assess the adequacy of capital relative to its IRRBB exposures to determine whether the bank requires more detailed examination and should potentially be subject to additional capital requirements and / or other mitigation actions. This assessment need not be linked to the outlier test set out below. I. Outlier Test 83. A bank which generate a decline in EVE (i.e. ΔEVE) of more than 15 percent of its Tier 1 capital under any one of the six prescribed interest rate shock scenarios mentioned in paragraph 88, shall be identified as an ‘outlier’ potentially having undue IRRBB exposure. Such a bank shall be required by the RBI to take one or more of the following actions as determined during the Supervisory Review and Evaluation Process (SREP): (a) raise additional capital; (b) reduce its IRRBB exposures (e.g., by hedging); (c) set constraints on the internal risk parameters used by a bank; and / or (d) improve its risk management framework. J. Reporting and Disclosures 84. Reports detailing a bank’s IRRBB exposures shall be provided to the Board or its appropriate committees, on a timely basis and reviewed regularly. The IRRBB reports shall provide aggregate information as well as sufficient reporting detail to enable the Board or its committee to assess the sensitivity of the bank to changes in market conditions. The IRRBB management policies and procedures shall be reviewed by the Board or its Committees in light of the reports, to ensure that they remain appropriate and sound. It shall be ensured that analysis and risk management activities related to IRRBB are conducted by competent staff with technical knowledge and experience, consistent with the nature and scope of the bank’s activities. Portfolios that may be subject to significant mark-to-market movements shall be clearly identified within a bank’ MIS and subject to oversight in line with any other portfolios exposed to market risk. 85. While the types of reports prepared for the Board or its Committee will vary based on the bank’s portfolio composition, the board shall be informed at least semi-annually on the following: -
summaries of the bank’s aggregate IRRBB exposures, and explanatory text that highlights the assets, liabilities, cash flows, and strategies that are driving the level and direction of IRRBB; -
reports demonstrating the bank’s compliance with policies and limits; -
key modelling assumptions such as NMD characteristics, prepayments on fixed rate loans and currency aggregation; -
results of stress tests, including assessment of sensitivity to key assumptions and parameters; -
summaries of the reviews of IRRBB policies, procedures and adequacy of the measurement systems, including any findings of internal and external auditors and / or other equivalent external parties (such as consultants); and -
results of the periodic model reviews and audits as well as comparisons of past forecasts or risk estimates with actual results to inform potential modelling shortcomings. 86. A bank shall disclose the measured ΔEVE and ΔNII under the prescribed interest rate shock scenarios set out in paragraph 88 and 89. Disclosures shall be in the formats given in Table 19. 87. A bank shall be guided by the following while computing the impacts on ΔEVE and ΔNII for the purpose of disclosures: (1) For the disclosure of ΔEVE (i) A bank shall exclude its own equity from the computation of the exposure level. (ii) A bank shall include all cash flows from all interest rate-sensitive assets, liabilities and off-balance sheet items in the banking book in the computation of its exposure. A bank shall disclose whether it has excluded or included commercial margins and other spread components in its cash flows. Explanation: Interest rate-sensitive assets are assets which are not deducted from Common Equity Tier 1 capital and which exclude (i) fixed assets such as real estate or intangible assets as well as (ii) equity exposures in the banking book (iii) Cash flows shall be discounted using either a risk-free rate or a risk-free rate including commercial margins and other spread components (only if the bank has included commercial margins and other spread components in its cash flows). A Bank shall disclose whether it has discounted its cash flows using a risk-free rate or a risk-free rate including commercial margins and other spread components. Explanation: The discounting factors must be representative of a risk-free zero-coupon rate. An example of an acceptable yield curve is Zero Coupon Yield Curve published by the benchmark administrator. (iv) ΔEVE shall be computed with the assumption of a run-off balance sheet, where existing banking book positions amortise and are not replaced by any new business. (2) For the disclosure of ΔNII -
A bank shall include expected cash flows (including commercial margins and other spread components) arising from all interest rate-sensitive assets, liabilities and off-balance sheet items in the banking book. -
ΔNII shall be computed assuming a constant balance sheet, where maturing or repricing cash flows are replaced by new cash flows with identical features as regards the amount, repricing period and spread components. -
ΔNII shall be disclosed as the difference in future interest income over a rolling 12-month period. K. Interest Rate Shock Scenarios 88. A bank shall apply six prescribed interest rate shock scenarios to capture parallel and non-parallel gap risks for EVE and two prescribed interest rate shock scenarios for NII (the scenarios of parallel shock up and parallel shock down). These scenarios are applied to IRRBB exposures in each currency for which a bank has material positions. In order to accommodate heterogeneous economic environments across jurisdictions, the six shock scenarios reflect currency specific absolute shocks as specified in table 14 below. Under this approach, IRRBB is measured by means of the following six scenarios: -
parallel shock up; -
parallel shock down; -
steepener shock (short rates down and long rates up); -
flattener shock (short rates up and long rates down); -
short rates shock up; and -
short rates shock down 89. The interest rate shocks for exposures to INR and other currencies are as follows: | Table 14 | | Specified size of interest rate shocks: | | | INR | ARS, BRL, IDR, MXN, RUB, TRY, ZAR | AUD | CAD, USD, SEK, SAR | CHF | CNY, GBP | EUR, HKD | JPY | KRW | SGD | | Parallel | 250 | 400 | 300 | 200 | 100 | 250 | 200 | 100 | 300 | 150 | | Short | 300 | 500 | 450 | 300 | 150 | 300 | 250 | 100 | 400 | 200 | | Long | 200 | 300 | 200 | 150 | 100 | 150 | 150 | 100 | 200 | 100 | Explanation: These shocks have been calibrated by BCBS based on data of historical time series ranging from 2000 to 2015 for various maturities. These shocks will be reviewed by RBI from time to time. Exposure in currencies less than five percent of the total of either the bank’s global assets or global liabilities, shall be treated under residual category and the shocks pertaining to the largest among the residual currencies shall be applied to it. If a bank has exposures to currencies not listed in table 14, the highest of the shocks prescribed will be applicable. Given the above table, the instantaneous shocks to the risk-free rate for parallel, short and long, for each currency, the following parameterisations of the six interest rate shock scenarios shall be applied: (1) Parallel shock for currency c: a constant parallel shock up or down across all time buckets. Explanations: (a) The value of x in the denominator of the function e^(-tk/x) controls the rate of decay of the shock. This should be set to the value of 4 for all currencies. (b) tk is the midpoint (in time) of the kth bucket and tK is the midpoint (in time) of the last bucket K. There are 19 buckets in the indicative framework, but the analysis may be generalised to any number of buckets. (4) Rotation shocks for currency c: involving rotations to the term structure (i.e. steepeners and flatteners) of the interest rates whereby both the long and short rates are shocked and the shift in interest rates at each tenor midpoint is obtained by applying the following formulas to those shocks: Illustrations: • Short rate shock: If the short rate shock was +100 bp, the increase in the yield curve at tk =3.5 years would be 41.7 bp. ΔRshort,c (3.5years) = 100 ∙ 0.417 = 41.7 bp • Steepener For the same point on the yield curve as above, tk =3.5 years, if the absolute value of the short rate shock was 100 bp and the absolute value of the long rate shock was 100 bp (as for the Japanese yen), the change in the yield curve at tk=3.5 years would be the sum of the effect of the short rate shock plus the effect of the long rate shock in basis points: L. Indicative methodology for computing ΔEVE 90. Banks have been provided with flexibility to develop their own system to compute ΔEVE. However, it is expected that banks’ systems and parameters used to compute ΔEVE are not significantly different from the methodology and process provided in this paragraph Wherever, significant deviation is considered desirable by a bank, a well-reasoned argument for the same shall be recorded and made available to RBI when requested. 91. Steps involved in computation: The steps involved in measuring a bank’s ΔEVE for IRRBB would be as follows: Step 1: Interest rate-sensitive banking book positions are allocated to one of three categories (i.e. amenable, less amenable and not amenable to standardisation). Step 2: Determination of slotting of cash flows based on repricing maturities. This is a straightforward translation for positions amenable to standardisation. For positions less amenable to standardisation, they are excluded from this step. For positions with embedded automatic interest rate options, the embedded interest rate option is stripped out from the process of slotting of notional repricing cash flow. The optionality shall be treated together with other interest rate options as per Step 4 given below. For positions that are not amenable to standardisation, there is a separate treatment for: (a) Non-Maturity Deposits (NMDs) – According to separation of core and non-core cash flows via the approach described in subsequent paragraphs. (b) Behavioural options (fixed rate loans subject to prepayment risk and term deposits subject to early redemption risk) – Behavioural parameters relevant to the position type may rely on a scenario-dependent look-up table provided in subsequent paragraphs. Step 3: Determination of ΔEVE for relevant interest rate shock scenarios for each currency. The ΔEVE is measured per currency for all six prescribed interest rate shock scenarios. Step 4: Add-ons for changes in the value of automatic interest rate options (whether explicit or embedded) are added to the EVE changes. Automatic interest rate options sold are subject to full revaluation (net of automatic interest rate options bought to hedge sold interest rate options wherever permitted or possible) under each of the six prescribed interest rate shock scenarios for each currency. Changes in values of options are then added to the changes in the EVE measure under each interest rate shock scenario on a per currency basis. Step 5: IRRBB EVE calculation. The ΔEVE under the standardised framework will be the maximum of the worst aggregated reductions to EVE across the six prescribed interest rate shocks in paragraph 88. 92. Cash flow bucketing (1) A bank may project all future notional repricing cash flows arising from interest rate-sensitive assets, liabilities, and off-balance sheet items onto 19 predefined time buckets (indexed numerically by k) as given in table 15 below into which they fall according to their repricing dates. Explanation: Assets which are not deducted from CET 1 capital and which exclude (i) fixed assets such as real estate or intangible assets and (ii) equity exposures in the banking book. Liabilities (including all non-remunerated deposits), other than CET 1 capital under the Basel III framework. (2) A bank may deduct commercial margins and other spread components from the notional repricing cash flows, using a prudent and transparent methodology, if they consider it appropriate to do so. (3) Floating rate instruments are assumed to reprice fully at the first reset date. Hence, the entire principal amount is slotted into the bucket in which that date falls, with no additional slotting of notional repricing cash flows to later time buckets (other than the spread component which is not repriced). | Table 15 | | Indicative table for maturity schedule for notional repricing cash flows repricing at tCF | | Time Bucket | | Short-term rates | Overnight (0.0028Y) | Overnight< tCF <= one month (O/N-1 month) (0.0417Y) | 1-month < tCF <= 3 months (0.1667Y) | 3 months < tCF <=6 months (0.375Y) | 6 months < tCF <= 9 months (0.625Y) | 9 months < tCF <= 1 year (0.875Y) | 1 year < tCF <= 1.5 years (1.25Y) | 1.5 year < tCF <= 2 years (1.75Y) | | Medium-term rates | 2 years < tCF <= 3 years (2.5Y) | 3 years < tCF <= 4 years (3.5Y) | 4 years < tCF <= 5 years (4.5Y) | 5 years < tCF <= 6 years (5.5Y) | 6 years < tCF <= 7 years (6.5Y) | | | Long-term rates | 7 years < tCF <= 8 years (7.5Y) | 8 years < tCF <= 9 years (8.5Y) | 9 years < tCF <= 10 years (9.5Y) | 10 years < tCF <= 15 years (12.5Y) | 15 years < tCF <= 20 years (17.5Y) | tCF > 20 years (25Y) | | | The number in brackets is the time bucket’s midpoint. (4) All notional repricing cash flows associated with interest rate-sensitive assets, liabilities and off-balance sheet items, for each currency, are allocated to the prescribed time buckets (henceforth, denoted by CFi,c (k) under interest rate shock scenario i and currency c) based on their amenability to standardisation. 93. Process for positions that are amenable to standardisation (1) Notional repricing cash flows can be slotted into appropriate time buckets based on their contractual maturity, if subject to fixed coupons, or into the next repricing period if coupons are floating. Positions amenable to standardisation fall into two categories: -
Fixed rate positions: Such positions generate cash flows that are certain till the point of contractual maturity. All coupon cash flows and periodic or final principal repayments shall be allocated to the appropriate time buckets based on their contractual maturity. Explanation: Examples are fixed rate loans without embedded prepayment options, term deposits without redemption risk and other amortising products such as mortgage loans. -
Floating rate positions: Such positions generate cash flows that are not predictable past the next repricing date other than that the present value would be reset to par. Accordingly, such instruments can be treated as a series of coupon payments until the next repricing and a par notional cash flow at the appropriate time bucket into the next reset date bucket. (2) Positions amenable to standardisation include positions with embedded automatic interest rate options where the optionality (whether sold or bought) shall be ignored for the purpose of slotting of notional repricing cash flows. That is, the stripped-out embedded automatic interest rate option must be treated together with explicit automatic interest rate options. 94. Process for positions that are less amenable to standardisation For explicit automatic interest rate options, as well as embedded automatic interest rate options that are separated or stripped out from assets or liabilities (i.e. the host contract), the methodology for automatic interest rate options is described in subsequent paragraphs. Explanation: An example of a product with embedded automatic interest rate options is a floating rate mortgage loan with embedded caps and / or floors. Any behavioural option position with wholesale customers that may change the pattern of notional repricing cash flows are considered as embedded automatic interest rate option. 95. Process for positions not amenable to standardisation (1) Positions not amenable to standardisation include (i) NMDs, (ii) fixed rate loans subject to prepayment risk, and (iii) term deposits subject to early redemption risk. (2) Treatment of NMDs A bank may first separate its NMDs according to the nature of the deposit and depositor. The bank shall then identify, for each category, the core and non-core deposits, up to the limits specified in table 16. Finally, the bank shall determine an appropriate cash flow slotting for each category, in accordance with the average maturity limits specified in table 16. | Table 16 | | Caps on core deposits and average maturity by category | | | Cap on proportion of core deposits (%) | Cap on average maturity of core deposits (years) | | Retail / transactional | 90 | 5 | | Retail / non-transactional | 70 | 4.5 | | Wholesale | 50 | 4 | (i) NMD categories NMDs shall be segmented into retail and wholesale categories. Retail deposits are defined as deposits placed by an individual person. Deposits made by small business customers (with total aggregate deposits up to Rs. 7.5 crores) and managed as retail exposures are considered having similar interest rate risk characteristics to retail accounts and thus can be treated as retail deposits. Retail deposits shall be considered as held in a transactional account when regular transactions are carried out in that account (e.g., when salaries are regularly credited) or when the deposit is non-interest bearing. Other retail deposits shall be considered as held in a non-transactional account. Deposits from legal entities, sole proprietorships, or partnerships are captured in wholesale deposit categories. (ii) Separation of NMDs A bank shall distinguish between the stable and the non-stable parts of each NMD category using observed volume changes over the past 10 years. The stable NMD portion is the portion that is found to remain undrawn with a high degree of likelihood. Core deposits are the proportion of stable NMDs which are unlikely to reprice even under significant changes in the interest rate environment. The remainder constitutes non-core NMDs. A bank shall estimate its level of core deposits using this two-step procedure for each deposit category, and then to aggregate the results to determine the overall volume of core deposits subject to imposed caps as shown in table 16. (iii) Cash flow slotting NMDs shall finally be slotted into the appropriate time bucket. Non-core deposits shall be considered as overnight deposits and accordingly shall be placed into the overnight time bucket. A bank shall determine an appropriate cash flow slotting procedure for each category of core deposits, up to the maximum average maturity per category as specified in table 16. (3) Treatment of positions with behavioural options other than NMDs (i) The treatment set out in this paragraph applies only to behavioural options related to retail customers. Where a wholesale customer has a behavioural option that may change the pattern of notional repricing cash flows, such options must be included within the category of automatic interest rate options. Explanation: An example of such an option would be a puttable fixed coupon bond issued by the bank in the wholesale market, for which the owner has the right to sell the bond back to the bank at a fixed price at any time. (ii) The standardised framework is applied to fixed rate loans subject to prepayments and term deposits subject to early redemption risk. In each case, the customer has an option, which, if exercised, will alter the timing of a bank’s cash flows. The customer’s exercise of the option is, among other factors, influenced by changes in interest rates. In the case of the fixed rate loan, the customer has an option to repay the loan early (i.e., prepay); and for a fixed-term deposit, the customer may have an option to withdraw their deposit before the scheduled date. (iii) The optionality in these products is estimated using a two-step approach. Firstly, baseline estimates of loan prepayments and early withdrawal of fixedterm deposits are calculated given the prevailing term structure of interest rates. In the second stage, the baseline estimates are multiplied by scenariodependent scalars that reflect the likely behavioural changes in the exercise of the options. (4) Fixed rate loans subject to prepayment risk (i) Prepayments, or parts thereof, for which the economic cost is not charged to the borrower, are referred to as uncompensated prepayments. For loan products where the economic cost of prepayments is never charged, or charged only for prepayments above a certain threshold, the standardised framework for fixed rate loans subject to prepayments set out below must be used to assign notional repricing cash flows. (ii) A bank may determine the baseline Conditional Prepayment Rate (CPR) for each portfolio p of homogeneous prepayment-exposed loan products denominated in currency c, under the prevailing term structure of interest rates. The CPR for each portfolio of homogeneous prepayment- exposed loan products denominated in currency c, under interest rate scenario i, is given as: (iii) Prepayment speeds vary according to the interest rate shock scenario. The multipliers γi reflect the expectation that prepayments will generally be higher during periods of falling interest rates and lower during periods of rising interest rates. | Table 17 | | CPRs under the shock scenarios | | Scenario number (i) | Interest rate shock scenarios | γi (scenario multiplier) | | 1 | Parallel up | 0.8 | | 2 | Parallel down | 1.2 | | 3 | Steepener | 0.8 | | 4 | Flattener | 1.2 | | 5 | Short rate up | 0.8 | | 6 | Short rate down | 1.2 | (iv) The prepayments on the fixed rate loans must ultimately be reflected in the relevant cash flows (scheduled payments on the loans, prepayments and interest payments). These payments can be broken up into scheduled payments adjusted for prepayment and uncompensated prepayments: (5) Term deposits subject to early redemption risk (i) Term deposits lock in a fixed rate for a fixed term and would usually be hedged on that basis. However, term deposits may be subject to the risk of early withdrawal, also called early redemption risk. Consequently, term deposits may only be treated as fixed rate liabilities and their notional repricing cash flows slotted into the time buckets up to their corresponding contractual maturity dates if it can be shown that: -
the depositor has no legal right to withdraw the deposit; or -
an early withdrawal results in a significant penalty that at least compensates for the loss of interest between the date of withdrawal and the contractual maturity date and the economic cost of breaking the contract. (ii) If neither of these conditions is met, the depositor holds an option to withdraw, and the term deposits are deemed to be subject to early redemption risk. Further, if a bank issues term deposits that do not meet the above criteria to wholesale customers, they must assume that the customer will always exercise the right to withdraw in the way that is most disadvantageous to the bank (i.e. the deposit is classified as an automatic interest rate option). (iii) A bank may determine the baseline term deposit redemption ratio TDRR, applicable to each homogeneous portfolio p of term deposits in currency c and use it to slot the notional repricing cash flows. Term deposits which are expected to be redeemed early are slotted into the overnight time bucket (k=1).
| Table 18 | | Term deposit redemption rate (TDRR) scalars under the shock scenarios | | Scenario (i) | Interest rate shock scenarios | Scalar multipliers ui | | 1 | Parallel up | 1.2 | | 2 | Parallel down | 0.8 | | 3 | Steepener | 0.8 | | 4 | Flattener | 1.2 | | 5 | Short rate up | 1.2 | | 6 | Short rate down | 0.8 | (v) The notional repricing cash flows which are expected to be withdrawn early under any interest rate shock scenario i are described as: 96. Automatic interest rate options (1) This paragraph describes the method for calculating an add-on for automatic interest rate options, whether explicit or embedded. This applies to sold automatic interest rate options. A bank has a choice to either include all bought automatic options or include only automatic options used for hedging sold automatic interest rate options: (i) For each sold automatic option o in currency c, the value change, denoted ΔFVAOi,c, is calculated for each interest rate shock scenario i. The value change is given by: (a) an estimate of the value of the option to the option holder, given: -
a yield curve in currency c under the interest rate shock scenario i; and -
a relative increase in the implicit volatility of 25 percent; minus (b) the value of the sold option to the option holder, given the yield curve in currency c at the valuation date. (ii) Likewise, for each bought automatic interest rate option q, a bank must determine the change in value of the option between interest rate shock scenario i and the current interest rate term structure combined with a relative increase in the implicit volatility of 25%. This is denoted as ΔFVAO qi,c. i,c. (iii) A bank’s total measure for automatic interest rate option risk under interest rate shock scenario i in currency c is calculated as: Where nc (mc) is the number of sold (bought) options in currency c. Explanation: The most important automatic interest rate options likely to occur in the banking book are caps and floors, which are often embedded in banking products. Swaptions, such as prepayment options on non-retail products, may also be treated as automatic interest rate options, as, in cases where such options are held by sophisticated financial market counterparties, the option holder will almost certainly exercise the option if it is in their financial interest to do so. Any behavioural option positions with wholesale customers that may change the pattern of notional repricing cash flows are considered as embedded automatic interest rate options for the purposes of this subparagraph. (2) If the bank chooses to only include bought automatic interest rate options that are used for hedging sold automatic interest rate options, the bank must, for the remaining bought options, add any changes in market values reflected in the regulatory capital measure of the respective capital ratio (i.e. CET1, AT1 or total capital) to the total automatic interest rate option risk measure KAOi,c. 97. Determination of change in EVE for each currency for all six-prescribed interest rate shock scenarios The change in economic value of equity under scenario i and currency c is calculated for each currency, as follows: (i) Under each scenario i, all notional repricing cash flows are slotted into the respective time bucket k € {1, 2, ….,K} . Within a given time bucket k all positive and negative notional repricing cash flows are netted to form a single long or short position, with the cancelled parts removed from the calculation. Following this process across all time buckets leads to a set of notional repricing cash flows CFi,c(k), k € {1,2,….,K}. Explanations: -
Intra-bucket mismatch arises as notional repricing cash flows with different maturity dates but falling within the same time bucket, are assumed to match perfectly. This is mitigated by introducing a high number of time buckets (i.e. K=19) -
Note that depending on the approach taken for NMDs, prepayments and products with other embedded behavioural options, the notional repricing cash flows may vary by scenario i (scenario-dependent cash flow products). (ii) Net notional repricing cash flows in each time bucket k are weighted by a continuously compounded discount factor: that reflects the interest rate shock scenario i in currency c as set out in paragraph 96(1)(iii), and where tk is the midpoint of time bucket k. This results in a weighted net position, which may be positive or negative for each time bucket. The cash flows shall be discounted using either a risk-free rate or a risk-free rate including commercial margin and other spread components (only if the bank has included commercial margins and other spread components in its cash flows). Explanation: The discounting factors must be representative of a risk-free zero coupon rate. An example of an acceptable yield curve is Zero Coupon Yield Curve published by the benchmark administrator. (iii) These risk-weighted net positions are summed to determine the EVE in currency c under scenario i (excluding automatic interest rate option positions): M. Formats for disclosure of IRRBB | Table 19 | | Purpose: To provide a description of the risk management objectives and policies concerning IRRBB | | Scope of application: Mandatory for all banks | | Content: Qualitative and quantitative information | | Frequency: Annual | | Format: Flexible | | Qualitative disclosure | | A | A description of how the bank defines IRRBB for purposes of risk control and measurement. | | B | A description of the bank’s overall IRRBB management and mitigation strategies. Examples are: monitoring of EVE and NII in relation to established limits, hedging practices, conduct of stress testing, outcomes analysis, the role of independent audit, the role and practices of the ALCO, the bank’s practices to ensure appropriate model validation, and timely updates in response to changing market conditions. | | C | The periodicity of the calculation of the bank’s IRRBB measures, and a description of the specific measures that the bank uses to gauge its sensitivity to IRRBB. | | D | A description of the interest rate shock and stress scenarios that the bank uses to estimate changes in the economic value and in earnings. | | E | Where significant modelling assumptions used in the bank’s internal measurement system (i.e. the EVE metric generated by the bank for purposes other than disclosure, e.g. for internal assessment of capital adequacy) are different from the modelling assumptions prescribed for the disclosure in Table B, the bank should provide a description of those assumptions and of their directional implications and explain its rationale for making those assumptions (e.g. historical data, published research, management judgment and analysis). | | F | A high-level description of how the bank hedges its IRRBB, as well as the associated accounting treatment. | | G | A high-level description of key modelling and parametric assumptions used in calculating ∆EVE and ∆NII in Table B, which includes: • For ∆EVE, whether commercial margins and other spread components have been included in the cash flows used in the computation and discount rate used. • How the average repricing maturity of non-maturity deposits in (1) below has been determined (including any unique product characteristics that affect assessment of repricing behaviour). • The methodology used to estimate the prepayment rates of customer loans, and / or the early withdrawal rates for time deposits, and other significant assumptions. • Any other assumptions (including for instruments with behavioural optionalities that have been excluded) that have a material impact on the disclosed ∆EVE and ∆NII in Table B, including an explanation of why these are material. • Any methods of aggregation across currencies and any significant interest rate correlations between different currencies. | | H | (Optional) Any other information which the bank wishes to disclose regarding its interpretation of the significance and sensitivity of the IRRBB measures disclosed and / or an explanation of any significant variations in the level of the reported IRRBB since previous disclosures. | | Quantitative disclosures | | 1 | Average repricing maturity assigned to NMDs. | | 2 | Longest repricing maturity assigned to NMDs. | | | Quantitative information is based on the daily or monthly average of the year or on the data as of the reporting date. Note: If a bank computes the information daily / monthly, it cannot choose to disclose it based on data as on March 31 only. In such cases, bank should disclose the information based on daily / monthly average of the year. | Chapter VI – Repeal and Other provisions A. Repeal and saving 98. With the issue of these Directions, the existing Directions, instructions, and guidelines for commercial banks related to standardised approach for measuring counterparty credit risk exposures, exposures to CCPs, minimum capital requirements for operational risk, and Interest rate risk in banking book stand repealed, as communicated vide notification dated XX, 2025. The instructions and guidelines already repealed shall continue to remain repealed. 99. Notwithstanding such repeal, any action taken or purported to have been taken, or initiated under the repealed directives, instructions and guidelines shall continue to be governed by the provisions thereof. All approvals or acknowledgments granted under these repealed lists shall be deemed as governed by these Directions. B. Application of other laws not barred 100. The provisions of these Directions shall be in addition to, and not in derogation of the provisions of any other laws, rules, regulations or directions, for the time being in force. C. Interpretations 101. For the purpose of giving effect to the provisions of these Directions or in order to remove any difficulties in the application or interpretation of the provisions of these Directions, the RBI may, if it considers necessary, issue necessary clarifications in respect of any matter covered herein and the interpretation of any provision of these Directions given by the RBI shall be final and binding. |