India’s financial sector consolidated further in terms of asset quality, capital position, profitability and resilience. Macro stress tests for credit risk reveal that all banks would be able to meet the regulatory minimum capital even under a severe stress scenario. Interconnectedness among financial sector entities continued to rise in terms of bilateral exposures. Introduction 2.1 The Indian banking sector recorded sustained improvement in capital positions, asset quality and profitability amidst strong business expansion. Credit growth remains robust, mainly driven by personal loans and lending to the services sector. Accruals in term deposits rose with increased transmission of monetary policy. The regulatory prescription of higher risk weights for certain category of loans has had a sobering impact on such loans. Lending by non-banking financial companies (NBFCs) moderated in the second half of 2023-24, especially personal loans, and asset quality improved further. Bilateral exposures among entities in the Indian financial system continued to expand, commensurate with expansion in business. 2.2 This chapter presents stylised facts and analyses on latest trends in the domestic financial sector. Section II.1 outlines the performance of scheduled commercial banks (SCBs) in India through various parameters, viz. business mix; asset quality; concentration of large borrowers; capital adequacy; earnings and profitability. Macro stress tests and sensitivity analyses are also performed to evaluate the resilience of SCBs. Sections II.2 and II.3 examine the financial parameters of urban cooperative banks (UCBs) and NBFCs, respectively, including their resilience under various stress scenarios. Sections II.4, II.5 and II.6 examine the soundness and resilience of the insurance sector, mutual funds and clearing corporations, respectively. Section II.7 concludes the chapter with a detailed analysis of the network structure and connectivity of the Indian financial system, with contagion analysis under adverse scenarios. II.1 Scheduled Commercial Banks (SCBs)1 2 3 2.3 Deposit mobilisation by SCBs gathered pace during 2023-24 with a large portion of new accretions in the form of term deposits. Interest rates became more attractive as banks stepped up efforts to mobilise funds to match the rapid rise in credit demand (Chart 2.1 a and 2.1 b). Growth in current account and savings account (CASA) accelerated across all bank groups (Chart 2.1 c). 2.4 Bank credit accelerated during H2:2023-24 among public sector banks (PSBs) and foreign banks (FBs), whereas it moderated in respect of private sector banks (PVBs) (Chart 2.1 d). The share of credit to the services sector and personal loans in the aggregate loan portfolio increased (Chart 2.1 e and f). Personal loans accounted for over half of PVBs’ credit growth (Chart 2.1 g). The expansion in personal loans was broad-based (Chart 2.1 h), led by housing loans and followed by other personal loans (Chart 2.1 i). II.1.1 Asset Quality 2.5 The asset quality of SCBs recorded sustained improvement and their GNPA ratio moderated to a 12-year low in March 2024 (Chart 2.2 a). Their NNPA ratio4 too improved to a record low (Chart 2.2 b). Among bank groups, PSBs recorded a substantial reduction (76 bps) in their GNPA ratio during H2:2023-24. While the GNPA stock decreased across all bank groups, active and deep provisioning by PSBs and FBs resulted in an improved provisioning coverage ratio (PCR)5 in March 2024 (Chart 2.2 c). The half-yearly slippage ratio (viz., new NPA accretions as a share of standard advances) decreased across bank groups (Chart 2.2 d). Though the amount of write-offs declined during the year, the write-off ratio6 remained almost at the same level as a year ago, due to reduction in GNPA stock (Chart 2.2 e). Overall, the sustained reduction in the GNPA ratio since March 2020 has been primarily due to a persistent fall in new NPA accretions and increased write-offs (Chart 2.2 f).   II.1.2 Sectoral Asset Quality 2.6 The improvement in SCBs’ asset quality was broad-based (Chart 2.3 a). Among major sectors, the impairment ratio in agriculture remained the highest but it has recorded persistent improvement during H2:2023-24. The GNPA ratio in all categories of personal loans reduced across bank groups (Chart 2.3 b). Within the industrial sector, asset quality improved across all major sub-sectors barring the vehicles and transport equipment sector (3.0 per cent share in bank credit to industry) (Chart 2.3 c). II.1.3 Credit Quality of Large Borrowers7 2.7 The share of large borrowers in gross advances of SCBs declined during 2023-24. The asset quality of the large borrower portfolio of banks improved, leading to a downtick in the share of large borrowers in total GNPAs of SCBs (Chart 2.4 a and b). SMA8 loans in all maturity buckets declined sequentially (q-o-q) in March 2024 (Chart 2.4 c). The SMA-2 ratio for large borrowers, which had risen during H1:2023-24, declined during Q3 and Q4:2023-24 (Chart 2.4 d). The proportion of standard assets to total funded amount continued to rise for large borrower accounts (Chart 2.4 e). The share of the top 100 borrowers in the total funded amount moderated during 2023-24 after rising in the previous two years. As at end March 2024, only one of the top 100 borrower accounts was classified under the NPA category (Chart 2.4 f). In terms of value, investment grade advances (rated BBB and above) constituted 91.3 per cent of total externally rated funded advances to large borrowers (Chart 2.4 g).    II.1.4 Capital Adequacy 2.8 During H2:2023-24, CRARs of PSBs increased but they declined for PVBs and FBs that had higher shares of certain categories of loans for which risk weights were increased under regulatory measures9 (Chart 2.5 a). As growth in risk weighted assets (RWA) outpaced the growth in total capital for PVBs and FBs, the system level CRAR declined by 37 bps during 2023-24 (Chart 2.5 b). Due to revision in risk weights, all bank groups posted higher growth in RWA during October-December 2023 over a year ago (Chart 2.5 c). The common equity tier 1 (CET1) capital ratio inched closer to its record level of March 2023, as its share in total capital increased (Chart 2.5 d). The Tier I leverage ratio10 remained close to its September 2023 level, with additional Tier I capital accretion matching incremental total exposure during H2:2023-24 (Chart 2.5 e). Capital ratios are exhibiting mean reversion with an asymmetric speed of reversion towards trend (Box 2.1).  Box 2.1: Banking System Resilience Measured through the Speed of Convergence SCBs in India are mandated to maintain a minimum CRAR of 9 per cent on an ongoing basis to ensure viability and smooth business functioning. Since 2009, the bank group level CRARs have remained much above the regulatory minimum: the lowest CRARs among PSBs, PVBs and FBs observed during this period are 11.2 per cent, 15.0 per cent and 14.3 per cent, respectively (Chart 1). Nevertheless, there were occasions when an individual bank’s CRAR fell below 9 per cent. In the event of banks’ CRAR deviating from the trend, the speed of convergence towards the trend acts as a proxy for the banks’ resilience. Resilience is measured by the coefficient (αT) of ‘Gap’ in the following equation (O’Sullivan, et al; 2024): where ‘Gap’ denotes the deviation of CRAR from its long-term trend (CRAR minus long-term trend), i stands for bank groups (PSBs, PVBs and FBs), X is a set of control variables (e.g., inflation rate; lending rate spread) and ϵt a normally distributed white noise error. The long-term trend is computed by using one-sided Hodrick-Prescott (HP) filter with ‘lambda’ equal to 1600. The coefficient (αT) should be negative to ensure mean reversion, with higher values (in absolute terms) representing higher resilience. Among bank groups, the maximum resilience is displayed by FBs. With improvements in asset quality and capital adequacy, PSBs displayed better convergence than PVBs, and also showed the highest resilience among bank groups in the latest quarter (Chart 2). To ascertain whether the speed of convergence is asymmetric for higher and lower levels of CRAR, the following relationship for each bank group is estimated using quarterly data from Q1:2009 to Q1:2024: where Gap+ = ‘Gap’ when it is positive, zero otherwise; and Gap- = ‘Gap’ when it is negative, zero otherwise. It is observed that PSBs and PVBs catch up with their long-term CRAR levels at a faster rate when the CRAR is below the long-term trend. The speed of mean reversion is higher and significant when the gap is negative vis-à-vis when it is positive (Table 1). FBs, however, have a different profit allocation behaviour as they are permitted to remit profits to their headquarters; hence the speed of mean reversion is higher and significant when the gap is positive.  | Table 1: Estimated regression equations for ΔCRAR | | | PSBs | PVBs | FBs | | Constant | 0.081 | -1.448** | -1.081 | | | (0.104) | (0.569) | (0.670) | | Gap+(-1) | 0.106 | -0.157 | -0.574* | | | (0.207) | (0.259) | (0.332) | | Gap-(-1) | -0.955*** | -0.499* | -0.306 | | | (0.340) | (0.267) | (0.281) | | Lending spread | | 0.316** | 0.262* | | | | (0.119) | (0.140) | | No. of Obs. | 60 | 60 | 60 | | Adjusted R2 | 0.085 | 0.086 | 0.116 | | DW statistic | 1.872 | 2.015 | 1.975 | | F-statistic | 3.725** | 2.851** | 3.570** | ***, ** and * indicate significance at 1, 5 and 10 per cent levels, respectively. Figures in parentheses are standard errors. Lending spread = Weighted average lending rate minus RBI repo rate. | Reference: O’Sullivan, C, V Papavassiliou, R Wekesa Wafula and S Boubaker (2024). 'New insights into liquidity resiliency”, Journal of International Financial Markets, Institutions and Money, Vol 90, 101892. | II.1.5 Earnings and Profitability 2.9 Net interest income (NII) of SCBs increased during 2023-24 with a surge in trading income augmenting other operating income (OOI). As the need for additional provisions fell due to depleting stock of NPAs, profit after tax (PAT) rose by 32.5 per cent (y-o-y) in March 2024 in spite of a large increase in operating expenses. On the back of significant increase in NII and OOI, PVBs registered higher PAT growth vis-à-vis PSBs. A significant fall in OOI of FBs, however, led to moderation in their PAT despite a steep fall in provisioning (Chart 2.6 a). 2.10 Lagged effects of transmission of monetary policy rate increases and shifts in liquidity conditions led to nearly 100 bps rise in the cost of funds, as against 75 bps rise in the yield on assets during 2023-24 (Chart 2.6 b & c). As a result, net interest margin (NIM) of SCBs shrunk marginally (Chart 2.6 d). Profitability of banks remained high as reflected in their RoE and RoA ratios (Chart 2.6 e and f). II.1.6 Resilience – Macro Stress Tests 2.11 Macro stress tests are performed to assess the resilience of SCBs’ balance sheets to unforeseen shocks emanating from the macroeconomic environment. These tests attempt to assess capital ratios over a one-year horizon under a baseline and two adverse11 (medium and severe) scenarios. The baseline scenario is derived from the forecasted values of macroeconomic variables. The medium and severe adverse scenarios are arrived at by applying 0.25 to one standard deviation (SD) shocks and 1.25 to two SD shocks, respectively, to the macroeconomic variables, increasing the shocks sequentially by 25 basis points in each quarter (Chart 2.7). The adverse scenarios are stringent conservative assessments under hypothetical adverse economic conditions. The model outcomes should not be interpreted as forecasts.  2.12 Stress test results reveal that SCBs are well capitalised and capable of absorbing macroeconomic shocks even in the absence of any further capital infusion by stakeholders. Under the baseline scenario, the aggregate CRAR of 46 major banks is projected to slip from 16.7 per cent in March 2024 to 16.1 per cent by March 2025. It may go down to 14.4 per cent in the medium stress scenario and to 13.0 per cent under the severe stress scenario by March 2025, which is still above the minimum capital requirement (Chart 2.8 a). No SCB would breach the minimum capital requirement of 9 per cent over a year ahead horizon (Chart 2.8 b).   2.13 The CET1 capital ratio of the select 46 SCBs may decline from 13.8 per cent in March 2024 to 13.4 per cent a year ahead under the baseline scenario (Chart 2.9 a). Even in a severely stressed macroeconomic environment, the aggregate CET1 capital ratio would deplete by 300 basis points only, which would not breach the minimum regulatory norms. All banks would be able to meet the minimum regulatory CET1 ratio of 5.5 per cent (Chart 2.9 b). 2.14 The GNPA ratio of all SCBs may improve to 2.5 per cent by March 2025 under the baseline scenario (Chart 2.10). However, if the macroeconomic environment worsens to a severe stress scenario, the ratio may rise to 3.4 per cent. Under the severe stress scenario, the GNPA ratios of PSBs may increase from 3.7 per cent in March 2024 to 4.1 per cent in March 2025, whereas it may go up from 1.8 per cent to 2.8 per cent for PVBs and from 1.2 per cent to 1.3 per cent for FBs. II.1.7 Sensitivity Analysis12 2.15 Under macro stress tests, the shocks are in terms of adverse macroeconomic conditions, while in sensitivity analyses, hypothetical shocks are applied to single factors like GNPA, interest rate, equity prices, deposits, and the like, one at a time. This sub-section presents the results of top-down13 sensitivity analyses involving several single-factor shocks to assess the vulnerabilities of SCBs to simulated credit, interest rate, equity and liquidity risks under various stress scenarios14. a. Credit Risk 2.16 Credit risk sensitivity has been analysed under two scenarios wherein the system level GNPA ratio is assumed to rise from its prevailing level by (i) one SD15; and (ii) two SDs in a quarter. Under a severe shock of two SDs, (a) the aggregate GNPA ratio of 46 select SCBs would move up from 2.8 per cent to 7.9 per cent; (b) the system-level CRAR would deplete by 340 bps from 16.7 per cent to 13.3 per cent; and (c) the Tier 1 capital ratio would go down from 14.6 per cent to 11.2 per cent, which would still remain well above the respective regulatory minimum levels. The system level capital impairment could be 22.1 per cent in this case (Chart 2.11 a). The reverse stress test shows that a shock of 5.1 SD would be required to bring down the system-level CRAR below the regulatory minimum of 9 per cent. 2.17 Bank-level stress tests indicate that under the severe shock scenario, six banks with a share of 11.2 per cent of SCBs’ total assets may fail to maintain the regulatory minimum level of CRAR (Chart 2.11 b). In such a scenario, the CRAR would fall below 7 per cent in case of three banks (Chart 2.11 c) and five banks would record a decline of over eight percentage points in the CRAR. In general, PVBs and FBs would face lower erosion in CRARs than PSBs under both scenarios (Chart 2.11 d). b. Credit Concentration Risk 2.18 Stress tests on banks’ credit concentration – considering top individual borrowers according to their standard exposures – show that in the extreme scenario of the top three individual borrowers of respective banks failing to repay16, no bank would face a situation of a drop in CRAR below the regulatory minimum (Chart 2.12 a). Under this scenario, four banks would experience a fall of more than two percentage points in their CRARs (Chart 2.12 b) and the system level CRAR would fall by 90 bps (Chart 2.12 c). 2.19 Under the extreme scenario of the top three group borrowers in the standard category failing to repay17, the CRAR of all banks would still remain above 9 per cent (Chart 2.13 a). None of the banks would face a decline of more than five percentage points in their CRARs (Chart 2.13 b). Under this scenario, the system level CRAR would decline by 130 bps (Chart 2.13 c). 2.20 In the extreme scenario of the top three individual stressed borrowers of respective banks failing to repay18, all banks would remain resilient, with their CRARs depleting by a mere 25 bps or lower (Chart 2.14 a and b). Under this scenario, the system level CRAR would decline by 30 bps (Chart 2.14 c). c. Sectoral Credit Risk 2.21 Shocks applied on the basis of volatility of industry sub-sector-wise GNPA ratios indicate varying magnitudes of rise in GNPAs. By and large, sectoral credit risk remains muted – a two SD shock to basic metals and energy sub-sectors would reduce the system-level CRAR by merely 15 bps and 13 bps, respectively, whereas the impact of such a shock on the rest of the sub-sectors would be negligible (Table 2.1). Table 2.1: Decline in System Level CRAR - Sectoral Credit Risk (basis points, in descending order for top 10 most sensitive sectors) | | | 1 SD | 2 SD | | Basic Metal and Metal Products (699 per cent) | 8 | 15 | | Infrastructure - Energy (629 per cent) | 7 | 13 | | Infrastructure - Transport (129 per cent) | 3 | 6 | | All Engineering (158 per cent) | 2 | 5 | | Textiles (101 per cent) | 2 | 4 | | Construction (94 per cent) | 1 | 2 | | Food Processing (47 per cent) | 1 | 2 | | Vehicles, Vehicle Parts and Transport | | | | Equipments (278 per cent) | 1 | 2 | | Chemicals (170 per cent) | 1 | 2 | | Infrastructure - Communication (173 per cent) | 1 | 2 | Note: (1) For a system of select 46 SCBs. (2) Numbers in parenthesis represent the growth in GNPA of that sub-sector due to 1 SD shock to the sub-sector’s GNPA ratio. Source: RBI supervisory returns and staff calculations. | d. Interest Rate Risk 2.22 The market value of investments subject to fair value for the sample of SCBs under assessment was ₹22.4 lakh crore in March 2024 (Chart 2.15) of which, 89.3 per cent was categorised as ‘available for sale (AFS)’ and the remainder was classified as ‘held for trading (HFT)’. PSBs’ share in the trading book portfolio of SCBs has been tapering, whereas the corresponding share of FBs has been rising. 2.23 The AFS portfolio’s sensitivity (PV0119) increased for PSBs and FBs since September 2023, while it declined for PVBs. PV01 increased for PSBs owing to a rise in duration, despite their AFS portfolio shrinking. For FBs, the reverse occurred as their portfolio size increased and their duration declined. Meanwhile, for PVBs, PV01 declined predominantly on account of decline in their portfolio size. 2.24 The PV01 of HFT portfolio of PVBs and FBs increased because of the substantial increase in market value of securities held in the HFT portfolio, as these banks progressively began designating their incremental securities acquired for trading as HFT securities prior to the new investment portfolio guidelines becoming applicable from April 1, 2024 (Table 2.2). 2.25 It is assessed that the impact of a parallel upward shift of 250 bps in the yield curve on the trading portfolio would reduce the system level CRAR and CET1 ratio by 92 and 93 bps, respectively (Table 2.3). At a disaggregated level, one foreign bank’s CRAR will fall below the regulatory minimum in the event of such a major shock.
| Table 2.2: PV01 of AFS and HFT Portfolios | | (in ₹ crore) | | | AFS Portfolio | HFT Portfolio | | Sep-23 | Mar-24 | Sep-23 | Mar-24 | | PSBs | 227.2 | 231.4 | 4.6 | 4.4 | | PVBs | 109.8 | 93.2 | 8.5 | 26.3 | | FBs | 205.4 | 215.4 | 44.1 | 68.5 | | Source: Individual bank submissions and staff calculations. |
Table 2.3: Interest Rate Risk – Bank-groups - Shocks and Impacts (under shock of 250 basis points parallel upward shift of the INR yield curve) | | | Public Sector Banks | Private Sector Banks | Foreign Banks | All SCBs | | AFS | HFT | AFS | HFT | AFS | HFT | AFS | HFT | | Modified Duration (year) | 2.4 | 3.4 | 1.8 | 2.4 | 4.0 | 5.8 | 2.7 | 4.1 | | Share in total Investments (per cent) | 26.5 | 0.3 | 25.0 | 6.3 | 77.3 | 17.2 | 31.4 | 4.0 | | Reduction in CRAR (bps) | 74 | 37 | 530 | 92 | | Reduction in CET1 (bps) | 75 | 38 | 533 | 93 | | Source: Individual bank submissions and staff calculations. | 2.26 As of March 2024, yields have moved downwards across the curve as compared with their levels prevailing in December 2023. Also, since September 2023, the longer end of the yield curve has trended down due to increased buying of G-Secs by foreign portfolio investors under the fully accessible route (FAR) ahead of India’s inclusion in global bond debt index, robust demand from long-term investors (insurance companies and pension funds) and positive sentiment generated by the adherence to the glide path of fiscal consolidation. The Government borrowing programme (gross and net) for 2024-25 is expected to be lower than in 2023-24 in the full Union Budget to be announced in July 2024 with the possibility of a marginal reduction in yields due to lower borrowing requirements (Chart 2.16). 2.27 Trading profits increased for all bank cohorts in Q4:2023-24 both on an annual (y-o-y) and on a sequential (q-o-q) basis. Securities trading earnings accounted for nearly a fifth of FBs’ net operating income after a three-year period of negative/marginal share. PVBs’ share of trading earnings in net operating income increased nearly threefold since December 2023. In absolute terms, trading profits for PSBs have more than doubled during Q4:2023-24 vis-à-vis the previous quarter (Table 2.4). 2.28 PSBs preferred to increase their holdings in state development loans (SDLs) while paring their allocations to G-Secs and other securities that are eligible for holding in the HTM category (Chart 2.17). PVBs increased their holding of G-Secs and SDLs in the HTM category, while reducing holdings of other securities.
| Table 2.4: OOI - Profit/ (Loss) on Securities Trading – All Banks | | (in ₹ crore) | | | Q4: 2022-23 | Q1: 2023-24 | Q2: 2023-24 | Q3: 2023-24 | Q4: 2023-24 | | PSBs | 4084 (6.5) | 6394 (10.2) | 4047 (6.9) | 3187 (6.4) | 7565 (10.7) | | PVBs | 111 (0.2) | 2042 (3.3) | 872 (1.4) | 3628 (5.4) | 10421 (13.9) | | FBs | -604 (-2.6) | 215 (1.8) | -625 (-5.1) | -1864 (-19.6) | 1532 (18.8) | Note: Figures in parentheses represent OOI-Profit/ (Loss) on Securities Trading as a percentage of Net Operating Income. Source: RBI supervisory returns and staff calculations. |
2.29 In March 2024, the notional loss in the HTM book of SCBs (PSBs and PVBs) declined by more than a half to ₹34,024 crore from ₹70,497 crore in September 2023, as the yield curve trended down in H2:2023-24 after a significant upward shift during 2022-23 and H1:2023-24. 2.30 The distribution of unrealised losses across investment categories showed a higher proportion of unrealised losses in other securities in the HTM book of PSBs. In contrast, PVBs had a larger percentage of unrealised losses in SDLs within their HTM book (Chart 2.18). 2.31 If a parallel upward shock of 250 bps in the yield curve is applied, the mark-to-market impact on the HTM portfolio of banks excluding unrealised losses would reduce the system level CRAR by 319 bps. In respect of two banks, the CRAR would fall below the regulatory minimum. 2.32 In March 2024, holding of statutory liquidity ratio (SLR) eligible securities by PSBs and PVBs in the HTM category amounted to 21.4 per cent and 19.9 per cent, respectively, of their net demand and time liabilities (NDTL), while it stood at 4.1 per cent for FBs. 2.33 An assessment of the interest rate risk of banks20 using traditional gap analysis (TGA) for rate sensitive global assets, liabilities and off-balance sheet items shows that for time buckets up to one year, earnings at risk (EAR) are assessed at 11.2 per cent and 9.4 per cent of NII for PSBs and PVBs, respectively, for a 200 bps increase in interest rate, whereas the impact would be marginal for FBs and SFBs (Table 2.5). The impact of the interest rate rise on earnings is positive as the cumulative gap21 at bank group level was positive in March 2024. Conversely, if the interest rates are to decrease, they would lead to an adverse impact.
| Table 2.5: Earnings at Risk (EAR) - Traditional Gap Analysis (TGA) | | Bank Group | Earnings at Risk (till one year) as percentage of NII | | 100 bps increase | 200 bps increase | | PSBs | 5.6 | 11.2 | | PVBs | 4.7 | 9.4 | | FBs | 0.3 | 0.5 | | SFBs | 1.1 | 2.1 | | Source: RBI supervisory seturns and staff calculations. | 2.34 As per the duration gap analysis22 (DGA) assessment for risk sensitive global assets, liabilities and off-balance sheet items, PVBs’ and FBs’ market value of equity (MVE) would reduce marginally from an upward movement in the interest rate, while that of PSBs would be positively impacted. SFBs’ MVE would be particularly weighed down by an interest rate rise (Table 2.6). If the interest rates are to decrease, impact would be the other way. | Table 2.6: Market Value of Equity (MVE) - Duration Gap Analysis (DGA) | | Bank Group | Market Value of Equity (MVE) as percentage of Equity | | 100 bps increase | 200 bps increase | | PSBs | 0.8 | 1.5 | | PVBs | -0.9 | -1.7 | | FBs | -2.2 | -4.3 | | SFBs | -5.0 | -10.1 | | Source: RBI supervisory returns and staff calculations. | e. Equity Price Risk 2.35 As banks have limited capital market exposures owing to regulatory prescriptions, any impact of a possible significant fall in equity prices on banks’ CRAR would be low for the select universe of 46 major banks. Under the scenarios of 25 per cent, 35 per cent and 55 per cent drops in equity prices, the system level CRAR would reduce by 23 bps, 32 bps and 51 bps, respectively (Chart 2.19). f. Liquidity Risk 2.36 Liquidity risk analysis aims to capture the impact of any possible run on deposits and increased demand for unutilised portions of sanctioned/committed/guaranteed credit lines. In an extreme scenario of sudden and unexpected withdrawal of around 15 per cent of uninsured deposits along with the utilisation of 75 per cent of unutilised portion of committed credit lines, liquid assets23 at the system level would decrease from 21.0 per cent of total assets to 10.4 per cent (Chart 2.20). 2.37 Under the assumption of 75 per cent utilisation of unutilised committed credit lines, reverse stress test reveals that for the majority of banks, an uninsured deposit run-off of over 30 per cent is required to knock off their liquid resources completely (Chart 2.21).
II.1.8 Bottom-up Stress Tests: Credit, Market and Liquidity Risk 2.38 A suite of bottom-up stress tests (sensitivity analyses) for select banks’24 March 2024 position affirmed the resilience of banks to multiple types and magnitude of shocks. These results broadly validate the top-down stress test assessment. All the sample banks would be able to meet the regulatory minimum CRAR under diverse shock scenarios (Chart 2.22). 2.39 The bottom-up stress test for liquidity risk reveals that liquid assets ratios25 of all the sample banks would remain positive under different shock scenarios, emphasising the adequacy of their HQLAs to withstand any plausible liquidity pressure from sudden and unexpected withdrawal of deposits. Under the scenarios of (i) a 10 per cent deposit run-off in 1-2 days and (ii) a 3 per cent deposit run-off for five consecutive days, the average liquid asset ratios of the select banks would drop from 23 per cent to 16.3 per cent and 12.6 per cent, respectively (Chart 2.23). II.1.9 Bottom-up Stress Tests: Derivatives Portfolio 2.40 A series of bottom-up stress tests (sensitivity analyses) on derivative portfolios have been conducted for select banks26 with the reference date of end-March 2024. The derivative portfolios of the banks in the sample are subjected to four separate shocks on interest and foreign exchange rates. While the interest rates shocks range from 100 to 250 basis points, in the case of foreign exchange rates, shocks of 20 per cent appreciation/depreciation are assumed. The stress tests are carried out for individual shocks on a stand-alone basis. 2.41 Keeping parity with the trend observed in the recent past, most of the FBs maintained a significantly negative net mark-to-market (MTM) position as a proportion of CET1 capital in March 2024. The MTM impact is, by and large, muted for PSBs and PVBs (Chart 2.24). At the system level, the extent of negative MTM position is the highest in the last two years.
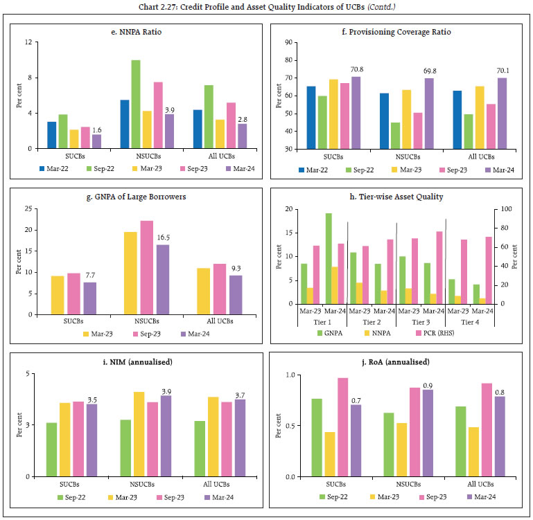
2.42 The stress test results show that the select set of banks would gain, on an average, from an interest rate rise, which is akin to the experience in the recent past (Chat 2.25). As regards exposures to forex derivatives, they stand to benefit from INR depreciation. Potential gains from interest rate increase dipped further in March 2024, while they have been on the rise for INR depreciation. The pay-off profile in respect of foreign exchange risk has become more asymmetric, with potential losses from appreciation increasing significantly.  2.43 Banks’ income from the derivatives portfolios includes both the realised income and change in MTM position of the banks. It is for this reason that despite many foreign banks consistently reporting a negative MTM position in their derivatives portfolios, their income (from derivative portfolio) forms a substantial portion of their earnings. From the highs of 2022, the contribution of the derivative portfolio of foreign banks to their net operating income (NOI) has been continuously decreasing and stood at 7.1 per cent of NOI in March 2024. For PSBs, it has been on the rise since the low recorded in September 2022 (Chart 2.26). Based on the notional principal amount, FBs have more diversified counterparties while most of the positions taken by PVBs and PSBs are with other banks.  2.44 Using bank-level data since the start of the survey in March 2017, a panel of 13 banks was built to study the determinants of income from derivatives portfolio (and its components) (Box 2.2). The causal effect of interest rates and exchange rates on total derivative income is found to be significantly more powerful than on realised income and banks tended to gain with interest rate changes and tended to lose with exchange rate changes. Also, better capitalised banks take more risks in the derivative market. Box 2.2: Derivative Portfolio: Determinants of Income Using bank-level half-yearly feedback since March 2017, a panel of 13 banks is built to understand major contributing factors driving banks’ income from their derivative portfolios. The total income from the derivative portfolio is split into two constituents: (i) change in net marked-to-market (MTM) position and (ii) residual (termed as realised income). As a proportion to potential future exposure (PFE) at the aggregate level, total income and realised income seem to be co-moving with an upward trend, with the movements in realised income being more volatile. Also, this volatility seems to have increased over time. The movement in net MTM changes, on the other hand, is found to be moving in the opposite direction, highlighting the possibility of banks getting more aggressive in churning their portfolio when their net MTM undergoes a decline (Chart 1). In a panel regression framework, the following models are estimated. where n denotes bank (n=1,2…13) and t denotes number of periods (t=1,2…13). Potential future exposure of bank n at time point t is denoted by PFE. Year-on-year percentange change in half-yearly real gross domestic product and half-yearly consumer price index is denoted by ΔGDP and ΔCPI, respectively. ΔTBill+ (ΔTBill–) is equal to half year-on-half year increase (decrease) in 90-days treasury bill rate when it increases (decreases), zero otherwise. Similarly, ΔUSDINRa (ΔUSDINRd) is equal to half year-on-half year decrease (increase) in average USD-INR exchange rates when it decreases (increases), zero otherwise. The results show a significant powerful causal effect of interest rates and exchange rates on total income rather than on realised income. In both the cases, the selected banks tended to gain with any change in interest rates (increase or decrease) and tended to lose with any change in exchange rates (appreciation or depreciation) (Table 1). This indicates that banks are able to position their derivative portfolios in a better way with respect to interest rate movements rather than exchange rate movements. A significantly positive causal effect of banks’ capital on total income reveals that banks with higher capital ratios tend to earn more: better capital ratios allow banks to take more risks in the derivative market. | Table 1: Causal Effect of Interest Rate and Exchange Rate on Income from Derivatives | | Coefficients | Realised Income | Change in Net MTM | Total Income | | α | -0.47*** (0.07) | -0.43*** (0.07) | -0.06 (0.08) | | β1 | 0.34* (0.20) | -0.13 (0.09) | 0.23*** (0.08) | | β2 | -1.86* (0.99) | -0.49 (0.61) | -1.10*** (0.40) | | β3 | 4.31* (2.60) | 2.21 (1.56) | 3.06*** (1.10) | | β4 | -8.00** (4.00) | -2.02* (1.22) | -5.83*** (1.69) | | β5 | 2.32 (1.45) | | 1.06* (0.59) | | β6 | -0.88* (0.45) | -0.30 (0.28) | -0.48** (0.19) | | β7 | 0.46 (0.33) | 0.08 (0.16) | 0.23* (0.13) | | constant | 5.86 (6.43) | 1.19 (3.61) | 4.36* (2.55) | | R-square (overall) | 0.07 | 0.21 | 0.01 | | No. of obs. | 169 | 169 | 169 | | Prob > Chi2 | 0.00 | 0.00 | 0.01 | | Hausman chi2 | 59.13 | 0.52 | 181.03 | | Prob > chi2 | 0.0 | 0.99 | 0.0 | Note: 1. Figures in parentheses refer to standard errors. 2. ***, ** and * indicate level of significance at the 1 per cent, 5 per cent and 10 per cent, respectively. 3. In the case of change in net MTM, Hausman test suggests random effects model. Source: Sample banks (Bottom-up stress tests on derivatives portfolio) and RBI staff calculations. | | II.2 Primary (Urban) Cooperative Banks27 2.45 Credit by primary urban cooperative banks (UCBs)28 recorded a dip in growth (y-o-y) during H2:2023-24 – it stood at 5.7 per cent in March 2024. Both scheduled UCBs (SUCBs) and non-scheduled UCBs (NSUCBs) recorded moderation (Chart 2.27 a). 2.46 The capital position of UCBs has been continuously improving in the post-pandemic period, with their CRAR increasing to 17.5 per cent in March 2024. This improvement has been experienced across SUCBs and NSUCBs as well as across the tiers29 of UCBs (Chart 2.27 b and c). 2.47 The GNPA ratio and NNPA ratio of UCBs decreased in March 2024 from September 2023 and March 2023 ratios, except for a marginal uptick in NSUCBs (Charts 2.27 d and e). Trend in provisioning coverage ratio (PCR) also shows improvement post-pandemic, with PCR increasing from both March 2023 and September 2023 levels (Chart 2.27 f). GNPA ratio of large borrowers, which accounted for 24 per cent of UCBs’ loan book, followed similar trend (Chart 2.27 g). The improvement in asset quality in March 2024 was witnessed across all tiers except the smallest one (Tier 1), where GNPA and NNPA ratios worsened significantly but PCR showed slight improvement (Chart 2.27 h).
2.48 UCBs’ profitability went up across scheduled and non-scheduled categories of UCBs and all tiers. Both RoA and RoE ratios increased during 2023-24, and NIM remained healthy at 3.7 per cent during H2:2023-24 (Chart 2.27 i, j, k and l). II.2.1 Stress Testing 2.49 Stress tests were conducted on a select set of UCBs30 to assess credit risk (default risk and concentration risk), market risk (interest rate risk in trading book and banking book) and liquidity risk, based on their reported financial positions as of March 2024. 2.50 One bank in the Tier 4 UCB sample - the largest category of UCBs with deposits above ₹10,000 crore - would fail to meet the minimum regulatory requirement31 of 10 per cent CRAR under a severe stress scenario for both credit default risk and credit concentration risk. For Tier 2 and Tier 3 UCBs, the impact of credit risk under severe stress is significant. For the smallest UCBs (Tier 1), liquidity mismatch may exceed 20 per cent under all scenarios (Chart 2.28). 2.51 Under the severe stress scenario of credit default risk, credit concentration risk and interest rate risk in the trading book, the system level CRAR would reduce from the pre-shock position of 16.5 per cent to 12.5 per cent, 13.0 per cent and 15.4 per cent, respectively. A severe interest rate shock in the banking book would dent NII by 6.1 per cent at the system level.
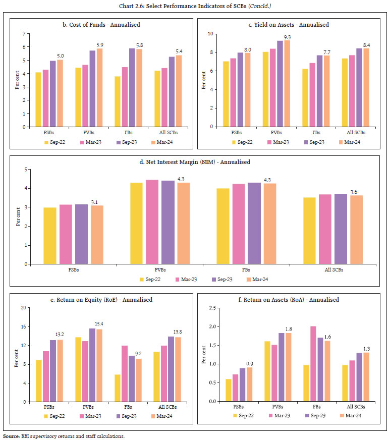
II.3 Non-Banking Financial Companies (NBFCs)32 2.52 NBFCs maintained robust credit growth in 2023-24 despite some moderation in the second half of the year. Personal loan growth decelerated whereas growth in loans to industry and services accelerated (Chart 2.29). Growth in industrial advances was largely contributed by the Government NBFCs. Major categories in the personal loans segment like vehicle/auto loans (34.6 per cent share in retail loans in March 2024), advances to individuals against gold (11.2 per cent share), microfinance loan/ self-help group (SHG) loan (10.9 per cent share) recorded lower growth than the overall growth of the personal loans segment. 2.53 Credit growth in respect of the largest category of NBFC by activity, viz., investment and credit companies (NBFC-ICCs), has been accelerating in the post-pandemic period, while that of the second largest category, viz., infrastructure finance companies (NBFC-IFCs) moderated after witnessing double digit growth for four successive quarters (Chart 2.30). 2.54 The GNPA ratio of NBFCs (including those under resolution) continued its downward trajectory in the post-pandemic period to reach 4.0 per cent in March 2024. Improvement was recorded across major sectors (Chart 2.31). Within the retail segment, vehicle/auto loans had the highest GNPA ratio (5.0 per cent), while other categories of loans had a ratio of below 3 per cent. Asset quality improved for both Government and private NBFCs. Private NBFCs’ industrial advances, which account for one-fifth of the overall GNPA stock of the NBFC sector, saw further moderation in the GNPA ratio to 10.2 per cent in March 2024. The aggregate NNPA ratio of NBFCs improved further due to higher PCR and the fall in GNPA (Chart 2.32). 2.55 The capital position of NBFCs remains healthy: their CRAR stood at 26.6 per cent in March 2024, well above the regulatory minimum requirement. The RoA ratio has been rising, the cost-to-income ratio33 has maintained a declining trend in the post-pandemic period and the NIM stood strong during 2023-24 (Chart 2.33).
2.56 Liquidity stock measures for NBFCs have remained stable – the ratio of short-term liability to total assets remained below 25 per cent; long-term assets constitute about two-thirds of assets; and CPs had less than two per cent asset share in total assets (Chart 2.34). 2.57 Share capital, reserves and surplus of NBFCs declined during 2023-24 and constituted 28.3 per cent of their total liabilities in March 2024. Their borrowing from banks rose gradually over the years while mobilisation of resources through debentures declined and mobilisation through CPs remained almost unchanged (Table 2.7). In March 2024, about four-fifth of the funds sourced from banks were secured in nature. II.3.1 Stress Tests34 - Credit Risk 2.58 System level stress tests for assessing the resilience of the NBFC sector to credit risk shocks are conducted on a sample of 16335 NBFCs that had capital adequacy ratio of 23.9 per cent and the GNPA ratio of 2.7 per cent in March 2024. The tests are carried out under a baseline and two stress scenarios – medium and high risk – with increase in GNPA ratio by 1 SD and 2 SDs, respectively, for the risk scenarios. 
| Table 2.7: NBFCs’ Sources of Funds | | (per cent) | | Item Description | Mar-21 | Mar-22 | Mar-23 | Mar-24 | | 1. Share Capital, Reserves and Surplus | 26.7 | 29.4 | 29.4 | 28.3 | | 2. Total Borrowings | 63.0 | 60.6 | 61.1 | 62.4 | | Of which: | | | | | | 2(i) Borrowing from banks | 19.8 | 20.6 | 21.7 | 22.6 | | 2(ii) CPs subscribed by banks | 0.4 | 0.4 | 0.3 | 0.3 | | 2(iii) Debentures subscribed by banks | 3.0 | 2.9 | 2.7 | 2.1 | | Total from banks [2(i)+2(ii)+2(iii)] | 23.2 | 23.8 | 24.8 | 25.0 | | 2(iv) CPs excluding 2(ii) | 1.6 | 1.4 | 1.5 | 1.6 | | 2(v) Debentures excluding 2(iii) | 22.8 | 20.4 | 19.4 | 19.7 | | 3. Others | 10.2 | 10.0 | 9.6 | 9.2 | | Total | 100.0 | 100.0 | 100.0 | 100.0 | | Source: RBI supervisory returns and staff calculations. | 2.59 Under the baseline scenario, one year ahead GNPA ratio for the system is estimated to be 3.5 per cent and system level CRAR at 21.7 per cent, with CRARs of 8 NBFCs falling below the minimum regulatory requirement of 15 per cent. Under the medium and high-risk scenarios, income loss and additional provision requirements would reduce CRAR of the sector further (compared to the baseline) by around 70 bps and 90 bps, respectively (Chart 2.35). II.3.2 Stress Test - Liquidity Risk 2.60 The resilience of the NBFC sector to liquidity shocks has been assessed by estimating the impact of an increase in cash outflows, coupled with a decrease in cash inflows36. It is observed that liquidity mismatch over one year will mostly remain 20 per cent or below. Only one small NBFC (having 0.1 per cent share in assets of the sector) may experience over 50 per cent liquidity mismatch under the high risk scenario (Table 2.8). II.4 Insurance Sector 2.61 The solvency ratio of an insurance company assesses the ability of the insurer to meet its obligations towards policyholders by reflecting the level of its assets over and above its liabilities. The minimum solvency ratio requirement set by the Insurance Regulatory and Development Authority of India (IRDAI) for insurance companies in India is 150 per cent. The higher the solvency ratio, the better will be ability of the insurer to meet its liabilities. As insurance liabilities involve an assessment of future contingent events, a higher solvency ratio implies resilience of the insurer to withstand future uncertainties. 
| Table 2.8: Liquidity Risk in NBFCs | | Cumulative Mismatch as percentage of Outflows over next one year | No. of NBFCs having Liquidity Mismatch | | Baseline | Medium | High | | Over 50 per cent | 0 (0.0) | 0 (0.0) | 1 (0.1) | | Between 20 and 50 per cent | 2 (0.4) | 5 (1.7) | 6 (1.9) | | 20 per cent and below | 5 (1.6) | 14 (5.6) | 26 (20.8) | Note: (i) Baseline scenario is based on projected outflows and inflows over next one year as of March 2024; medium risk scenario assumes 5 per cent decrease in inflows and 5 per cent increase in outflows and high-risk scenario assumes 10 per cent decrease in inflows and 10 per cent increase in outflows. (ii) Figures in parenthesis represent percentage share in asset size of the sample. Source: RBI supervisory returns and staff calculations. | 2.62 At an aggregate level, the solvency ratio for life insurance companies has remained above the prescribed threshold for both public and private sectors (Table 2.9). The solvency ratio for public sector non-life insurers stood below the baseline prescription (Table 2.10). II.5 Stress Testing of Mutual Funds 2.63 The Securities and Exchange Board of India (SEBI) has mandated asset management companies (AMCs) to carry out stress testing37 of all open-ended debt schemes (except overnight schemes) every month to evaluate the impact of various risk parameters (viz., interest rate risk, credit risk and liquidity risk) faced by such schemes on their net asset values (NAVs). The Association of Mutual Funds in India (AMFI) and each AMC specify the thresholds of impact for risk parameters – breach of either AMFI or AMC threshold requires reporting and remedial action. 2.64 In April 2024, 28 open-ended debt schemes with total assets under management (AUM) of ₹1.76 lakh crore reported risk above the AMFI or AMC prescribed threshold (Table 2.11). In this respect, all the MFs have reported initiation of remedial action to be completed in the prescribed timeframe. 2.65 Furthermore, as part of liquidity risk management for open-ended debt schemes, two types of liquidity ratios, viz., (i) redemption at risk (LR-RaR), which represents likely outflows at a given confidence interval, and (ii) conditional redemption at risk (LR-CRaR), which represents the behaviour of the tail at the given confidence interval, are used. All AMCs are mandated to maintain these liquidity ratios above the threshold limits which are derived from scheme type, scheme asset composition and potential outflows (modelled from investor concentration in the scheme). Mutual funds (MFs) are required to carry out back-testing of these liquidity ratios for all open-ended debt schemes (except overnight funds, gilt funds and gilt funds with 10-year constant duration) on a monthly basis. | Table 2.9: Solvency Ratio of Life Insurance Sector | | (per cent) | | | Public Sector | Private Sector | Industry | | Mar-23 | 187 | 228 | 197 | | Jun-23 | 189 | 222 | 197 | | Sep-23 | 190 | 220 | 197 | | Dec-23 | 193 | 215 | 198 | | Source: IRDAI. |
| Table 2.10: Solvency Ratio of Non-Life Insurance Sector | | (per cent) | | | PSU Insurers | Private Insurers | Standalone Health Insurers | Specialised Insurers | Total General Insurers | | Mar-23 | 44 | 225 | 203 | 642 | 163 | | Jun-23 | 38 | 227 | 203 | 677 | 162 | | Sep-23 | 39 | 228 | 195 | 688 | 164 | | Dec-23 | 39 | 223 | 209 | 774 | 165 | | Source: IRDAI. |
| Table 2.11: Stress Testing of Open-Ended Debt Schemes of Mutual Funds – Summary Findings – April 2024 | | | Risk above Threshold | Risk below Threshold | Total | | No. of AMCs | 12 | 32 | 44 | | No. of Schemes | 28* | 273 | 301 | | AUM (₹ crore) | 1,76,406 | 13,29,514 | 15,05,920 | * No. of schemes showing interest rate risk, credit risk and liquidity risk above threshold are 20, 4 and 6 respectively while total number of unique schemes remain 28. Source: AMFI. |
2.66 The LR-RaR and LR-CRaR computed by top 10 MFs (based on AUM) for 13 categories of open-ended debt schemes for March 2024 were well above the respective threshold limits for most of the MFs. A few instances of the ratios falling below the threshold limits were addressed by the respective AMCs in a timely manner (Chart 2.36 and Chart 2.37). II.6 Stress Testing Analysis at Clearing Corporations 2.67 Stress testing38 is carried out at clearing corporations (CCs) to determine the segment-wise minimum required corpus (MRC) of the core settlement guarantee fund (SGF). MRC is determined for each segment (viz., equity cash, equity derivatives, currency derivatives, commodity derivatives, debt and tri-party repo segment) every month, based on stress testing. 2.68 The actual MRC for any given month is determined as the higher of the MRC of the month and the MRC arrived at any time in the past. Based on the stress testing analysis for the period October 2023 to April 2024, it is observed that though the monthly calculated amounts of MRC at CCs varied, the actual MRC requirement for equity cash and equity derivatives segments remained the same in line with SEBI stipulation. The MRC requirement in the currency derivatives segment increased during the period at one of the CCs (Table 2.12). II.7 Interconnectedness 2.69 Interconnections among financial institutions involve funding gaps arising from liquidity mismatches and maturity transformation, payments processes, and risk transfer mechanisms. The financial system can be visualised as a network in which financial institutions act as nodes and the bilateral exposures among them serve as links connecting these nodes. These links could be in the form of loans to/ investments in/ deposits with each other, which act as a source of funding, liquidity, investment and risk diversification. While these links enable gains in efficiency and diversification of risks, they can become conduits of risk transmission and risk amplification in a crisis. Understanding the nuances in propagation of risk through networks is useful for devising appropriate policy responses for safeguarding financial and macroeconomic stability. | Table 2.12: Minimum Required Corpus of Core SGF Based on Stress Testing Analysis at Clearing Corporations | | (Amount in ₹ crore) | | Segment | Oct-23 | Nov-23 | Dec-23 | Jan-24 | Feb-24 | Mar-24 | Apr-24 | | Clearing Corporation 1 | | Average Stress Test Loss | | | | | | | | | Equity Cash Segment | 75 | 71 | 48 | 45 | 85 | 59 | 83 | | Equity Derivatives Segment | 303 | 353 | 402 | 404 | 571 | 561 | 603 | | Currency Derivatives Segment | 180 | 171 | 203 | 218 | 222 | 189 | 163 | | Debt Segment | 4 | 4 | 4 | 4 | 4 | 4 | 4 | | Tri-Party Repo Segment | 17 | 17 | 17 | 17 | 17 | 17 | 17 | | Commodity Derivatives Segment | 0 | 0 | 1 | 0 | 0 | 0 | 0 | | Total | 578 | 617 | 675 | 689 | 900 | 831 | 871 | | Actual MRC Requirement | | | | | | | | | Equity Cash Segment | 348 | 348 | 348 | 348 | 348 | 348 | 348 | | Equity Derivatives Segment | 2,423 | 2,423 | 2,423 | 2,423 | 2,423 | 2,423 | 2,423 | | Currency Derivatives Segment | 242 | 242 | 242 | 242 | 242 | 242 | 242 | | Debt Segment | 4 | 4 | 4 | 4 | 4 | 4 | 4 | | Tri-Party Repo Segment | 17 | 17 | 17 | 17 | 17 | 17 | 17 | | Commodity Derivatives Segment | 10 | 10 | 10 | 10 | 10 | 10 | 10 | | Total | 3,044 | 3,044 | 3,044 | 3,044 | 3,044 | 3,044 | 3,044 | | Clearing Corporation 2 | | Average Stress Test Loss | | | | | | | | | Equity Cash Segment | 9 | 12 | 11 | 9 | 20 | 16 | 19 | | Equity Derivatives Segment | 17 | 22 | 24 | 13 | 19 | 29 | 21 | | Currency Derivatives Segment | 61 | 90 | 371 | 388 | 187 | 105 | 14 | | Commodity Derivatives Segment | 0 | 0 | 0 | 0 | 0 | 0 | 0 | | Total | 87 | 123 | 405 | 411 | 225 | 149 | 54 | | Actual MRC Requirement | | | | | | | | | Equity Cash Segment | 194 | 194 | 194 | 194 | 194 | 194 | 194 | | Equity Derivatives Segment | 74 | 74 | 74 | 74 | 74 | 74 | 74 | | Currency Derivatives Segment | 235 | 235 | 371 | 388 | 388 | 388 | 388 | | Commodity Derivatives Segment | 14 | 14 | 14 | 14 | 14 | 14 | 14 | | Total | 517 | 517 | 653 | 670 | 670 | 670 | 670 | | Clearing Corporation 3 (Commodity Derivatives Segment) | | Average Stress Test Loss | 60 | 63 | 55 | 57 | 55 | 53 | 54 | | Actual MRC requirement | 124 | 124 | 124 | 124 | 124 | 124 | 124 | | Clearing Corporation 4 (Commodity Derivatives Segment) | | Average Stress Test Loss | 540 | 540 | 505 | 546 | 536 | 326 | - | | Actual MRC requirement | 562 | 562 | 562 | 562 | 562 | 562 | 562 | | Source: Clearing Corporations. | II.7.1 Financial System Network39 40 2.70 The total bilateral exposures41 among the entities in the Indian financial system continued to expand during H2:2023-24, primarily driven by increasing exposure of AMC-MFs with SCBs and all India financial institutions (AIFI) with SCBs. Further, while the growth (y-o-y) of bilateral exposures fluctuated between 15 to 18 per cent, the share of SCBs and HFCs in bilateral exposures stabilised post the merger of a housing finance company (HFC) with a PVB in September 2023 quarter (Chart 2.38 a and b). 2.71 The funding mix of the financial system shows that long-term funding – primarily loans and advances, equity and long-term (LT) debt instruments – provided a major channel for bilateral exposures in the system. A segment wise analysis indicates that in general (a) LT loans were mainly advanced by SCBs to NBFCs; (b) AMC-MFs were major investors in equities issued by PVBs and NBFCs; and (c) in the LT debt market, insurance companies held a majority of instruments issued by PVBs, NBFCs and HFCs. In the short-term (ST) funding mix, CPs and CDs played a significant role apart from the inter-bank ST loans and deposits. In the CP market, AIFIs, NBFCs and HFCs were the largest receivers of funds and AMC-MFs were the largest investor group. On the other hand, PSBs, PVBs and AIFIs were the major fund receivers in the CD market, with AMC-MFs being the largest fund providers (Chart 2.39). 
 2.72 In terms of inter-sectoral exposures42, AMC-MFs, insurance companies and PSBs remained the largest fund providers in the system, whereas NBFCs and PVBs were the largest receivers of funds, followed by HFCs. Among bank groups, PSBs and UCBs had net receivable positions vis-à-vis the entire financial sector whereas PVBs, FBs and SFBs had net payable positions (Chart 2.40). 2.73 The net receivable position of AMC-MFs and net payable position of PVBs recorded a large increase in March 2024 vis-à-vis September 2023 (Chart 2.41).
a. Inter-Bank Market 2.74 Inter-bank exposures were 3.3 per cent of the total assets of the banking system in March 2024. During H2:2023-24, fund-based exposure43 increased marginally while non-fund-based exposure44 remained stable (Chart 2.42). 2.75 PSBs continued to dominate the inter-bank market, followed by PVBs and FBs. The share of PSBs and FBs decreased in H2:2023-24 whereas the share of PVBs increased (Chart 2.43). 2.76 Unlike in the overall financial network in which LT fund-based exposure forms a major part, ST funding plays a crucial role in the inter-bank market. As at end-March 2024, 67 per cent of the fund-based inter-bank market was short-term in nature, in which ST deposits and ST loans constituted about 65 per cent, followed by CDs and call money market exposure. The share of LT loans in LT fund-based inter-bank market increased over a year ago, while those of equity, LT deposits and LT debt decreased (Chart 2.44). b. Inter-Bank Market: Network Structure and Connectivity 2.77 The distribution of the number of links between entities in the inter-bank market network is highly skewed, with most banks having few links and few banks having many links. This has resulted in a typical core-periphery network structure45 46. As of end-March 2024, three banks were in the inner-most core and six banks in the mid-core circle. The three banks in the inner-most core included one PSB and two PVBs. The banks in the mid-core were PSBs and PVBs. Most of the old PVBs along with FBs, SUCBs and SFBs formed the periphery (Chart 2.45). 2.78 The degree of interconnectedness among SCBs – measured by the connectivity ratio47 – decreased marginally in H2:2023-24 and the cluster coefficient48 remained unchanged (Chart 2.46). c. Exposure of AMCs-MFs 2.79 Gross receivables of AMC-MFs stood at ₹16.16 lakh crore (around 29 per cent of their average AUM) whereas their gross payables were ₹0.88 lakh crore as at end-March 2024. SCBs (primarily PVBs) remained the major recipients of their funding, followed by NBFCs, AIFIs and HFCs (Chart 2.47 a). 2.80 The share of equity holdings in total assets of AMC-MFs continued to increase, supported by the buoyant equity market. The share of AMC-MFs’ investments in CPs reduced in H2:2023-24, while those in CDs and LT debt fluctuated during the year (Chart 2.47 b). d. Exposure of Insurance Companies 2.81 With gross receivables at ₹9.55 lakh crore and gross payables at ₹0.63 lakh crore, insurance companies were the second largest net providers of funds to the financial system as at end-March 2024. SCBs (primarily PVBs) were the largest recipients of their funds, followed by NBFCs and HFCs. LT debt and equity accounted for more than 90 per cent of receivables of insurance companies, with limited exposure to ST instruments (Charts 2.48 a and b).
e. Exposure to NBFCs 2.82 NBFCs were the largest net borrowers of funds from the financial system, with gross payables of ₹16.58 lakh crore and gross receivables of ₹1.61 lakh crore as at end-March 2024. A breakup of their gross payables reveals that the bulk of funds were sourced from SCBs, followed by AMC-MFs and insurance companies (Chart 2.49 a). 2.83 The choice of instruments in the funding mix of NBFCs shows continued reliance on LT funds. The share of LT debt instruments (held by insurance companies and AMC-MFs) moderated in 2023-24 (Chart 2.49 b).
f. Exposure of HFCs 2.84 HFCs remained the second largest net borrowers and had gross payables of ₹5.41 lakh crore against gross receivables of ₹0.12 lakh crore in March 2024. Over 75 per cent of HFCs’ resource mobilisation was through LT loans and LT debt instruments (Chart 2.50 a and b). g. Exposure of AIFIs 2.85 With gross payables and receivables at ₹8.04 lakh crore and ₹7.67 lakh crore, respectively, AIFIs were net receiver of funds from the financial system in March 2024 at the margin. They raised funds mainly from SCBs, AMC-MFs and insurance companies. Given their nature of operations, LT debt, LT Loans and LT deposits remained their preferred instruments for resource mobilisation, though the combined share of these instruments came down to 47.6 per cent from 53.8 per cent a year ago (Chart 2.51 a and b). II.7.2 Contagion Analysis 2.86 Contagion analysis uses network technology to estimate the systemic importance of different financial institutions. The failure of a systemically important bank entails solvency and liquidity losses for the banking system which, in turn, depends on the initial capital and liquidity position of banks along with the number, nature (whether it is a lender or a borrower) and magnitude of the interconnections that the failing bank has with the rest of the banking system. a. Joint Solvency49- Liquidity50 Contagion Impact on SCBs due to Bank Failure 2.87 A contagion analysis of the banking network on the end-March 2024 position indicates that if the bank with the maximum capacity to cause contagion losses fails, it will cause a solvency loss of 5.06 per cent (as compared to 3.63 per cent in September 2023) of total Tier 1 capital of SCBs and a liquidity loss of 0.31 per cent (as compared with 0.33 per cent in September 2023) of total HQLA of the banking system. Also, it will not lead to failure of any additional bank (Table 2.13). | Table 2.13: Contagion Losses due to Bank Failure – March 2024 | | Name of Bank | Solvency Losses as per cent of Tier 1 Capital of the Banking System | Liquidity Losses as per cent of HQLA | Number of Banks Defaulting due to Solvency | Number of Banks Defaulting due to Liquidity | | Bank 1 | 5.06 | 0.31 | 0 | 0 | | Bank 2 | 2.25 | 0.21 | 0 | 0 | | Bank 3 | 1.47 | 0.02 | 0 | 0 | | Bank 4 | 1.31 | 0.11 | 0 | 0 | | Bank 5 | 1.22 | 0.21 | 0 | 0 | Note: Top five ‘Trigger banks’ have been selected on the basis of solvency losses caused to the banking system. Source: RBI supervisory returns and staff calculations. | b. Solvency Contagion Impact on SCBs due to NBFC/ HFC Failure 2.88 As noted earlier, NBFCs and HFCs are among the largest borrowers of funds from the financial system, with a substantial part of funding from banks. Therefore, failure of any NBFC or HFC will act as a solvency shock to their lenders which can spread through contagion. 2.89 By end-March 2024, the hypothetical failure of the NBFC with the maximum capacity to cause solvency losses to the banking system would have knocked off 2.29 per cent (2.72 per cent in September 2023) of the latter’s total Tier 1 capital but it would not lead to failure of any bank. Similarly, the hypothetical failure of the HFC with the maximum capacity to cause solvency losses to the banking system would have knocked off 3.87 per cent (4.34 per cent in September 2023) of the latter’s total Tier 1 capital but without failure of any bank (Tables 2.14 and 2.15). | Table 2.14: Contagion Losses due to NBFC Failure – March 2024 | | Name | Solvency Losses as per cent of Tier 1 Capital of the Banking System | Number of Banks Defaulting due to Solvency | | NBFC 1 | 2.29 | 0 | | NBFC 2 | 2.23 | 0 | | NBFC 3 | 2.13 | 0 | | NBFC 4 | 1.70 | 0 | | NBFC 5 | 1.56 | 0 | Note: Only Private NBFCs are considered. Top five ‘Trigger NBFCs’ have been selected on the basis of solvency losses caused to the banking system. Source: RBI supervisory returns and staff calculations. |
| Table 2.15: Contagion Losses due to HFC Failure – March 2024 | | Name | Solvency Losses as per cent of Tier 1 Capital of the Banking System | Number of Banks Defaulting due to Solvency | | HFC 1 | 3.87 | 0 | | HFC 2 | 1.38 | 0 | | HFC 3 | 1.06 | 0 | | HFC 4 | 0.91 | 0 | | HFC 5 | 0.69 | 0 | Note: Top five ‘Trigger HFCs’ have been selected on the basis of solvency losses caused to the banking system. Source: RBI supervisory returns and staff calculations. | c. Solvency contagion impact51 after macroeconomic shocks to SCBs 2.90 The contagion from the failure of a bank is likely to get magnified if macroeconomic shocks result in distress to the banking system. Such shocks may cause some SCBs to fail the solvency criterion, which then acts as a trigger for further solvency losses. 2.91 In the previous iteration, a shock was applied to the entity that could cause the maximum solvency contagion losses. In another iteration in which the initial impact of such a shock on an individual bank’s capital is taken from the macro-stress tests52, the initial capital loss due to macroeconomic shocks stood at 3.10 per cent, 12.55 per cent and 21.29 per cent of Tier 1 capital for baseline, medium and severe stress scenarios, respectively. No bank fails to maintain the Tier 1 capital adequacy ratio of 7 per cent in baseline, medium and severe stress scenarios. As a result, there are no additional solvency losses to the banking system due to contagion (over and above the initial loss of capital due to the macro shocks) (Chart 2.52). Summary and Outlook 2.92 SCBs’ credit has continued to expand on the back of robust economic demand conditions and outlook, but primarily driven by services and personal loans. Deposits mobilisation is gathering pace especially in the term deposit segment. Asset quality of banks has continued to improve and capital positions remain robust, supported by capitalisation of high profits, the latter reflected in close to decadal high levels of return on equity and return on assets ratios. 2.93 With the yield curve trending down, notional losses in the HTM book of SCBs have declined. Macro-stress tests for credit risk reveal that all banks would be able to meet the minimum capital requirements of 9 per cent even under the severe stress scenario. 2.94 Interconnectedness among the entities in the financial system in terms of total bilateral exposures, continued to rise with SCBs remaining the most dominant players. AMC-MFs remain the largest provider of funds and NBFCs the largest receiver of funds in the financial network. Contagion loss due to the hypothetical failure of the bank with maximum capacity to cause such loss has risen in March 2024 but contagion loss due to failure of NBFCs or HFCs has reduced. |