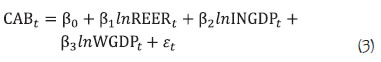
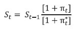
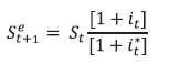
by Michael Debabrata Patra, Harendra Behera, Dhirendra Gajbhiye, Sujata Kundu and Rajas Saroy^ Completing the full suite of equilibrium exchange rates for India, this paper highlights the role of price differentials, interest rate differentials, social thrift, productivity and the current account balance in determining the Indian rupee’s equilibrium value. Introduction Equilibrium exchange rate models provide guiding frameworks for assessing the “fair value” of the exchange rate, based on economic fundamentals. In this sequel to the November 2024 effort (Patra et al., 2024), we expand the suite of equilibrium exchange rates from the purchasing power parity (PPP), the behavioural equilibrium exchange rate (BEER), the permanent equilibrium exchange rate (PEER) and the fundamental equilibrium exchange rate (FEER) approaches to cover the capital enhanced equilibrium exchange rate (CHEER), the desired equilibrium exchange rate (DEER) and the natural real exchange rate (NATREX) approaches (Annex Table A1). To recapitulate, while the PPP model links exchange rates to price level differences across countries, the BEER framework relates exchange rate assessment to current fundamentals. The PEER refines BEER by focusing on long-term sustainable fundamentals. The FEER determines the equilibrium real exchange rate that ensures both internal (full employment and stable prices) and external (sustainable current account balance) equilibrium. A variant of FEER is the DEER, which incorporates optimal policy such as policymakers’ current account targets, thereby bringing in a normative perspective. The CHEER integrates interest rate parity conditions with PPP to evaluate the nominal exchange rate behaviour in a short to medium run framework. The NATREX approach emphasises medium to long run exchange rates by accounting for capital and debt dynamics and removing speculative factors, thus providing a broader, time-variant framework (Chart 1). This article is structured as follows. Select stylised facts specific to the models estimated in this paper are presented in Section II, followed by the description of these alternative approaches in Section III. Methodological details and estimation results are discussed in Section IV and Section V concludes the paper. II. Stylised Facts Uncovered Interest Parity (UIP) and Purchasing Power Parity (PPP) are the starting point for understanding currency valuation and for identifying misalignments. UIP states that with efficient capital markets, the difference in interest rates between two countries will equal the expected relative change in their exchange rates over the same period, ensuring no arbitrage opportunities for investors: where it and it* are home and foreign nominal interest rates, St is the exchange rate at time t, and superscript ‘e’ denotes expected value (Tanner, 1998). When relative purchasing power parity holds, exchange rates adjust to offset differences in inflation between two countries. If one country has higher inflation, its currency should depreciate relative to the other to maintain the same purchasing power for goods over time. Accordingly, the relative PPP exchange rate is given by: where πt and πt* are home and foreign inflation rates. The actual INR-USD spot exchange rate deviated substantially from its level implied by PPP and UIP during the global financial crisis (GFC) of 2008-09 and taper tantrum of 2013-14 (Charts 2a and b). Deviations arose from market stress, risk aversion, and capital outflows from emerging markets, including India. This led to widening of interest rate differentials and significant exchange rate volatility. Ahead of the taper tantrum, India’s high current account deficit and inflation widened interest rate differentials and worsened UIP deviations. In contrast, recent years have seen significantly lower deviations from UIP, reflecting improved macroeconomic stability. The current account deficit and inflationary pressures eased. Episodes of capital flows enabled India’s forex reserves to grow. These developments helped to bring about a closer alignment between interest rate differentials and exchange rate expectations. III. Model Description The capital enhanced equilibrium exchange rate (CHEER) model (MacDonald, 2000), is one of the popular approaches to estimate the equilibrium nominal exchange rate. It bridges the gap between traditional goods market equilibrium (PPP) and financial market behaviour (UIP) (Juselius, 1990 and 1995; Johansen and Juselius, 1992). This makes CHEER particularly relevant for analysing exchange rate movements driven by interest rate differentials and capital flows. The underlying rationale for the CHEER model is to explain the deviations of nominal exchange rate from its long run equilibrium indicated by the PPP as a result of non-zero interest rate differentials that may be necessary to finance the capital account of an economy’s balance of payments (BoP).1 By jointly analysing UIP and PPP, CHEER offers a comprehensive framework to understand exchange rate dynamics in the context of market integration. It involves the estimation of a cointegrating relationship between relative prices, nominal interest rate differentials and the nominal exchange rate.  The desired equilibrium exchange rate (DEER) emerged from identifying the potential shortcomings of the fundamental equilibrium exchange rate (FEER) approach. The concept of FEER may involve an arbitrary definition of medium-term fundamentals, particularly with regard to the definition of the target current account, sustainable capital flows and optimal fiscal policy. The FEER is inherently normative and is, therefore, tied to some kind of a ‘desired’ policy trajectory (Williamson, 1994). In the case of DEER, the objective is to obtain an equilibrium real exchange rate aligned with specific policy goals as for instance, the desired path of fiscal policy, sustainable external debt levels or targeted current account balances (Égert, 2003). The distinction of DEER lies in being goal-driven, focusing on what exchange rate policymakers desire to achieve rather than optimality considerations. While closely related to the FEER, DEER’s primary advantage is its immediate applicability in policy contexts. Unlike the neutral stance of the FEER model, DEER incorporates normative preferences, allowing policymakers to align currency valuation with strategic macroeconomic objectives. Unlike static models, DEER incorporates hysteresis, acknowledging that prolonged exchange rate misalignments affect net foreign assets and debt servicing costs, necessitating dynamic recalibration. This path-dependent approach makes DEER a powerful tool for assessing misalignments and their implications on macroeconomic stability (Artis and Taylor, 1995). It considers variables like the real effective exchange rate (REER), trade elasticities, domestic and foreign output levels, and target for current account balances to estimate the degree of misalignment between observed exchange rates and policy-driven equilibrium rates. The NATREX is a long-run equilibrium concept defined as ‘the rate that would prevail if speculative and cyclical factors could be removed while unemployment is at its natural rate’ (Stein, 1994). The NATREX approach considers exchange rate dynamics as consisting of three components – the deviation of the current (short-term) exchange rate from the medium-term value; the deviation of the medium-term real exchange rate from the long-term equilibrium value; and the long-term equilibrium exchange rate that is determined solely by economic fundamentals, which are defined as productivity and time preference (or “social thrift”) at home and abroad. It is the real exchange rate which equates the current account to ex ante savings and investment implied by fundamentals relating to productivity and thrift, which are exogenous. It is also consistent with portfolio balance, equating domestic and world real interest rates. The NATREX dynamically evolves with changes in fundamentals, capturing how structural shifts like productivity growth or shifts in savings patterns influence the real exchange rate trajectory. This makes it a valuable tool for assessing exchange rate misalignments and understanding the factors driving deviations from the long run equilibrium. Unlike models focused on short-term market forces like the PPP, BEER or CHEER, the NATREX integrates structural and dynamic factors into the natural adjustment of an economy towards its long run equilibrium. Additionally, unlike other medium run models like the FEER and DEER, it does not require normative assumptions about underlying variables and allows for a time-varying equilibrium based on exogenous fundamentals. Thus, it has two main components – the long run equilibrium real exchange rate and the medium run dynamics of adjustment towards this equilibrium. It is estimated by identifying a long run cointegrating relationship between the real exchange rate and the fundamentals, with an error correction term included to capture the trajectory of the real exchange rate towards the NATREX. While CHEER provides the estimated equilibrium nominal exchange rate in the short run and the medium run, DEER provides the equilibrium REER that should prevail in the medium run, while NATREX estimates the long run equilibrium REER. Compared to models like FEER and NATREX, which emphasise optimal policy paths/targets or long run equilibrium respectively, CHEER and DEER are easier to estimate and operationalise. Accordingly, in conjunction with the prequel endeavour of November 2024, we now offer a comprehensive framework for understanding exchange rate dynamics under various alternate models capturing perspectives on different time dynamics. IV. Empirical Methodology and Results The following equation is used to estimate the equilibrium NEER and the equilibrium INR-USD nominal exchange rate through the CHEER approach: Based on equation (1), the equilibrium nominal exchange rate can be estimated in (2), with the hat symbol signifying the fitted series: A suite of vector error correction models (VECMs) are used on quarterly data from 2004-05:Q1 to 2024-25:Q2 (Annex Table A2 provides details of the variables/indicators that have been used for the empirical analysis) in order to determine the equilibrium NEER and the INR-USD bilateral exchange rate using the CHEER approach. In order to check the time series properties of the variables, standard unit root tests are conducted. All the variables in equation (1), i.e., the NEER, the INR-USD exchange rate, price differential and interest rate differential are found to be integrated of order 1 (Annex Table A3). As per the Johansen-Hendry-Juselius contegration test, both trace and max-eigenvalue tests indicate the presence of a long run cointegrating relationship among the variables. Therefore, a VECM is considered to be appropriate for estimating the equilibrium nominal exchange rate under the CHEER approach. The regression coefficients corresponding to the price differential and the interest rate differential turn out to be statistically significant with the expected signs (Table 1). The results indicate that in the long run, an increase in the price differential between India and the global economy (or the US) leads to a depreciation of the NEER (or the bilateral INR-USD exchange rate) as higher domestic prices would reduce export competitiveness, while an increase in the long term interest rate spread (or the short term interest rate spread) between India and the US leads to an appreciation of the nominal exchange rate on account of net capital inflows to the domestic economy.  The long run coefficients thus obtained can be used to estimate the equilibrium NEER. In the short run, however, own lags of NEER / INR-USD exchange rate turn out to be statistically significant. The error correction term (ect) is also found to be statistically significant across all model specifications, which indicates that the models are stable. The models also broadly satisfy post-estimation diagnostics. The fitted values of the NEER / INR-USD estimated by using the medium run coefficients represent the long run equilibrium NEER / INR-USD exchange rate under the CHEER approach. Based on the CHEER approach, the actual NEER and the INR-USD nominal exchange rate have been broadly aligned to their medium run equilibrium levels, barring the period of the taper tantrum (Chart 3). For the DEER approach, the following econometric model is estimated by relating the current account balance to GDP ratio (CAB) to key macroeconomic variables: where β0 is the intercept, β1, β2 and β3 represent the long run coefficients from the ARDL model. The calculation provides a measure of the DEER, reflecting the level of REER consistent with sustainable external and internal balances. The model incorporates the log of the real effective exchange rate (lnREER), the log of India’s real GDP (lnINGDP), the log of real global GDP proxied by GDP of G20 countries (lnWGDP) and two dummy variables capturing the GFC and the taper tantrum. All variables have been de-seasonalised by using the standard X-13 ARIMA procedure. The estimation is conducted by using the ARDL approach, which captures both short run dynamics and long run relationships over the sample period from 2004-05:Q1 to 2024-25:Q2. To calculate the DEER, long run sustainable components of the explanatory variables (REER, CAB, INGDP, and WGDP) are extracted by using the Hodrick-Prescott (HP) filter, which smooths time-series data to isolate trend components. These trend values are substituted into the estimated long run relationship derived from the ARDL model. The equilibrium exchange rate (REER*) is then calculated by solving for lnREER* in equation (3).  The ARDL estimates reveal that lnINGDP has a negative and statistically significant effect on CAB with a coefficient of -0.18, indicating that higher domestic GDP worsens the current account balance (Table 2). In contrast, lnWGDP exhibits a positive coefficient of 0.12, suggesting that higher global economic activity positively impacts the current account balance. While the rise in domestic GDP would lead to an appreciation, higher global GDP would lead to a depreciation of the equilibrium exchange rate through productivity changes. The coefficient of lnREER is 0.20, implying that an increase in the real effective exchange rate has a direct positive effect on the current account balance, owing to the productivity channel in the medium run. The comparison between the calculated DEER and the observed REER provides insights into the degree of exchange rate misalignment (Chart 4). If the observed REER is higher than the DEER, the Indian rupee is overvalued, which may impair competitiveness. Conversely, if the observed REER is lower than the DEER, the rupee is undervalued, potentially boosting export competitiveness. Moreover, we have considered two different targets of CAB as per cent of GDP – (-) 1.0 per cent and (-) 2.5 per cent as alternate desired levels to estimate the DEER. Illustratively, with the current account balance at (-) 1.0 per cent of GDP, the DEER level suggests a depreciation of the real exchange rate to reach its equilibrium level. These results highlight the importance of maintaining an exchange rate close to its equilibrium to support external stability and sustainable growth. | Table 2: Results from the ARDL Model for DEER Approach | | Explanatory variables | Long run coefficients | | ln(REERt) | 0.20*** | | | (0.04) | | ln(INGDPt) | -0.18*** | | | (0.04) | | ln(WGDPt-1) | 0.12* | | | (0.03) | | Constantt | -0.42 | | | (0.31) | | Post-estimation results | | Adjusted R-squared | 0.68 | | D-W Statistic | 1.96 | | Breusch-Godfrey Serial Correlation LM (4) | 0.25 | | ARCH LM (4) | 0.88 | | Bounds test result | | F-statistic = 13.96; 1 per cent Lower Bound = 4.7; Upper Bound = 5.0. | Note: ***;**;*: Significant at less than 1 per cent, 5 per cent and 10 per cent level; Figures in brackets are robust standard errors. Source: Authors’ estimates. | The analysis underscores the critical role of domestic and global economic conditions in determining the equilibrium exchange rate, offering valuable guidance for exchange rate policy and external sector management. Equation 6 is estimated by using an ARDL approach using data from 2004-05:Q4 to 2023-24:Q4 (Table 3). Medium Run Effects Hence, a rise in either time preference or productivity has the same effect on REER in the medium run – an appreciation. However, they have different long run effects due to the differential impact of these movements on the debt burden. Long Run Effects With a rise in time preference, which leads to capital inflows to finance consumption, REER appreciates in the medium run. This leads to a rise in foreign debt, thus creating a burden of higher future debt repayments. The associated capital outflows put a depreciating pressure on the REER, thereby improving the current account balance. For the case of India too, the empirical results indicate that a rise in social time preference leads to a depreciation of the REER in the long run. In contrast to the rise in time preference, a rise in productivity has an opposite impact on REER in the long run. It improves the current account balance and helps reduce foreign debt, thereby appreciating the REER in the long run. This result is empirically confirmed in the case of India as the coefficient of domestic GDP per capita (a proxy for productivity) is positive and statistically significant. Misalignment vis-à-vis NATREX The REER has increased broadly in line with macroeconomic fundamentals under NATREX. Further, in the past financial year, results from the NATREX suggest that the actual REER was fairly aligned to its long run equilibrium (Chart 5). Overall, the results indicate that in 2023-24, India’s REER was somewhat below the level consistent with its medium run fundamentals especially during the second half of 2023-24 (Table 4). India’s NEER has also been below its medium-run equilibrium level. The movements of the equilibrium REER obtained in the medium run (based on the DEER approach) suggest an overvaluation of Indian rupee while the NATREX approach shows the equilibrium REER trending upwards in the long run. Overall, across models, the medium run equilibrium REER is found to be higher than the actual REER, indicating a scope for the appreciation of the actual REER. | Table 4: Degree of REER Misalignment based on the Various Approaches | | FY: 2023-24 | BEER: Short Run | BEER: Medium Run | PEER | FEER | DEER | NATREX | CHEER (NEER) | | Q1 | -0.9 | 3.9 | 3.8 | 9.2 | -0.9 | 0.6 | 5.7 | | Q2 | -1.8 | 2.0 | 1.1 | 7.2 | -3.8 | -1.7 | 2.4 | | Q3 | 0.7 | 2.3 | 1.9 | 10.5 | -3.0 | 0.1 | 2.1 | | Q4 | 0.01 | 1.6 | 0.6 | 10.3 | -4.6 | -1.2 | 1.2 | Note: REER Misalignment = Equilibrium REER - Actual REER. Source: Authors’ estimates. | V. Concluding Remarks Equilibrium exchange rates imply consistency with a given set of fundamentals over the medium to long term while acknowledging inherent trade-offs. There is no consensus in the literature on the correct concept of equilibrium exchange rate. Each of the concepts discussed and estimated in this paper and its prequel correspond to a particular policy question. Our objective is to put together the broadest range of indicators in the form of a toolkit that serves as a point of reference for policy discussions. It is important to note that these estimates are sensitive to key parameters, modelling framework and the choices thereof. The overarching point is, however, that any assessment of exchange rate misalignment must be informed by empirical analysis. References Artis, M. J., and Taylor, M. P. (1995). Misalignment, Debt Accumulation and Fundamental Equilibrium Exchange Rates. National Institute Economic Review, 153, 73–83. Driver, R. L., and Westaway, P. F. (2004). Concepts of equilibrium exchange rates. In Exchange rates, capital flows and policy (pp. 98-148). Routledge. Egert, B. (2003). Assessing Equilibrium Exchange Rates in CEE Acceding countries: Can we have DEER with BEER without FEER? A Critical Survey of the Literature. Oesterreichische Nationalbank, Focus on Transition Vol. 2/2003. 38-106. Johansen, S., and Juselius, K. (1992). Testing structural hypotheses in a multivariate cointegration analysis of the PPP and the UIP for UK. Journal of econometrics, 53(1-3), 211-244. Juselius, K. (1990). Long-run Relations in a Well Defined Statistical Model for the Data Generating Process. Cointegration Analysis of the PPP and the UIP Relations. Discussion Papers 90-11. University of Copenhagen. Department of Economics. Juselius, K. (1995). Do purchasing power parity and uncovered interest rate parity hold in the long run? An example of likelihood inference in a multivariate time-series model. Journal of Econometrics 69(1), 211-240. MacDonald, R. (2000). Concepts to calculate equilibrium exchange rates: an overview. Bundesbank Series 1 Discussion Paper. Patra et al., (2024). A Suite of Approaches for Estimating Equilibrium Exchange Rates for India, RBI Monthly Bulletin (November). Stein, J. L. (1994). The Fundamental Determinants of the Real Exchange Rate of the U. S. Dollar Relative to Other G-7 Currencies. IMF Working Paper WP/95/81. Stein, J. L. (2006). Stochastic optimal control, international finance, and debt crises. OUP Oxford. Tanner, E. (1998). Deviations from Uncovered Interest Parity: A Global Guide to Where the Action Is. IMF Working Paper WP/98/117. Williamson, J. (1994). Estimating equilibrium exchange rates. Peterson Institute. Annex | Annex Table A1: Summary of Empirical Approaches to Estimating Equilibrium Exchange Rates | | Sl. No. | Name | Theoretical Assumptions | Relevant Time Horizon | Statistical Assumptions on Dependent Variable | Dependent Variable | Estimation Method | | 1. | Uncovered Interest Parity (UIP) | The expected change in the exchange rate determined by interest differentials | Short run | Stationarity (of change) | Expected change in real or nominal terms | Direct | | 2. | Purchasing Power Parity (PPP) | Constant Equilibrium Exchange Rate | Long run | Stationary | Real or nominal | Test for stationarity | | 3. | Capital Enhanced Equilibrium Exchange Rate (CHEER) | PPP plus nominal UIP without risk premia | Short run and medium run (also forecast) | Stationary, with emphasis on speed of convergence | Nominal/Bilateral | Direct | | 4. | Behavioural Equilibrium Exchange Rate (BEER) | Expected future movements in real exchange rates determined by fundamentals | Short run and medium run (also forecast) | Non-stationary | Real | Direct | | 5. | Fundamental Equilibrium Exchange Rate (FEER) | Real exchange rate compatible with both internal and external balance | Medium run | Non- stationary | Real | Underlying Balance | | 6. | Desired Equilibrium Exchange Rate (DEER) | As with FEERs, but the definition of external balance based on targeted policy path | Medium run | Non- stationary | Real | Underlying Balance | | 7. | Permanent Equilibrium Exchange Rate (PEER) | Same as BEER | Medium / Long run | Non-stationary (Extract permanent component) | Real | Direct | | 8. | Natural Real Exchange Rates (NATREX) | Same as FEERs, but with the assumptions of portfolio balance and stable external debt to GDP | Long run | Non- stationary | Real | Direct | | Source: Driver and Westaway (2004). | | Annex Table A2: Variable Description and Data Source | | Sl. No. | Variable | Indicator | Description | Data Source | | 1. | Ln(REER)t | Real effective exchange rate index | 40-currency trade-weighted REER | RBI | | 2. | Ln(INR-USD)t | Exchange rate between India and US | Spot/nominal rate | RBI; Financial Benchmarks India Pvt. Ltd. (FBIL) | | 3. | Ln(Pt,India) | Domestic price level | India’s consumer price index (CPI) | Ministry of Statistics and Programme Implementation (MoSPI) | | 4. | Ln(Pt*,US) | Foreign (US) price level | US CPI | St. Louis FRED | | 5. | It,India | Domestic interest rate | Interest rate on 10-year Indian treasury bond / 3-month treasury bill rate in alternate model specifications | RBI | | 6. | It*,US | Foreign interest rate | Market yield on 10-year US treasury securities / 3-month treasury bill rate in alternate model specifications | St. Louis FRED and Refinitiv | | 7. | lnINGDP | Real GDP of India | Real GDP of India | MoSPI | | 8. | lnWGDP | Real global GDP | Proxied by GDP of G20 countries | OECD | | 9. | DGFC | Dummy variable for Global Financial Crisis period | | Authors’ calculations | | 10. | DTAPER | Dummy variable for taper tantrum period | | Authors’ calculations | | 11. | Ln(Domestic time preference)t | Domestic Social Consumption/GDP | Ratio of social consumption (Public + Private) to GDP for India | Oxford Economics, CEIC and Authors’ calculations | | 12. | Ln(Foreign time preference)t | Average Foreign Social Consumption/GDP | Average of the ratios of social consumption (Public + Private) to GDP for countries included in foreign sector. Foreign sector includes 16 major trade partners included in the 40 currency REER calculation viz., Australia, Brazil, Ghana, Hong Kong, Indonesia, Japan, Malaysia, Nigeria, Russia, Singapore, South Africa, Republic of Korea, Taiwan, Thailand, the US, and the Eurozone. | Oxford Economics, CEIC and Authors’ calculations | | 13. | Ln(Domestic productivity)t | Average Foreign GDP Per Capita | Average real GDP per capita for countries included in foreign sector. Foreign sector is defined the same as in 12. | Oxford Economics and Authors’ calculations | | Source: Authors’ compilation. | | Annex Table A3: Results of the Unit Root Tests | | Variables | Augmented Dickey Fuller (ADF) Test Statistic | Phillips–Perron Unit-Root Test Statistic Z(rho) | | X | ΔX | X | ΔX | | Ln(REER)t | -1.439 | -6.548*** | -1.968 | -7.914*** | | Ln(INR-USD)t | -0.317 | -6.948*** | -0.172 | -6.948*** | | (Pt – Pt*) | -1.795 | -3.269*** | -1.584 | -6.328*** | | (It 10year – It*, 10year) | -1.982 | -12.901*** | -2.563 | -12.976*** | | (It 3month – It*, 3month) | -1.065 | -8.097*** | -1.354 | -8.209*** | | Ln(GDP)t | -2.430 | -9.838*** | -2.412 | -10.541*** | | Ln(WGDP)t | -0.923 | -8.792*** | -1.028 | -9.011*** | | Ln(Domestic time preference)t | -1.850 | -11.085*** | -5.204*** | -15.522*** | | Ln(Foreign time preference)t | -1.514 | -6.399*** | -1.765 | -6.399*** | | Ln(Domestic productivity)t | -0.612 | -12.330*** | -0.707 | -17.907*** | | Ln(Foreign productivity)t | -1.058 | -8.994*** | -1.057 | -8.993*** | Note: ***, **, and * indicate significance at 1 per cent, 5 per cent, and 10 per cent levels, respectively. Source: Authors’ estimates. | |