ACKNOWLEDGEMENTS
We take this opportunity to extend our sincere gratitude to
Dr. Narendra Jadhav for inspiring us to choose this topic. We would like
to thank Shri K U B Rao, Officer-in-Charge, Department of Economic
Analysis and Policy (DEAP), Reserve Bank of India and Dr. Charan Singh,
Dr. Nishita Raje and Dr. Snehal Herwadkar of DEAP for their constant
encouragement and necessary support during the course of this study.
We are deeply indebted to all the officials of the Reserve Bank of
India, especially those from the Department of Economic Analysis and
Policy for extending necessary support to complete this study as one of
the DRG studies.
We would also like to put on record our thanks to the valuable
suggestions extended by the external expert Dr. N R Bhanumurthy,
Professor, National Institute of Public Finance and Policy, New Delhi and
to the useful comments provided by the experts from the Reserve Bank
of India who were present in the work in progress seminar. The views
expressed in this study are authors’ own. Needless to say, the authors
are responsible for error, if any.
M. Ramachandran
Professor of Economics
Department of Economics,
Pondicherry University
Pondicherry 605 014
EXECUTIVE SUMMARY
The central banks all over the world publish time series data on
monetary aggregates which are simple sum of a spectrum of monetary assets
such as currency, demand deposits, term deposits of various maturities
etc. Such aggregates would be meaningful only if the components of the
aggregates are perfect substitute for each other. In other words, simple
sum aggregation can be justified if none of the monetary assets yield
monetary return or all the assets yield same return. In reality, however,
component assets excepting currency yield varying monetary return which
cannot be considered as flow of monetary services; hence, the official
measures of monetary aggregates especially at higher level of aggregation
contain an element of aggregation bias. As a consequence, the application
of aggregation theory to construct monetary aggregates gained popularity
in the literature.
One of the crucial developments in the literature is the integration
of aggregation theory and monetary theory that created a base for
constructing monetary aggregates which can be treated as aggregates in
economic sense. Moreover, the integration of statistical index number theory
and economic aggregation theory has further facilitated constructing
monetary quantity indices without reference to any unknown economic
aggregator function.
The economic monetary constructs derived from Divisia quantity
index held promises in applications for three prime reasons. First, Divisia
index belongs to the class of superlative index numbers, which provides a
third order approximation to any arbitrary exact aggregator function. Hence,
its construction is based on microeconomic aggregation theoretic foundation
[Diwert (1976), Barnett (1980, 1997), Barnett, Fisher and Serletis (1992)].
Second, it does not involve econometric estimation of parameters and
instead, depends upon quantity and price data. Third, voluminous empirical
evidence exists to support the theoretical merits of Divisia monetary
aggregates in the sense that they have an edge over their simple sum
counterparts in applications [Barnett (1980), Binner, Fielding and Mullineux
(1999) and Stracca (2001)].
However, the superiority of Divisia monetary aggregates over their
simple sum counterparts depends upon the structure of the financial
markets. Under repressed financial system, the interest rates on various
monetary assets are administered; suggesting that the relative prices of
most of the financial assets are constant over time. Under such regime,
Divisia monetary aggregates tend to converge to their simple sum
counterparts. In fact, earlier studies concerning India, especially for the
sample period during which the interest rates were largely administered,
failed to establish the superiority of Divisia monetary aggregates. Broadly,
three major inferences emerge from the earlier studies in the Indian context.
-
In contrast to the theoretical arguments, simple sum aggregates
outperformed Divisia aggregates even at higher levels of
aggregation.
-
The performance of Divisia aggregates over their simple sum
counterparts are conditional upon sample period, frequency
of time series data and the context in which the role of aggregates
are evaluated and econometric tests used.
-
Even those studies that report supporting evidence in favour
of Divisia monetary aggregates received severe criticism on
methodological grounds.
Nevertheless, the study by the Reserve Bank of India (1998) and
Acharya and Kamaiah (2001) could find marginal gain with Divisia
aggregates in terms of their stable demand function and information content.
This could be probably due to the reason that these studies use data from
a relatively liberalised financial market regime. Thus, the theoretical
arguments and the available empirical evidences indicate that Divisia
monetary aggregates might have an edge over their simple sum counterparts
in a liberalized financial market regime.
There are several developments in the Indian financial markets and
changes in the monetary policy transmission mechanism since 1997 that
warrant a fresh examination of this issue and re-exploration of potential use of Divisia monetary aggregates in the present context of monetary policy settings. The most important among them are: (i) the Indian financial
markets have undergone significant changes in terms of freeing interest
rates; (ii) there are notable changes in terms of revisions of definition and
measurements of monetary measures; (iii) disaggregated time series data
on new monetary and financial candidates are made available to the public
domain; (iv) there are financial innovations and significant changes in
payment technology; and (v) there are advancements in economic theories
and econometric tools to implement further rigor in testing.
Against these backgrounds, the present study intends to investigate
whether weighted monetary aggregates constructed from Divisia quantity
index number formula has an edge over their simple sum counterparts in
a gradually liberated financial market in India. We have two motives that
make the present study differ from the earlier studies: (i) constructing
Divisia monetary aggregates using broader range of available monetary and
financial assets which were not available earlier; and (ii) evaluating the
performance of Divisia vs. simple sum aggregates in the context of their
role as a predictor of inflation that has more relevance in the present
monetary policy settings of multiple indicator approach.
Two official measures of monetary aggregates, M2 and M3, and one
liquidity measure, L1, are considered for empirical comparison of their
role as an indicator of inflation. In this respect, the study constructs monthly
Divisia quantity indices for the sample period from April 1993 to June
2008, covering fairly the liberalized financial regime. The relevant data on
various monetary components and interest rates are collected from The
Handbook of Statistics on Indian Economy and other publications of the
Reserve Bank of India. The empirical evidences are found to support the
theoretical arguments that Divisia monetary aggregates have an edge over
their corresponding simple sum aggregates.
The correlation coefficients indicated that there is relatively strong
association between annual headline inflation measured as point-to-point
percentage change in wholesale price index and the growth rates of Divisia monetary aggregates. Also, the potential gain of Divisia monetary measures
is found to have increased in terms of their correlation with two conventional
measures of core inflation. On the contrary, the correlation between inflation
and growth rates of simple sum monetary aggregates seems to be weak.
The plots of annual headline inflation against alternative measures
of annual growth rates of money indicated that there is no clear evidence of
any relationship between both headline or core inflation measures and
growth rates of simple sum monetary aggregates. This stylized observation
is further supported by the fit of the nearest neighborhood regression of
inflation on growth rates of money as the fit appears to be a flat line. On
the contrary, there is clear evidence of a positive association between growth
rates of Divisia monetary aggregates and inflation. The striking feature of
the evidence is that the regression fit sharply rises when Divisia monetary
growth exceeds sixteen percent. This indicates that the growth rate of Divisia
money beyond certain level could be more inflationary.
The econometric evidence derived from a vector error correction
model indicated that the growth rates of Divisia monetary aggregates serve
as better predictor of both headline and core inflation measures whereas
there is a feedback causal relationship from inflation to growth rates of
simple sum monetary aggregates revealing more of monetary policy reaction.
The impulse responses of inflation to shocks in growth rates of Divisia
monetary aggregates are found to be stronger as compared to shocks in
growth rates of corresponding simple sum aggregates. The evidence from
forecast error variance decomposition also indicates that the growth rates
of Divisia monetary aggregates are exogenous sequence whereas the forecast
error variance of growth rates of simple sum aggregates is increasingly
explained by shocks in inflation. Hence, the official measures of simple
sum aggregates seem to have been less useful in predicting inflation.
The overall empirical evidences of this study unambiguously
establish the superiority of Divisia monetary aggregates over their
corresponding simple sum aggregates from the policy viewpoint in predicting
either headline inflation or the conventional measures of core inflation which are widely used by central banks. Hence, the study suggests that the RBI can closely observe the growth rates of Divisia monetary aggregates to
have a better understanding of future inflationary pressure. Also, the RBI
can publish monthly time series data on various measures of Divisia money,
as it would provide more useful information regarding future inflationary
pressure. This, however, does not mean that the RBI can dispense the use
of official measures of monetary aggregates. Simple sum aggregate can
continue to serve as an accounting stock.
THE DIVISIA MONETARY INDICES
AS LEADING INDICATORS OF
INFLATION
M. Ramachandran, Rajib Das, Binod B. Bhoi*
1. Introduction
The monetary policy frameworks have undergone significant changes
in most economies in response to the trade and financial liberalization
since the 1980s. Although price stability and sustainable output growth
remains the final objectives of monetary policy, in view of they being not
directly under the control of central banks, monetary authorities typically
set ‘intermediate target/s’, which bear a stable relationship with the overall
objectives of monetary policy (Friedman, 1990). The selection of
intermediate target/s is also conditional upon the channels of monetary
policy transmission that operate in the economy.
Although credit targeting was prevalent traditionally, such as in the
US, the concept of a formal intermediate target emerged with the monetarist
emphasis on money targeting in the 1960s. In the 1970s, the evidence of a
stable relationship between money, output and prices, prompted central
banks to give more weight to money growth in their policy discussions, in
an environment of worsening inflation (Volcker, 1978). In addition to supply
(oil price) shocks, the high inflation in the 1970s was attributed to the
accommodative monetary policies pursued in many countries to offset the
adverse output and employment effects of the shock. In this backdrop, a
commitment to rules was thought necessary to anchor inflation expectations
[Kydland and Prescott (1977), Barro and Gordon (1983)]. A number of
central banks, such as Switzerland, Germany, Japan, the UK and the USA
adopted monetary targets in the mid-1970s. Following the successful
implementation of monetary targets in the advanced economies, many emerging
market economies (EMEs) also adopted monetary targeting in the 1980s.
The assumption about stability of the money demand functions was
central to the monetary targeting framework. However, the sophistication in
the financial markets that reduced the need for financial intermediation by
the banking system during the 1980s, in turn, began to impart volatility to
the behaviour of monetary aggregates and the velocity of money, especially in market-based economies. As a result, central banks in advanced economies
began to deemphasize the role of monetary aggregates and moved towards
signaling monetary policy stance through setting of interest rates under
exchange rate flexibility or a tight exchange rate target regime. In contrast,
monetary targeting continued in some form in some bank-based economies
such as France, Germany and Switzerland where it was possible to test for
money demand stability with some redefinition of monetary aggregates.
In the early 1990s, beginning with New Zealand, a number of advanced
and emerging market economies (EMEs) adopted ‘inflation targeting’ as an
alternative monetary policy framework. Recognising the uncertainty and
complexity involved in forecasting the final objective (i.e., inflation), a more
eclectic approach is followed by inflation targeting central banks, where a
large set of variables /models are used to draw inferences about future
inflation. In its pursuit of price stability objectives, the European Central
Bank (ECB) bases its policy decisions on the ‘two pillars’ strategy comprising
of ‘economic analysis’ and ‘monetary analysis’ even today. According to the
ECB, the monetary analysis mainly serves as a means of cross-checking,
from a medium to long-term perspective, the short to medium-term
indications for monetary policy coming from the economic analysis. In some
EMEs such as Russia (Korhonen and Mehrotra, 2007) and China (Laurens
and Maino, 2007), monetary aggregates continued to play a central role in
their policy formulation. Thus, in many economies, despite transition and
larger flexibility to monetary policy frameworks, the emphasis on money
growth to contain inflation remained till date. The role of money and credit
has further come to the limelight in policy debates as economists and policy
makers have begun to draw lessons from the current global financial crisis.
It is argued that monitoring money and credit may help policymakers interpret
asset market developments and draw implications from them for the
economic and financial outlook (Goodhart, 2007).
In India, intermediate targets have evolved over time with changes in
the overall operating environment of monetary policy and financial
liberalisation of the Indian economy. The Reserve Bank had no formal
intermediate target till the middle of 1980s. Bank credit - aggregate as well as sectoral - came to serve as a proximate target of monetary policy after
the adoption of credit planning from 1967-68 (Jalan, 2002). Inflation was
largely thought to be structural and inflation volatility was mainly on account
of agricultural failures. Accordingly, there was greater reliance on selective
credit controls which aimed at regulating bank advances to sensitive
commodities to influence production outlays, on the one hand and to limit
possibilities of speculation, on the other.
During the early 1960s, although the analytics of money supply was
being governed by the expansion in credit, the Reserve Bank began to pay
greater attention to the movements in monetary aggregates (RBI, 2005).
This accent on monetary aggregates was supported by several empirical
studies which provided evidence of a stable money demand function in the
Indian economy [Vasudevan (1977), Jadhav (1994), Ramachandran (2004)].
During the 1970s, the sharp increases in money supply in the face of
slowdown in output growth was viewed as adding to the demand pressures
in the economy, which coupled with the adverse impact of the supply shocks
led to spikes in inflation. By the early 1980s, there was a broad agreement
on the primary causes of inflation. It was argued that while fluctuations in
agricultural prices and oil price shocks did affect prices, continuous inflation
of the kind witnessed in India since the early 1960s could not occur unless
it was sustained by the continuous excessive monetary expansion generated
by the large-scale monetisation of the fiscal deficit (RBI, 2005).
Against this backdrop, the Committee to Review the Working of the
Monetary System (Chairman: Sukhamoy Chakravarty, 1985) recommended
a monetary targeting framework to target an acceptable order of inflation
in line with output growth. With empirical evidences supporting stability
in the money demand functions, broad money emerged as an intermediate
target of monetary policy. Thus, the Reserve Bank of India began to formally
set monetary targets as nominal anchor for inflation, although the
framework was a flexible one allowing for various feedback effects.
In the early 1990s, the process of financial liberalization began which
along with the gradual opening up of the economy necessitated shifts in
the monetary policy operating procedures. With the pace of liberalization and globalization of the economy gaining momentum, efficacy of broad
money as an intermediate target of monetary policy came under question.
Despite most studies lending support to the argument that money demand
functions in India have so far been fairly stable, the Reserve Bank’s Monetary
and Credit Policy Statement of April 1998 observed that financial
innovations emerging in the economy provided some evidence that the
dominant effect on the demand for money in the near future need not
necessarily be real income, as in the past. Interest rates too seemed to
exercise some influence on the decisions to hold money (RBI, 2005). The
Working Group on Money Supply: Analytics and Methodology of Compilation
(Chairman: Dr. Y.V. Reddy, 1998) also observed that monetary policy
exclusively based on the money demand function could lack precision.
In line with international experience and the liberalisation process
initiated by structural reforms of the early 1990s, the monetary policy
framework in India also witnessed a major transformation. A key development
that shaped the conduct of monetary policy during the 1990s was the
progressive opening up of the Indian economy to capital flows1. Therefore, apart from dealing with the usual agricultural supply shocks, monetary policy
also had to increasingly manage external shocks emanating from swings in
capital flows, volatility in the exchange rate and global business cycles.
Accordingly, maintaining orderly conditions in financial markets for ensuring
financial stability emerged as an additional objective of monetary policy,
apart from price stability and credit availability, which necessitated
refinements in the conduct of monetary policy by the Reserve Bank of India.
Against this backdrop, the Reserve Bank of India formally adopted a
‘multiple indicator approach’ in April 1998 with a greater emphasis on rate
channels for monetary policy formulation. As part of this approach, besides
money supply, the information content in a host of macroeconomic indicators
including interest rates or rates of return in different markets along with
such data as on currency, credit, fiscal position, trade, capital flows, inflation rate, exchange rate, refinancing and transactions in foreign exchange are juxtaposed with output data for drawing monetary policy perspectives2 .
Globally, it is now recognised that the task of monetary management
has become more and more complex in an environment of ongoing
structural reforms and increasing trade and financial integration of
economies. These changes, in turn, have distorted the relevance of explicit
intermediate targets and altered the transmission of monetary policy to
the real economy. In this backdrop, there is now an emerging consensus
that the process of monetary policy formulation be guided by the information
content available from a number of macroeconomic indicators rather than
the reliance on a single intermediate anchor (RBI, 2005). It is argued that
with central bankers operating in an environment of high uncertainty
regarding the functioning of the economy as well as its prevailing state and
future developments, a single model or a limited set of indicators may not
be a sufficient guide for monetary policy. Instead, an encompassing and
integrated set of data is required (Trichet, 2004).
In fact, central banks like the US Fed, the ECB and the Bank of Japan
regularly monitor a number of macroeconomic indicators such as prices,
output gaps, and developments in asset, credit and other financial markets,
which have a bearing on price stability (RBI, 2007). It may be noted that
despite money’s relegation to the background, most central banks in
developed countries continue to include measures of money and credit in
the range of economic indicators used to assess the economic outlook (Bloor
et al., 2008). The relevance of money for aggregate demand, in turn, lies not
via real balance effects, but on money’s ability to serve as a proxy for the
various substitution effects of monetary policy that exist when many asset
prices matter for aggregate demand (Nelson, 2003). Thus, most central banks
now monitor a number of macroeconomic indicators which have a bearing
on the ultimate objective of price stability.
Although the movement of a host of variables is now monitored within
the multiple indicator approach, the monetary aggregates continue to play
significant role as an indicator if not as an intermediate target variable.
However, the Reserve Bank of India like other central banks largely rely on
monetary aggregates which are measured as simple sum of relevant
monetary components. Such simple sum approach can be justified only if
the component assets are perfect substitutes or in other words the
component assets do not yield any explicit or implicit monetary return. In
reality, most of the monetary candidates such as fixed deposits of various
maturities, however, yield explicit monetary return; hence, they cannot be
treated as perfect substitutes. Therefore, simple sum aggregates suffer from
aggregation bias and the magnitude of bias tends to be larger with higher
level of aggregation. Use of such aggregates as indicators of monetary policy
is likely to send wrong signals and the policy actions based on such wrong
signals might produce undesirable impact on goals of monetary policy. In
this context, the present study intends to explore the potential use of
weighted monetary aggregates derived from index number theory within
the current monetary policy settings.
2. Why Divisia Monetary Indices?
The economic monetary constructs derived from Divisia index number
formula held promises in applications, particularly in the context of
developed countries, for several reasons. First, an aggregate in economic
sense must be viewed as if it were a single good. Such aggregate can evolve
only from a strong microeconomic aggregation theoretic foundation. In this
regard, the Divisia index number has microeconomic aggregation theoretic
foundation as it belongs to the class of superlative index numbers (Diwert,
1976). The superlative index numbers approximate any arbitrary exact
aggregator function up to a third-order remainder term; hence, eliminate
the distinction between index number theory and economic aggregation
theory [Barnett (1980), Barnett, Fisher and Serletis (1992), Barnett (1997)].
Second, it does not involve econometric estimation of parameters and
depends upon quantity and price data. The use of aggregator function to construct monetary aggregates is less appreciated as such aggregates cannot
be used for communication purposes. When new data arrives, estimation
of the parameters of the function tend to change and therefore, the monetary
aggregates in the past also change. On the contrary, construction of index
numbers is free from estimation of parameters; hence, arrival of new data
will not change measure of monetary aggregates in the past.
Third, voluminous empirical evidence exists to support the theoretical
merits of Divisia monetary aggregates and they have an edge over their
simple sum counterparts in their role as predictor of inflation and output.
Further, the demand for such weighted monetary aggregates is found to be
fairly stable functions of few determinants [Barnett (1980), Binner, Fielding
and Mullineux (1999) and Stracca (2001)].
3. What were the experiences in India?
In India, there are few studies which have attempted to construct and
evaluate the performance of weighted monetary aggregates. The empirical
studies on monetary aggregation can be classified into two groups. First,
studies that attempted to identify theoretically admissible asset groups
using both parametric separability tests [Ramachandran and Kamaiah
(1994) Subrahmanyam and Swami (1994)] and nonparametric separability
tests [Acharya and Kamaiah (1999)]. Second, there are studies focused on
evaluating the performance of weighted vs. simple sum monetary aggregates,
mainly in terms of their information content about the future movement of
prices and income and stability of their demand functions [Kamaiah and
Bhole (1982), Kamaiah and Subrahmanyam (1983), Kannan (1989),
Subrahmanyam and Swami (1991), Ramachandran (1994, 1995, 1998),
Acharya (1998), Acharya and Kamaiah (1998)].
Three major inferences emerge from the earlier studies in the Indian
context: (i) in contrast to theoretical merits, simple sum aggregates
outperformed Divisia aggregates even at higher levels of aggregation; (ii) the
performance of Divisia aggregates over their sum counterparts are found to
be conditional upon sample period, frequency of time series data, the context in which the role of aggregates are evaluated and econometric tools used;
and (iii) even those studies that report supporting evidence in favour of Divisia
monetary aggregates received severe criticism on methodological grounds3.
One of the prominent reasons attributed to the failure of Divisia monetary
aggregates is that the time series data used in the construction of monetary
aggregates pertain to the period of repressed financial regime. Under
repressed financial system, the relative prices of most of the financial assets
are constant over time. Therefore, Divisia monetary aggregates tend to
converge to their simple sum counterparts, yielding little or no gain over
simple sum aggregates in applications. However, the studies by the Reserve
Bank of India (1998) and Acharya and Kamaiah (2001) could find marginal
gain with Divisia aggregates in terms of their stable demand function and
information content. This might be due to the reason that these studies use
data from a relatively liberalised financial market regime. Indeed, weighted
monetary aggregates perform better if the financial market is deregulated.
4. Why do we need a fresh study?
Over time, database gets revised, data on new monetary candidates
are available, policy regime changes, financial innovations and changes in
payment technology occur, there are advancements in economic theories
and econometric tools. For instance, time series data on new financial
candidates at highly disaggregated levels and on interest rates are made
available thanks to the recommendations of the Working Group on Money
Supply (Chairman: Dr. Y V Reddy, 1998). In the recent years, there is a
clear evidence of interest rate deregulations, financial innovations, and
growing financial disintermediation. The increased use of alternative
instruments as medium of exchange has brought in significant changes in
payment technology. Under such an environment, Divisia monetary constructs embracing all the relevant monetary and financial candidates
tend to provide a better measure of liquidity, especially at higher level of
aggregation. Such aggregates will be highly useful in understanding the
implications of liquidity movement on other economic variables.
Although targeting Divisia constructs is a bit difficult, they can serve
as potential indicators of monetary policy in the context of currently followed
multiple indicator approach. The Annual Monetary and Credit Policy
Statement for 2003-04 and the Report of the Internal Group on Liquidity
Adjustment Facility (LAF) have emphasized the need to strengthen the RBI’s
liquidity forecasting model so as to provide a more scientific basis to the
decision making process for LAF operations. In this regard, using the
information contained under the Divisia monetary aggregates might provide
better assessment of liquidity than their simple sum counterparts. Given
the recent developments in the Indian financial markets, it is, therefore,
ideal to re-explore the potential use of economic monetary aggregates,
especially at higher level of aggregation, in relevant applications.
5. The methodology and empirical results
The empirical analysis has two aspects: (i) constructing Divisia
monetary aggregates; and (ii) evaluating the relative merits of such
constructs vis-a-vis simple sum aggregates. The second phase of the
empirical analysis is designed to understand whether Divisia monetary
aggregates have an edge over their simple sum counterparts in their role
as indicators of inflation. In this context, we propose to use the cointegration
and error correction framework to understand the short-run and long-run
dynamics between the growth rates of money and inflation
The Divisia index
The growth rate of Divisia quantity index is defined as :
The benchmark prime lending rate (BPLR) of State Bank of India is chosen as a proxy for benchmark interest rate. However, the highest rate among the chosen interest rates offered on the components of monetary aggregates and the BPLR at each time period is used as benchmark rate to
calculate the user cost of money. This is done to avoid negative user cost
for some components, because the call money rate and interest rate on
certificate of deposits issued by the commercial banks exceeded the BPLR of State Bank of India during some months8. The details of various components and corresponding interest rate proxies used in the
construction of user cost of monetary assets are given in Appendix A9 . The data are collected from Handbook of Statistics on Indian Economy and
other publications of the Reserve Bank of India.
The relative merits of simple sum vs. Divisia monetary aggregates need
to be carried out using some empirical criteria of policy interest. In this
respect, the study intends to examine the strength of association between
Divisia monetary measures and inflation and also whether Divisia monetary
measures are better predictor of inflation as compared to their sum
counterparts. Evaluating the predictive power of monetary aggregates is
more crucial in the present policy set up as we have done away with explicit
monetary targeting framework and moved into a sort of multiple indictor
approach wherein the growth rate of M3 monetary aggregate is considered
as an important policy indicator.
 |
 |
 |
When three months lagged growth rate of monetary aggregates are
related to inflation, the correlation coefficients turned out to be statistically
significant irrespective of methods of monetary aggregation. However, the
magnitude of correlation coefficients is found to be relatively larger with respect to growth rates of Divisia aggregates, especially at higher level of
aggregation. In the case of six months and twelve months lagged money
supply growth, the correlation between simple sum and Divisia monetary
growth and inflation seem to be statistically significant, but the magnitude
decline. Nonetheless, the growth rates of Divisia monetary aggregates seem
to have consistently stronger association with both headline and core
inflation measures as compared to their simple sum counterparts.
There are broadly three inferences that emerge from Table 1 : (i) the
growth rates of Divisia aggregates have higher correlation with inflation as
compared to that of simple sum aggregates; (ii) the growth rates of Divisia
aggregates have higher correlation with core inflation than with headline
inflation; and (iii) the correlation between simple sum money growth and
inflation seems to be declining as the levels of aggregation increases while,
on the contrary, the correlation between inflation and growth rates of Divisia
money increases as the level of aggregation increases. These findings are
consistent with the Divisia index number theory in the sense that it weights
transaction balances more heavily and thus, capturing only the share of
monetary services produced by component assets. It is largely this monetary
service that has more relevance to inflation.
The plots of annual headline inflation against alternative measures of
annual growth rates of money are produced in Fig. 1a through 1f along
with a curve reflecting the plots of fit of the nearest neighbourhood
regression. The nearest neibourhood fit regression of inflation on growth
rates of money is obtained using the Loess method described by Cleveland
(1993). The plots look like clusters and the regression fit appears to be a
flat line in the case of growth rates of simple sum aggregates; suggesting
that there is no clear evidence of any relationship between headline inflation
and growth rates of simple sum monetary aggregates. On the contrary,
there is a clear evidence of a positive association between growth rates of
Divisia monetary aggregates and headline inflation. The striking feature of
the evidence is that regression fit sharply increases when Divisia money
growth exceeds sixteen per cent; indicating that the growth rate of Divisia
aggregates beyond certain level is more inflationary.
The plots in Fig. 2a through 2f exhibit the association between core
inflation measured as headline inflation excluding food items and money
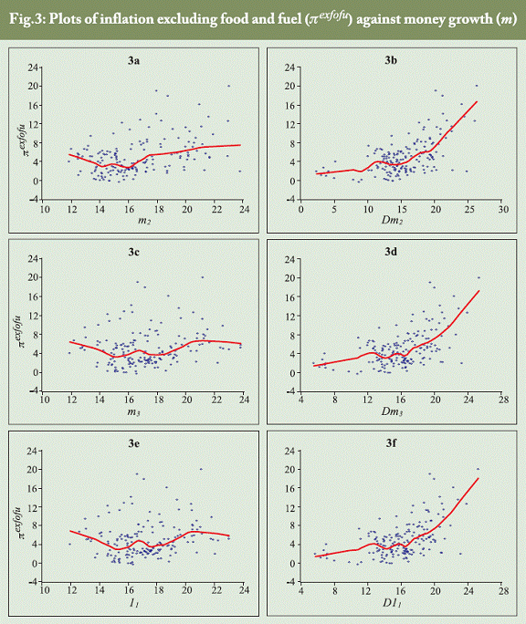
growth and plots in Fig. 3a though 3f exhibit the relationship between
money growth and core inflation measured as headline inflation excluding
food and fuel items. The plots and the regression fit do not show any
association between the core inflation and sum money growth while the
regression fit regarding Divisia money growth is found to be sharply rising
when annual money growth exceeds sixteen per cent. In sum, the evidence
drawn from correlation statistics and the nearest neibourhood regression
indicate that growth rate of Divisia monetary indices have stronger
association with headline and conventional measures of core inflation as
compared to their simple sum counterparts; thus, supporting the
theoretical superiority of Divisia monetary measures over their simple
sum counterparts.
6. Does growth rate of Divisia money predict inflation?
In this section, we examine whether growth rates of Divisia money has
an edge over their simple sum counterparts in predicting inflation. The
empirical evaluation of this issue is based on the maximum likelihood
approach to test for cointegration invented by Johansen (1991) and the
estimation of corresponding error correction mechanism. However, we
adopt the strategy of Ribba (2003) to test for cointegration and impose
restrictions on the speed of adjustment parameters to infer whether growth
rate of money can be a useful predictor of inflation. In this respect, we
estimate the following error correction model:
and not vice versa. In other words, there is one-way causality from money
growth-to-headline inflation at zero frequency. If so,
and its Divisia counterpart, the restriction is not binding at conventional
level of significance. In contrast, the Divisia M3 and Divisia L1 growth
rates do not respond to the discrepancy of long run equilibrium relationship
since the restriction is not binding while the restriction is binding in the
case of simple sum M3 and L1 growth rates. These evidences indicate that
the growth rates of Divisia aggregates at higher level of aggregation seem to
be weakly exogenous to inflation while the growth rates of simple sum
monetary aggregates have feedback relationship with inflation. This suggests
that Divisia money growth especially at higher level of aggregation can serve
as potential predictor of inflation.
The cointegrating parameters and the corresponding loading coefficients
for core inflation measures are presented in Tables 4b and 4c. These
evidences are qualitatively similar to the results produced in Table 4a;
suggesting that the growth rate of Divisia aggregates can serve as potential
indicators of the two conventional measures of core inflation under
consideration while their simple sum counterparts cannot be used as an
indicator of inflation.
 |
|
 |
The plots of impulse response coefficients of headline inflation for a one
standard deviation shock in the growth rates of sum M2 and of Divisia M2
are produced in Fig. 4a. The solid line indicates the response of inflation to
a shock in growth rate of Divisia M2 while the dotted line indicates the
response of inflation to a shock in the growth rate of sum M2. Although
there is hardly any difference in the response of inflation to shocks in the
growth rates of both monetary measures in the initial period of 8 months,
the response of inflation to the shock in the growth rate of Divisia M2
subsequently rises while it declines in response to the shock in growth rate
of sum M2 money. The plots of impulse coefficients produced in Tables 4b
and 4c also indicate that response of inflation to shocks in the growth rates
of Divisia M3 and Divisia L1 is relatively stronger as compared to the response
of inflation to shocks in the growth rates of corresponding sum aggregates.
The results concerning the proportion of forecast error variance of
headline inflation and growth rate of sum and Divisia M2 money for the
forecast horizon of upto 48 months are presented in Table 5a. The forecast
error variance of inflation is increasingly explained by shocks in growth
rate of M2 money and at the same time forecast error variance of sum M2 growth is also increasingly explained by shocks in headline inflation as the
forecast horizon increases. For instance, 15.12 per cent of forecast variance
of inflation is explained by shocks in growth rate of sum M2 money in 12
months forecast horizon and further increases to 36.99 per cent in 48
months forecast horizon. The error variance of sum M2 growth explained
by shocks in inflation increases from 21.29 per cent in 12 months forecast
horizon to 31.01 per cent in 48 months forecast horizon. These evidences
indicate that the growth rate of sum M2 is not an exogenous sequence to
headline inflation. On the contrary, the proportion of error variance of
inflation due to shocks in the growth rate of Divisia M2 jumps from 15.1
per cent in 12 months forecast horizon to 53.84 per cent in 24 months
forecast horizon and to 77.09 per cent in 48 months forecast horizon. In
contrast to the evidence concerning growth rate of sum M2, 99.15 per cent
of forecast error variance of Divisia M2 growth is explained by its own
shock even at 48 months forecast horizon. This indicates that the growth
rate of Divisia M2 is an exogenous sequence in the model.
Table 5a: Decomposition of forecast error variance |
Forecast
horizon
(months) |
Variance
decomposition
of |
Due to shocks in |
Forecast horizon (months) |
Variance
decomposition
of |
Due to shocks in |
π |
m2 |
π |
Dm2 |
1 |
π |
100 |
0.00 |
1 |
π |
100 |
0.00 |
|
m2 |
0. 49 |
99.51 |
|
Dm2 |
0.20 |
99.80 |
12 |
π |
84.88 |
15.12 |
12 |
π |
84.90 |
15.10 |
|
m2 |
21.29 |
78.71 |
|
Dm2 |
1.12 |
98.88 |
24 |
π |
71.62 |
27.38 |
24 |
π |
46.16 |
53.84 |
|
m2 |
29.28 |
70.72 |
|
Dm2 |
0.98 |
99.02 |
36 |
π |
67.56 |
32.44 |
36 |
π |
30.36 |
69.64 |
|
m2 |
30.48 |
69.52 |
|
Dm2 |
0.89 |
99.11 |
48 |
π |
63.01 |
36.99 |
48 |
π |
22.90 |
77.09 |
|
m2 |
31.01 |
68.99 |
|
Dm2 |
0.85 |
99.15 |
The corresponding results concerning Divisia M3 and Divisia L1
presented in Tables 5b and 5c, respectively further confirm that the growth
rates of Divisia monetary aggregates outperform their simple sum
counterparts. Thus, the evidence from forecast error variance also indicate that the growth rate of Divisia monetary aggregates can serve as better
indicators of inflation as compared to the growth rates of simple sum
aggregates10
.
Table 5b: Decomposition of forecast error variance |
Forecast
horizon
(months) |
Variance
decomposition
of |
Due to shocks in |
Forecast horizon (months) |
Variance decomposition of |
Due to shocks in |
π |
m3 |
π |
Dm3 |
1 |
π |
100 |
0.00 |
1 |
π |
100 |
0.00 |
|
m3 |
0. 20 |
99.80 |
|
Dm3 |
0.14 |
99.86 |
12 |
π |
88.03 |
11.97 |
12 |
π |
87.14 |
12.86 |
|
m3 |
21.14 |
78.86 |
|
Dm3 |
0.60 |
99.40 |
24 |
π |
77.75 |
22.25 |
24 |
π |
55.79 |
44.21 |
|
m3 |
27.72 |
72.28 |
|
Dm3 |
2.04 |
97.96 |
36 |
π |
72.92 |
27.08 |
36 |
π |
40.68 |
59.32 |
|
m3 |
28.38 |
71.62 |
|
Dm3 |
2.73 |
97.27 |
48 |
π |
68.56 |
31.44 |
48 |
π |
32.44 |
67.56 |
|
m3 |
28.68 |
71.32 |
|
Dm3 |
3.00 |
97.00 |
7. Concluding Remarks
The focus of this study is to investigate whether weighted monetary
aggregates constructed from Divisia quantity index number formula has
an edge over their simple sum aggregates. Two official measures of monetary
aggregates, M2 and M3, and one liquidity measure, L1, are considered for
empirical comparison of their superiority especially in the context of their
role as an indicator of inflation. In this respect, the study constructs monthly
Divisia quantity indices for the sample period from April 1993 to June
2008, covering fairly the liberalized financial regime. The empirical
evidences are found to support the theoretical superiority of Divisia
monetary aggregates over their corresponding simple sum aggregates.
The correlation coefficients indicated that there is relatively strong
association between annual headline inflation rate measured as point-topoint
percentage change in wholesale price index and Divisia monetary
measures. Also, the potential gain of Divisia monetary measures is found
to be more visible when they are correlated with two conventional measures
of core inflation. On the contrary, the correlation between inflation and
growth rates of simple sum aggregates seems to be weak.
The plots of annual headline inflation against alternative measures of
annual growth rates of money indicated that there is no clear evidence of
any relationship between both headline or core inflation measures and
growth rates of simple sum monetary aggregates. This stylized observation
is further supported by the fit of the nearest neighbourhood regression of
inflation on growth rates of money in the sense that the fit appears to be a
flat line. On the contrary, there is a clear evidence of a positive association
between growth rates of Divisia monetary aggregates and inflation. The
striking feature of the evidence is that regression fit sharply rises when
Divisia monetary growth exceeds sixteen per cent. This indicates that the
growth rate of Divisia money beyond certain level is more inflationary.
The econometric evidence derived from a vector error correction model
indicated that the growth rates of Divisia aggregates serve as better predictor
of both headline and core inflation measures whereas there is a feedback
causal relationship from inflation to growth rates of simple sum monetary aggregates. Hence, the official measures of simple sum aggregates seem to
be less useful in predicting inflation.
These inferences are further corroborated by the results derived from
impulse response function and decomposition of forecast error variance of
inflation and growth rates of monetary aggregates. Although there is only
little difference in the response of inflation to shocks in growth rates of sum
and Divisia monetary aggregates in the initial period of 8 months, the response
of inflation to the shocks in the growth rates of Divisia aggregates subsequently
rises while it declines in response to the shocks in growth rates of
corresponding growth rates of simple sum aggregates. The results
concerning the forecast error variance indicated that the growth rates of
Divisia monetary aggregates emerge as an exogenous sequence with respect
to inflation and on the contrary, error variance of growth rates of sum
aggregates is increasingly explained by the shocks in inflation. These evidence
suggest that the growth rates of sum aggregates cannot serve as an indicator
of inflation while that of Divisia monetary measures can be used as an
indicator of inflation.
The overall empirical evidences of this study unambiguously establish
the superiority of Divisia monetary aggregates over their corresponding
simple sum aggregates in predicting either headline inflation or the
conventional measures of core inflation which are widely used by the central
banks all over the world. Hence, the study suggests that the RBI can observe
the growth rates of Divisia monetary aggregates to have a better
understanding of future inflation within its multiple indicator approach.
This, however, does not mean that the RBI can dispense the use of M3
money. It can better be used for accounting purposes than as an indicator
of future inflationary pressure. Also, the RBI can publish monthly time
series data on various measures of Divisia money, as it would provide more
reliable information regarding inflation expectation to the public; hence,
the policy gains more credibility11 .
The study reports the monthly time series data on Divisia monetary
measures in the Appendix B for further exploration of its merits in
applications. The most important among them are: (i) examining the use
of Divisia money as predictor of output growth, especially the growth rate
of manufacturing output; (ii) evaluating the stability of demand for Divisia
money as compared to its simple sum counterparts; and (iii) investigating
the role of Divisia money in macroeconomic models to establish its
theoretical superiorities12 .
References
Acharya, D. (1998), “On Some Empirical Aspects of New Monetary
Aggregates for India”, Unpublished Ph. D. Thesis, Department of
Economics, University of Hyderabad, Hyderabad.
Acharya, D. and B. Kamaiah (1998), “Currency Equivalent Monetary
Aggregates: Do they have an Edge over their Simple Sum Counterparts”,
Economic and Political Weekly, March 28, 717-19.
Acharya, D. and B. Kamaiah (1999), “Monetary Asset Separability: Some
Nonparametric Evidence”, The Indian Economic Journal, 47, 56-67.
Acharya, D. and B. Kamaiah (2001), “Simple Sum Vs. Divisia Monetary
Aggregates: An Empirical Evaluation”, Economic and Political Weekly,
January 27, 317-326.
Barnett, William A. (1978), “The User Cost of Money,” Economics Letters,
1, 145-149.
Barnett. William A. (1980), “ Economic Monetary Aggregates: An Application of
Index Number and Aggregation Theory,” Journal of Econometrics, 14, 11-48.
Barnett, W. A., D. Fisher and A. Serletis (1992), “Consumer Theory and
the Demand for Money”, Journal of Economic Literature, 30, 2086-2119.
Barnett, W. A. (1995), “Exact Aggregation under Risk,” in W. A. Barnett, M.
Salles, H. Moulin, and N. Schofield (eds.), Social Choice, Welfare and Ethics,
Cambridge University Press, Cambridge, 353-374.
Barnett, W. A. (1997), “The Microeconomic Theory of Monetary Aggregation,”
in W. A. Barnett (eds.), New Approaches to Monetary Economics, Cambridge
University Press, Cambridge, 115-168.
Barnett, W. A., Y. Liu and M. Jensen (1997), “CAPM Risk Adjustment for Exact
Aggregation over Financial Assets,” Macroeconomic Dynamics, 1, 485-512.
Barnett, W. A. and Y. Liu (2000), “Beyond the Risk Neutral Utility Function,”
in M. T. Belongia and J. E. Binner (eds.), Divisia Monetary Aggregates:
Theory and Practice, London, Palgrave, 11-27.
Barnett, W. A., M. Hinich, and P. Yue (2000), “The Exact Theoretical Rational
Expectations Monetary Aggregate,” Macroeconomic Dynamics, 4, 197-221.
Barnett, W. A. and Shu Wu (2005), “On User Costs of Risky Monetary Assets,”
Annals of Finance, 1, 35-50.
Barro, R.J. and D.B. Gordon (1983), “A Positive Theory of Monetary Policy
in a Natural Rate Model”, Journal of Political Economy, 91, 589-610.
Binner, J. M., A. Fielding and A. W. Mullineux (1999), “Divisia Money in a
Composite Leading Indicator of Inflation”, Applied Economics, 31, 1021-1031.
Bloor, C., C. Hunt, Tim Ng and H. Pepper (2008), “The Use of Money and
Credit Measures in Contemporary Monetary Policy”, Reserve Bank of New
Zealand Bulletin, 71, 1-15.
Cleveland, William S. (1993), Visualizing Data, Summit, NJ: Hobart Press.
De Brouwer, G. and Neil Ericsson (1998), “Modelling Inflation in Australia”,
Journal of Business and Economic Statistics, 16, 433-49.
Diewert, W. (1976), “Exact and Superlative Index Numbers”, Journal of
Econometrics, 14, 115-46.
Friedman, B. (1990), “Targets and Instruments of Monetary Policy”. In B.
Friedman and F. Hahn (eds.) Handbook of Monetary Economics,
Amsterdam, North-Holland.
Goodhart, C. (2007) “Whatever Became of the Monetary Aggregate?” LSE
Financial Markets Group Special Paper No. 172.
Jadhav, N. (1989), “Weighted Monetary Aggregates: Rational and Relevance
for India”, Reserve Bank of India Occasional Papers, 10, 39-56.
Jadhav, N. (1994), Monetary Economics for India, Macmillan India Ltd.
Jalan, Bimal (2002), “Research and Policy Developments in Money, Finance
and the External Sector”, in M.S. Ahluwalia, Y.V. Reddy and S. S. Tarapore
(eds.) Macroeconomics and Monetary Policy: Issues for a Reforming
Economy, Oxford University Press, New Delhi.
Johansen, S. (1991), “Estimation and Hypothesis Testing of Cointegration
Vectors in Gaussian Vector Autoregressive Models”, Econometrica, 59,
1551–1580.
Kamaiah, B. and L. M. Bhole (1982), “An Empirical Definition of Money: Some
Factor Analytic Evidence for India”, Malayan Economic Review, 27, 35-44.
Kamaiah, B. and Ganti Subrahmanyam (1983), “Some Further Evidences
on the Definition of Money Stock for India”, Prajnan, 12, 175-183.
Kannan, R. (1989), “Weighted Monetary Aggregates for India: 1970-86,
Prajnan, 18, 453-460.
Klein, B. (1974), “Competitive Interest Payments on Bank Deposits and the
Long-run Demand for Money”, American Economic Review, 64, 931-40.
Korhonen, I. and A. Mehrotra (2007), “Money Demand in Post-crisis Russia:
De-dollarisation and Re-monetisation”, BOFIT Discussion Papers14.
Kydland, F.E. and E.C. Presscott (1977), “Rules Rather Than Discretion: The
Inconsistency of Optimal Plans”. Journal of Political Economy, 85, 473-91
Laurens, Bernard J. and R. Maino (2007), “China: Strengthening Monetary
Policy Implementation”, IMF Working Paper, WP/07/14.
Nelson, E. (2003) “The Future of Monetary Aggregates in Monetary Policy
Analysis”, Journal of Monetary Economics, 50, 1029-59.
Ramachandran, M. and B. Kamaiah (1994), “Separability of Monetary
Assets: Some Evidence from Approximation Analysis for India” Journal of
Quantitative Economics, 10, 337-50.
Ramachandran, M. (1994), “Monetary Aggregation and Monetary
Aggregates: Some Issues and Evidence for India”, Unpublished Ph. D.
Thesis, Department of Economics, University of Hyderabad, Hyderabad.
Ramachandran, M. (1995), “Fiscal and Monetary Actions: A Test of Relative
Importance of the Economic Monetary Aggregates and their Simple Sum
Counterparts”, Prajnan, 24, 125-137.
Ramachandran, M. (1998), “The Optimal Level of Monetary Aggregation
and Monetary Targeting in India”, The Indian Economic Journal, Special
Issue in Monetary Economics, 46, 84-99.
Ramachandran, M. (2000), “Fiscal Deficit, RBI Autonomy and Monetary
Management”, Economic and Political Weekly, 35, 3266-3272.
Ramachandran, M. (2004), “Do Broad Money, Output and Prices Stand for
a Stable Relationship in India”, Journal of Policy Modelling, 26, 983-1001.
Reserve Bank of India (1985), “Report of the Committee to Review the
Working of the Monetary System”. (Chairman: Sukhomoy Chakravarty).
Reserve Bank of India (1998), “Money Supply: Analytics and Methodology
of Compilation”, Report of the Third Working Group (Chairman: Dr. Y.V.
Reddy), Mumbai.
Reserve Bank of India (2005), Report on Currency and Finance 2003-04.
Reserve Bank of India (2007), Report on Currency and Finance 2005-06,
67-118.
Ribba, A. (2003), “Permanent-transitory Decompositions and Traditional
Measures of Core Inflation, Economics Letters, 81, 109-116.
Stracca, L. (2001), “Does Liquidity Matter? Properties of a Synthetic Divisia
Monetary Aggregate in the Euro Area”, European Central Bank Working
Paper No. 79.
Subrahmanyam, Ganti and S. B. Swami (1991), “Simple Sum vs.
Superlative Monetary Aggregates for India”, Journal of Quantitative
Economics, 17, 79-92.
Subrahmanyam, Ganti and S. B. Swami (1994), “Do M1, M2 and M3 Define
Optimal Asset Groupings for India”, Journal of Quantitative Economics,
10, 351-360.
Trichet, J.C. (2004), “The ECB’s Use of Statistics and Other Information for
Monetary Policy”, Keynote Address Delivered at the OECD’s World Forum on
Key Indicators of Statistics, Knowledge and Policy, Palermo, November 11.
Vasudevan, A. (1977), “Demand for Money in India - A Survey of Literature”.
RBI Staff Occasional Papers, 2, 58-83.
Volcker, P. A. (1978), “The Role of Monetary Targets in an Age of Inflation”.
Journal of Monetary Economics, 4, 329-39.
Appendix A
Measures of monetary aggregates used in the study |
Monetary aggregates |
Monetary components (x) |
M2 |
currency with the public + demand deposits with banks + other deposits with the RBI + time liability proportion of the savings deposits with banks + term deposits with the contractual maturity of up to and including one year with banks + certificate of deposits issued by banks |
M3 |
M2 + term deposits with the contractual maturity of over one year with banks + call borrowings from non-depository financial corporations by banks |
L1 |
M3 + all deposits with the Post Office Savings Banks (excludingNational Savings Certificates) |
Monetary components and corresponding interest rate proxies |
Monetary components (x) |
Interest rates (r) |
Currency with the public |
Zero |
Demand deposits with banks |
Zero |
Other deposits with the RBI |
Zero |
Term deposits with the contractual maturity of up to and including one year with banks |
Interest rate on one year term deposits |
Term deposits with the contractual maturity of over one year |
Interest rate on 5 years term deposits |
Certificate of deposits issued by banks |
Interest rate on certificate of deposits issued by banks |
Call borrowings from non-depository financial corporations by banks |
Average call money rate |
All deposits with the Post Office Savings Banks (excluding National Savings Certificates) |
Interest rate on postal time deposits |
Appendix B
Divisia Monetary Indices (Contd.) |
Month &Year |
DM2 |
DM3 |
DL1 |
Month &Year |
DM2 |
DM3 |
DL1 |
Apr-93 |
100.00 |
100.00 |
100.00 |
Dec-95 |
143.82 |
144.43 |
144.47 |
May-93 |
100.52 |
100.60 |
100.59 |
Jan-96 |
145.87 |
146.48 |
146.50 |
Jun-93 |
99.53 |
100.19 |
100.19 |
Feb-96 |
146.94 |
147.55 |
147.55 |
Jul-93 |
99.77 |
100.63 |
100.65 |
Mar-96 |
150.58 |
151.59 |
151.72 |
Aug-93 |
98.99 |
100.64 |
100.67 |
Apr-96 |
148.73 |
151.16 |
151.24 |
Sep-93 |
100.46 |
101.86 |
101.89 |
May-96 |
149.25 |
151.64 |
151.73 |
Oct-93 |
101.37 |
102.94 |
102.96 |
Jun-96 |
150.24 |
152.84 |
152.93 |
Nov-93 |
104.30 |
105.20 |
105.21 |
Jul-96 |
149.47 |
152.49 |
152.61 |
Dec-93 |
105.23 |
106.35 |
106.37 |
Aug-96 |
149.13 |
152.33 |
152.46 |
Jan-94 |
108.21 |
108.85 |
108.84 |
Sep-96 |
151.79 |
155.23 |
155.34 |
Feb-94 |
111.13 |
111.22 |
111.18 |
Oct-96 |
152.96 |
156.30 |
156.39 |
Mar-94 |
113.34 |
113.16 |
113.15 |
Nov-96 |
154.86 |
158.22 |
158.30 |
Apr-94 |
118.03 |
117.57 |
117.49 |
Dec-96 |
155.09 |
158.63 |
158.72 |
May-94 |
120.27 |
119.32 |
119.22 |
Jan-97 |
158.54 |
162.24 |
162.29 |
Jun-94 |
121.15 |
120.04 |
119.95 |
Feb-97 |
160.30 |
163.97 |
164.00 |
Jul-94 |
122.32 |
121.42 |
121.35 |
Mar-97 |
167.36 |
170.71 |
170.74 |
Aug-94 |
119.71 |
120.14 |
120.11 |
Apr-97 |
168.67 |
172.35 |
172.37 |
Sep-94 |
123.15 |
123.52 |
123.45 |
May-97 |
170.86 |
174.48 |
174.48 |
Oct-94 |
127.78 |
127.52 |
127.46 |
Jun-97 |
173.88 |
177.33 |
177.33 |
Nov-94 |
129.86 |
129.34 |
129.28 |
Jul-97 |
171.49 |
175.59 |
175.61 |
Dec-94 |
130.59 |
130.15 |
130.10 |
Aug-97 |
168.40 |
173.36 |
173.43 |
Jan-95 |
131.17 |
130.63 |
130.58 |
Sep-97 |
171.68 |
176.70 |
176.76 |
Feb-95 |
133.56 |
132.82 |
132.75 |
Oct-97 |
173.30 |
178.65 |
178.71 |
Mar-95 |
143.18 |
141.80 |
141.71 |
Nov-97 |
176.56 |
181.68 |
181.72 |
Apr-95 |
143.85 |
142.06 |
141.96 |
Dec-97 |
177.11 |
182.49 |
182.56 |
May-95 |
145.87 |
143.87 |
143.75 |
Jan-98 |
177.99 |
183.60 |
183.64 |
Jun-95 |
144.35 |
142.79 |
142.71 |
Feb-98 |
176.55 |
183.88 |
183.97 |
Jul-95 |
143.99 |
142.61 |
142.55 |
Mar-98 |
185.09 |
191.88 |
192.02 |
Aug-95 |
144.08 |
142.97 |
142.91 |
Apr-98 |
188.09 |
195.29 |
195.30 |
Sep-95 |
145.76 |
144.95 |
144.89 |
May-98 |
190.64 |
197.87 |
197.86 |
Oct-95 |
148.44 |
147.20 |
147.13 |
Jun-98 |
193.67 |
200.88 |
200.89 |
Nov-95 |
147.50 |
146.70 |
146.68 |
Jul-98 |
191.89 |
200.32 |
200.35 |
Appendix B
Divisia Monetary Indices (Contd.) |
Month &Year |
DM2 |
DM3 |
DL1 |
Month &Year |
DM2 |
DM3 |
DL1 |
Aug-98 |
191.22 |
200.27 |
200.33 |
Apr-01 |
284.13 |
300.05 |
300.50 |
Sep-98 |
195.28 |
204.49 |
204.51 |
May-01 |
288.10 |
304.33 |
304.81 |
Oct-98 |
198.57 |
207.77 |
207.78 |
Jun-01 |
290.27 |
307.06 |
307.60 |
Nov-98 |
199.03 |
208.67 |
208.70 |
Jul-01 |
287.18 |
305.61 |
306.30 |
Dec-98 |
200.94 |
210.34 |
210.39 |
Aug-01 |
288.64 |
307.30 |
308.11 |
Jan-99 |
205.22 |
214.59 |
214.58 |
Sep-01 |
287.93 |
308.54 |
309.41 |
Feb-99 |
207.19 |
216.75 |
216.72 |
Oct-01 |
292.49 |
312.67 |
313.60 |
Mar-99 |
217.88 |
226.26 |
226.30 |
Nov-01 |
297.72 |
317.47 |
318.42 |
Apr-99 |
219.92 |
228.98 |
228.89 |
Dec-01 |
300.62 |
320.43 |
321.43 |
May-99 |
221.96 |
231.23 |
231.15 |
Jan-02 |
299.93 |
320.90 |
321.96 |
Jun-99 |
222.75 |
232.17 |
232.13 |
Feb-02 |
305.97 |
326.62 |
327.68 |
Jul-99 |
222.16 |
233.44 |
233.43 |
Mar-02 |
313.66 |
333.35 |
334.52 |
Aug-99 |
222.82 |
234.81 |
234.82 |
Apr-02 |
320.52 |
340.58 |
341.71 |
Sep-99 |
226.16 |
238.48 |
238.49 |
May-02 |
330.84 |
355.17 |
356.21 |
Oct-99 |
229.49 |
241.73 |
241.74 |
Jun-02 |
331.69 |
356.21 |
357.34 |
Nov-99 |
231.69 |
243.80 |
243.84 |
Jul-02 |
329.18 |
355.99 |
357.24 |
Dec-99 |
238.24 |
250.15 |
250.18 |
Aug-02 |
329.46 |
357.06 |
358.38 |
Jan-00 |
237.97 |
250.01 |
250.06 |
Sep-02 |
331.24 |
359.32 |
360.70 |
Feb-00 |
242.27 |
254.30 |
254.33 |
Oct-02 |
336.66 |
364.16 |
365.58 |
Mar-00 |
244.53 |
256.62 |
256.80 |
Nov-02 |
340.69 |
368.79 |
370.25 |
Apr-00 |
250.80 |
263.19 |
263.30 |
Dec-02 |
343.76 |
371.13 |
372.67 |
May-00 |
252.59 |
265.25 |
265.37 |
Jan-03 |
344.79 |
373.20 |
374.80 |
Jun-00 |
254.86 |
268.16 |
268.35 |
Feb-03 |
350.36 |
377.56 |
379.29 |
Jul-00 |
251.07 |
265.54 |
265.82 |
Mar-03 |
354.87 |
381.76 |
383.63 |
Aug-00 |
251.57 |
266.79 |
267.13 |
Apr-03 |
367.36 |
394.26 |
396.05 |
Sep-00 |
254.01 |
269.43 |
269.80 |
May-03 |
370.26 |
398.14 |
400.02 |
Oct-00 |
259.80 |
275.15 |
275.52 |
Jun-03 |
373.21 |
401.10 |
403.10 |
Nov-00 |
262.25 |
278.28 |
278.67 |
Jul-03 |
370.33 |
400.74 |
402.93 |
Dec-00 |
267.22 |
282.27 |
282.69 |
Aug-03 |
371.73 |
403.19 |
405.48 |
Jan-01 |
265.15 |
281.33 |
281.79 |
Sep-03 |
373.87 |
405.87 |
408.25 |
Feb-01 |
269.02 |
285.02 |
285.48 |
Oct-03 |
389.48 |
420.59 |
422.96 |
Mar-01 |
275.67 |
291.12 |
291.64 |
Nov-03 |
391.67 |
424.60 |
427.07 |
Appendix B
Divisia Monetary Indices (Concld.) |
Month &Year |
DM2 |
DM3 |
DL1 |
Month &Year |
DM2 |
DM3 |
DL1 |
Dec-03 |
396.43 |
428.55 |
431.15 |
Apr-06 |
612.93 |
657.74 |
661.90 |
Jan-04 |
401.01 |
434.97 |
437.68 |
May-06 |
598.78 |
649.66 |
654.07 |
Feb-04 |
411.06 |
443.72 |
446.45 |
Jun-06 |
595.39 |
649.73 |
654.32 |
Mar-04 |
426.85 |
457.81 |
460.63 |
Jul-06 |
600.82 |
657.16 |
661.81 |
Apr-04 |
438.31 |
470.59 |
473.38 |
Aug-06 |
610.33 |
667.52 |
672.21 |
May-04 |
436.19 |
470.37 |
473.32 |
Sep-06 |
628.41 |
686.04 |
690.60 |
Jun-04 |
436.67 |
471.96 |
475.06 |
Oct-06 |
631.20 |
687.28 |
691.95 |
Jul-04 |
435.18 |
472.74 |
475.99 |
Nov-06 |
635.34 |
693.97 |
698.70 |
Aug-04 |
443.67 |
478.78 |
482.12 |
Dec-06 |
642.06 |
699.74 |
704.54 |
Sep-04 |
438.94 |
475.63 |
479.14 |
Jan-07 |
651.37 |
711.82 |
716.47 |
Oct-04 |
455.84 |
495.38 |
498.83 |
Feb-07 |
679.19 |
736.26 |
740.42 |
Nov-04 |
454.31 |
495.65 |
499.21 |
Mar-07 |
711.29 |
756.89 |
760.71 |
Dec-04 |
456.00 |
497.65 |
501.36 |
Apr-07 |
696.36 |
760.93 |
764.68 |
Jan-05 |
464.02 |
507.53 |
511.26 |
May-07 |
693.23 |
760.01 |
763.87 |
Feb-05 |
470.56 |
513.51 |
517.29 |
Jun-07 |
705.77 |
772.38 |
776.05 |
Mar-05 |
480.05 |
522.56 |
526.54 |
Jul-07 |
713.40 |
783.20 |
786.69 |
Apr-05 |
499.48 |
543.10 |
546.98 |
Aug-07 |
709.09 |
785.29 |
788.74 |
May-05 |
499.14 |
544.20 |
548.24 |
Sep-07 |
740.96 |
814.67 |
817.50 |
Jun-05 |
503.29 |
547.65 |
551.83 |
Oct-07 |
735.65 |
813.71 |
816.56 |
Jul-05 |
503.64 |
549.80 |
554.12 |
Nov-07 |
760.56 |
835.02 |
837.44 |
Aug-05 |
509.18 |
556.18 |
560.59 |
Dec-07 |
768.46 |
843.99 |
846.20 |
Sep-05 |
528.03 |
576.33 |
580.67 |
Jan-08 |
790.15 |
867.10 |
868.61 |
Oct-05 |
527.86 |
577.40 |
581.86 |
Feb-08 |
802.24 |
884.30 |
885.20 |
Nov-05 |
532.01 |
580.92 |
585.50 |
Mar-08 |
852.28 |
928.36 |
928.30 |
Dec-05 |
542.51 |
589.53 |
594.16 |
Apr-08 |
830.98 |
914.55 |
914.74 |
Jan-06 |
549.53 |
596.57 |
601.19 |
May-08 |
838.11 |
923.86 |
923.95 |
Feb-06 |
562.94 |
608.77 |
613.27 |
Jun-08 |
836.15 |
924.15 |
924.31 |
Mar-06 |
599.29 |
646.20 |
650.42 |
|
|
|
|
* Prof. M. Ramachandran is a Professor of Economics in the Department of Economics, Pondicherry
University. Shri Rajib Das is Director and Shri Binod B. Bhoi is Assistant Adviser in the Department of
Economic Analysis and Policy of the Bank.
1Ramachandran (2000) observed that the growing openness of the economy and the market oriented
reforms in the financial sector had brought in significant changes in the money supply process and as a
consequence, the monetary targeting turned out to be a more complicated and less useful exercise.
2This large panel of indicators is often criticised as a ‘check list’ approach, which tend to undermine the
concept of a nominal anchor for monetary policy. However, in line with the transition of the Indian economy
towards an open market-oriented economic system, there were shifts in the channels of monetary policy
transmission, which required the central bank to operate through all the paths that transmit its policy
impulses to the real economy.
3The study by Kannan (1989) provided supporting evidence for the use of weighted monetary aggregates
to predict nominal income. However, Jadhav (1989) found that the methodology followed by Kannan to
obtain weights had circular reasoning. The better predictability of monetary aggregates is embedded in the
very construction of weights.
4
The recent studies by Barnett (1995), Barnett, Liu, and Jensen (1997), Barnett, Hinich, and Yue (2000),
Barnett and Liu (2000) and Barnett and Shu Wu (2005) focus on risk adjusted user cost of money. The
present study has not taken up this exercise as the aggregates considered by this study contain monetary
component which are, to a larger extent, risk free.
5
Barnett (1978) defines the benchmark return as the yield on human capital in a world where there is no
slavery system.
6 There was a suggestion from the referee of this study to conduct the empirical investigation for the
period beginning from 1998, because major deregulation of interest rates is perceived to have taken place
since 1998. However, we could not find strong cointegrating relationship between growth rates of both
Divisa / simple sum monetary aggregates and inflation. This might be due to the small size of sample given
the low power of the test that we have used in the study.
7
The narrow monetary aggregate M1 is not considered as their components are highly liquid assest;
hence, there will be hardly any difference between sum M1 and its Divisia counterpart.
8
We have received suggestions to use yield on long-term government securities as a proxy for benchmark
interest rate. We could not use it as a proxy for benchmark rate because we encounter negative user cost at
large number of data points.
9 The empirical studies at large assumed zero return on currency and demand deposits. However,
commercial banks compete among themselves to attract funds through current account by offering nonmonetary
benefits to the account holders. As a consequence, construction of time series data on implicit
yield on demand deposit received attention in the literature and an attempt was initiated by Klein (1974).
There are few studies that take into account such measure as return on demand deposits while constructing
monetary aggregates. We have assumed zero return on demand deposits since construction of implicit
yield on demand deposits itself can be an independent study.
10
The results regarding impulse response and variance decomposition pertaining to conventional measures
of core inflation under consideration are consistent with the evidence concerning headline inflation. The
results are available from the authors on request.
11
Divisia Monetary Aggregates are available for the United Kingdom by the Bank of England and for the
United States by the Federal Reserve Bank of St. Louis besides regular computation of the same by the
National Bank of Poland. In addition, Divisia monetary measure is used by the executives of Bank of Japan
for an assessment of the economy.
12
We have not attempted these issues in the present study since our focus is to examine the relative role
of Divisia monetary aggregates as predictor of inflation. |